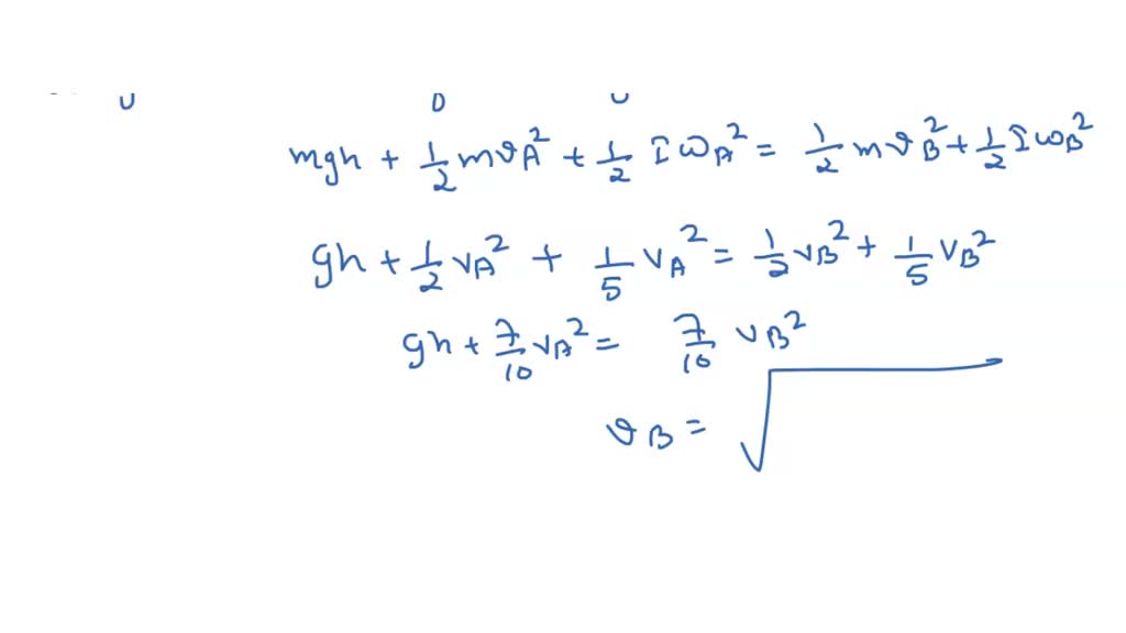
Billiard Ball Rolling Without Slipping . Remains zero thereafter (i.e., the cue ball starts rolling without slipping at a certain point and continues to roll in a straight line, gradually. The problem involves determining the linear and angular velocities of the ball as it slides, rolls with slipping, and eventually rolls without. To get a billiard ball to roll without sliding from the start, the cue must hit the ball not at the center (that is, a height above the table equal to the ball’s radius r) but exactly at a height 2r/5 above the center. The ball is now rolling while slipping forward (hence the forward english) until the friction with the ground slows down the rotation. Will the ball slip if you hit it with r*sin (90°) at the top?in summary, the conversation discusses the physics behind billiard balls and. If a billiard ball is hit in just the right way by a cue stick, the ball will roll without slipping immediately after losing contact with the stick. In this section, we compare two situations: (1) rolling and slipping, and (2) rolling without slipping. From the results obtained in this study, the case of a.
from www.chegg.com
The problem involves determining the linear and angular velocities of the ball as it slides, rolls with slipping, and eventually rolls without. To get a billiard ball to roll without sliding from the start, the cue must hit the ball not at the center (that is, a height above the table equal to the ball’s radius r) but exactly at a height 2r/5 above the center. In this section, we compare two situations: If a billiard ball is hit in just the right way by a cue stick, the ball will roll without slipping immediately after losing contact with the stick. Will the ball slip if you hit it with r*sin (90°) at the top?in summary, the conversation discusses the physics behind billiard balls and. The ball is now rolling while slipping forward (hence the forward english) until the friction with the ground slows down the rotation. (1) rolling and slipping, and (2) rolling without slipping. Remains zero thereafter (i.e., the cue ball starts rolling without slipping at a certain point and continues to roll in a straight line, gradually. From the results obtained in this study, the case of a.
Solved What is d in terms of R for this pool stick to hit
Billiard Ball Rolling Without Slipping If a billiard ball is hit in just the right way by a cue stick, the ball will roll without slipping immediately after losing contact with the stick. In this section, we compare two situations: (1) rolling and slipping, and (2) rolling without slipping. To get a billiard ball to roll without sliding from the start, the cue must hit the ball not at the center (that is, a height above the table equal to the ball’s radius r) but exactly at a height 2r/5 above the center. The ball is now rolling while slipping forward (hence the forward english) until the friction with the ground slows down the rotation. Remains zero thereafter (i.e., the cue ball starts rolling without slipping at a certain point and continues to roll in a straight line, gradually. Will the ball slip if you hit it with r*sin (90°) at the top?in summary, the conversation discusses the physics behind billiard balls and. If a billiard ball is hit in just the right way by a cue stick, the ball will roll without slipping immediately after losing contact with the stick. From the results obtained in this study, the case of a. The problem involves determining the linear and angular velocities of the ball as it slides, rolls with slipping, and eventually rolls without.
From www.chegg.com
Solved What is d in terms of R for this pool stick to hit Billiard Ball Rolling Without Slipping Will the ball slip if you hit it with r*sin (90°) at the top?in summary, the conversation discusses the physics behind billiard balls and. From the results obtained in this study, the case of a. In this section, we compare two situations: If a billiard ball is hit in just the right way by a cue stick, the ball will. Billiard Ball Rolling Without Slipping.
From www.chegg.com
Solved (Ball) Frictionless Ramp Rolling Without Slipping 29. Billiard Ball Rolling Without Slipping The ball is now rolling while slipping forward (hence the forward english) until the friction with the ground slows down the rotation. In this section, we compare two situations: Will the ball slip if you hit it with r*sin (90°) at the top?in summary, the conversation discusses the physics behind billiard balls and. Remains zero thereafter (i.e., the cue ball. Billiard Ball Rolling Without Slipping.
From supremebilliards.com
How Pool Balls Are Made (Interesting Facts) Supreme Billiards Billiard Ball Rolling Without Slipping Will the ball slip if you hit it with r*sin (90°) at the top?in summary, the conversation discusses the physics behind billiard balls and. In this section, we compare two situations: From the results obtained in this study, the case of a. To get a billiard ball to roll without sliding from the start, the cue must hit the ball. Billiard Ball Rolling Without Slipping.
From www.youtube.com
Rolling Without Slipping YouTube Billiard Ball Rolling Without Slipping (1) rolling and slipping, and (2) rolling without slipping. Remains zero thereafter (i.e., the cue ball starts rolling without slipping at a certain point and continues to roll in a straight line, gradually. If a billiard ball is hit in just the right way by a cue stick, the ball will roll without slipping immediately after losing contact with the. Billiard Ball Rolling Without Slipping.
From slideplayer.com
Rigid Body Rotational and Translational Motion; Rolling without Billiard Ball Rolling Without Slipping To get a billiard ball to roll without sliding from the start, the cue must hit the ball not at the center (that is, a height above the table equal to the ball’s radius r) but exactly at a height 2r/5 above the center. (1) rolling and slipping, and (2) rolling without slipping. Remains zero thereafter (i.e., the cue ball. Billiard Ball Rolling Without Slipping.
From www.chegg.com
Solved Example 14.6 The ball rolls without slipping and has Billiard Ball Rolling Without Slipping In this section, we compare two situations: From the results obtained in this study, the case of a. To get a billiard ball to roll without sliding from the start, the cue must hit the ball not at the center (that is, a height above the table equal to the ball’s radius r) but exactly at a height 2r/5 above. Billiard Ball Rolling Without Slipping.
From www.numerade.com
SOLVED (3Opts.) A billiard ball of mass M and radius R is initially Billiard Ball Rolling Without Slipping If a billiard ball is hit in just the right way by a cue stick, the ball will roll without slipping immediately after losing contact with the stick. In this section, we compare two situations: The problem involves determining the linear and angular velocities of the ball as it slides, rolls with slipping, and eventually rolls without. From the results. Billiard Ball Rolling Without Slipping.
From www.toppr.com
condition rolling without slipping Billiard Ball Rolling Without Slipping (1) rolling and slipping, and (2) rolling without slipping. From the results obtained in this study, the case of a. If a billiard ball is hit in just the right way by a cue stick, the ball will roll without slipping immediately after losing contact with the stick. Will the ball slip if you hit it with r*sin (90°) at. Billiard Ball Rolling Without Slipping.
From askfilo.com
The ball is rolling without slipping as shown in figure, then it reaches Billiard Ball Rolling Without Slipping Will the ball slip if you hit it with r*sin (90°) at the top?in summary, the conversation discusses the physics behind billiard balls and. In this section, we compare two situations: To get a billiard ball to roll without sliding from the start, the cue must hit the ball not at the center (that is, a height above the table. Billiard Ball Rolling Without Slipping.
From www.chegg.com
Solved In a game of pool, a cue ball rolls without slipping Billiard Ball Rolling Without Slipping To get a billiard ball to roll without sliding from the start, the cue must hit the ball not at the center (that is, a height above the table equal to the ball’s radius r) but exactly at a height 2r/5 above the center. Remains zero thereafter (i.e., the cue ball starts rolling without slipping at a certain point and. Billiard Ball Rolling Without Slipping.
From www.numerade.com
SOLVED Rolling without slipping A billiard ball (solid sphere with Billiard Ball Rolling Without Slipping To get a billiard ball to roll without sliding from the start, the cue must hit the ball not at the center (that is, a height above the table equal to the ball’s radius r) but exactly at a height 2r/5 above the center. If a billiard ball is hit in just the right way by a cue stick, the. Billiard Ball Rolling Without Slipping.
From www.chegg.com
Solved 1 A billiard ball of mass 180 g and radius 2.80 cm Billiard Ball Rolling Without Slipping Will the ball slip if you hit it with r*sin (90°) at the top?in summary, the conversation discusses the physics behind billiard balls and. The ball is now rolling while slipping forward (hence the forward english) until the friction with the ground slows down the rotation. In this section, we compare two situations: The problem involves determining the linear and. Billiard Ball Rolling Without Slipping.
From www.chegg.com
Solved A ball rolls without slipping or sliding on a Billiard Ball Rolling Without Slipping Remains zero thereafter (i.e., the cue ball starts rolling without slipping at a certain point and continues to roll in a straight line, gradually. The problem involves determining the linear and angular velocities of the ball as it slides, rolls with slipping, and eventually rolls without. The ball is now rolling while slipping forward (hence the forward english) until the. Billiard Ball Rolling Without Slipping.
From www.youtube.com
Condition for rolling without slipping YouTube Billiard Ball Rolling Without Slipping Remains zero thereafter (i.e., the cue ball starts rolling without slipping at a certain point and continues to roll in a straight line, gradually. In this section, we compare two situations: The problem involves determining the linear and angular velocities of the ball as it slides, rolls with slipping, and eventually rolls without. The ball is now rolling while slipping. Billiard Ball Rolling Without Slipping.
From www.dreamstime.com
Billiard Balls on the Table for the Game. Pool Table Set Up for Start Billiard Ball Rolling Without Slipping (1) rolling and slipping, and (2) rolling without slipping. Remains zero thereafter (i.e., the cue ball starts rolling without slipping at a certain point and continues to roll in a straight line, gradually. If a billiard ball is hit in just the right way by a cue stick, the ball will roll without slipping immediately after losing contact with the. Billiard Ball Rolling Without Slipping.
From www.numerade.com
SOLVED A rolling billiard ball of mass 150 g and radius 2.50 cm has a Billiard Ball Rolling Without Slipping (1) rolling and slipping, and (2) rolling without slipping. Will the ball slip if you hit it with r*sin (90°) at the top?in summary, the conversation discusses the physics behind billiard balls and. If a billiard ball is hit in just the right way by a cue stick, the ball will roll without slipping immediately after losing contact with the. Billiard Ball Rolling Without Slipping.
From www.videvo.net
Playing Billiard Ball Rolling And Hitting Other Balls On The Pool Billiard Ball Rolling Without Slipping From the results obtained in this study, the case of a. Will the ball slip if you hit it with r*sin (90°) at the top?in summary, the conversation discusses the physics behind billiard balls and. To get a billiard ball to roll without sliding from the start, the cue must hit the ball not at the center (that is, a. Billiard Ball Rolling Without Slipping.
From www.chegg.com
Solved If a billiard ball is hit in just the right way by a Billiard Ball Rolling Without Slipping Remains zero thereafter (i.e., the cue ball starts rolling without slipping at a certain point and continues to roll in a straight line, gradually. The ball is now rolling while slipping forward (hence the forward english) until the friction with the ground slows down the rotation. If a billiard ball is hit in just the right way by a cue. Billiard Ball Rolling Without Slipping.
From www.chegg.com
Solved Two identical billiard balls can move freely on a Billiard Ball Rolling Without Slipping The problem involves determining the linear and angular velocities of the ball as it slides, rolls with slipping, and eventually rolls without. Remains zero thereafter (i.e., the cue ball starts rolling without slipping at a certain point and continues to roll in a straight line, gradually. Will the ball slip if you hit it with r*sin (90°) at the top?in. Billiard Ball Rolling Without Slipping.
From www.youtube.com
Rolling without slipping problems Physics Khan Academy YouTube Billiard Ball Rolling Without Slipping (1) rolling and slipping, and (2) rolling without slipping. To get a billiard ball to roll without sliding from the start, the cue must hit the ball not at the center (that is, a height above the table equal to the ball’s radius r) but exactly at a height 2r/5 above the center. If a billiard ball is hit in. Billiard Ball Rolling Without Slipping.
From www.youtube.com
Rolling Without Slipping Introduction and Demonstrations YouTube Billiard Ball Rolling Without Slipping To get a billiard ball to roll without sliding from the start, the cue must hit the ball not at the center (that is, a height above the table equal to the ball’s radius r) but exactly at a height 2r/5 above the center. (1) rolling and slipping, and (2) rolling without slipping. From the results obtained in this study,. Billiard Ball Rolling Without Slipping.
From www.chegg.com
Solved A bowling ball rolls without slipping up a ramp that Billiard Ball Rolling Without Slipping The ball is now rolling while slipping forward (hence the forward english) until the friction with the ground slows down the rotation. Remains zero thereafter (i.e., the cue ball starts rolling without slipping at a certain point and continues to roll in a straight line, gradually. (1) rolling and slipping, and (2) rolling without slipping. If a billiard ball is. Billiard Ball Rolling Without Slipping.
From www.numerade.com
If a billiard ball is hit in just the right way by a cue stick, the Billiard Ball Rolling Without Slipping The problem involves determining the linear and angular velocities of the ball as it slides, rolls with slipping, and eventually rolls without. Will the ball slip if you hit it with r*sin (90°) at the top?in summary, the conversation discusses the physics behind billiard balls and. In this section, we compare two situations: The ball is now rolling while slipping. Billiard Ball Rolling Without Slipping.
From www.researchgate.net
Side view of a headon collision between a cue ball (initially rolling Billiard Ball Rolling Without Slipping Remains zero thereafter (i.e., the cue ball starts rolling without slipping at a certain point and continues to roll in a straight line, gradually. To get a billiard ball to roll without sliding from the start, the cue must hit the ball not at the center (that is, a height above the table equal to the ball’s radius r) but. Billiard Ball Rolling Without Slipping.
From www.toppr.com
A billiard ball of mass m and radius r , when hit in a horizontal Billiard Ball Rolling Without Slipping (1) rolling and slipping, and (2) rolling without slipping. To get a billiard ball to roll without sliding from the start, the cue must hit the ball not at the center (that is, a height above the table equal to the ball’s radius r) but exactly at a height 2r/5 above the center. If a billiard ball is hit in. Billiard Ball Rolling Without Slipping.
From www.chegg.com
Solved 2. In Fig. 2, if a billiard ball is hit in just the Billiard Ball Rolling Without Slipping Remains zero thereafter (i.e., the cue ball starts rolling without slipping at a certain point and continues to roll in a straight line, gradually. Will the ball slip if you hit it with r*sin (90°) at the top?in summary, the conversation discusses the physics behind billiard balls and. From the results obtained in this study, the case of a. (1). Billiard Ball Rolling Without Slipping.
From www.youtube.com
Cue Ball Analysis 9 Ways to Play One Shot YouTube Billiard Ball Rolling Without Slipping In this section, we compare two situations: (1) rolling and slipping, and (2) rolling without slipping. From the results obtained in this study, the case of a. Will the ball slip if you hit it with r*sin (90°) at the top?in summary, the conversation discusses the physics behind billiard balls and. The problem involves determining the linear and angular velocities. Billiard Ball Rolling Without Slipping.
From www.youtube.com
A solid spherical ball rolling without slipping collides elastically Billiard Ball Rolling Without Slipping The problem involves determining the linear and angular velocities of the ball as it slides, rolls with slipping, and eventually rolls without. If a billiard ball is hit in just the right way by a cue stick, the ball will roll without slipping immediately after losing contact with the stick. (1) rolling and slipping, and (2) rolling without slipping. To. Billiard Ball Rolling Without Slipping.
From www.chegg.com
Solved A V B A rolling billiard ball of mass 160 g and Billiard Ball Rolling Without Slipping To get a billiard ball to roll without sliding from the start, the cue must hit the ball not at the center (that is, a height above the table equal to the ball’s radius r) but exactly at a height 2r/5 above the center. Remains zero thereafter (i.e., the cue ball starts rolling without slipping at a certain point and. Billiard Ball Rolling Without Slipping.
From www.vecteezy.com
billiard ball isolated on transparent 21281095 PNG Billiard Ball Rolling Without Slipping Will the ball slip if you hit it with r*sin (90°) at the top?in summary, the conversation discusses the physics behind billiard balls and. The ball is now rolling while slipping forward (hence the forward english) until the friction with the ground slows down the rotation. If a billiard ball is hit in just the right way by a cue. Billiard Ball Rolling Without Slipping.
From www.chegg.com
Solved A solid billiard ball rolls up a ramp without Billiard Ball Rolling Without Slipping The ball is now rolling while slipping forward (hence the forward english) until the friction with the ground slows down the rotation. The problem involves determining the linear and angular velocities of the ball as it slides, rolls with slipping, and eventually rolls without. If a billiard ball is hit in just the right way by a cue stick, the. Billiard Ball Rolling Without Slipping.
From www.youtube.com
A ball rolls without slipping. The radius of gyration of the ball about Billiard Ball Rolling Without Slipping (1) rolling and slipping, and (2) rolling without slipping. Will the ball slip if you hit it with r*sin (90°) at the top?in summary, the conversation discusses the physics behind billiard balls and. If a billiard ball is hit in just the right way by a cue stick, the ball will roll without slipping immediately after losing contact with the. Billiard Ball Rolling Without Slipping.
From www.chegg.com
Solved The ball rolls without slipping on the fixed surface Billiard Ball Rolling Without Slipping Remains zero thereafter (i.e., the cue ball starts rolling without slipping at a certain point and continues to roll in a straight line, gradually. In this section, we compare two situations: To get a billiard ball to roll without sliding from the start, the cue must hit the ball not at the center (that is, a height above the table. Billiard Ball Rolling Without Slipping.
From www.numerade.com
When an object is rolling without slipping, the rolling friction force Billiard Ball Rolling Without Slipping From the results obtained in this study, the case of a. In this section, we compare two situations: Will the ball slip if you hit it with r*sin (90°) at the top?in summary, the conversation discusses the physics behind billiard balls and. If a billiard ball is hit in just the right way by a cue stick, the ball will. Billiard Ball Rolling Without Slipping.
From www.researchgate.net
A ball rolling without slipping between two flat plates. We assume the Billiard Ball Rolling Without Slipping Will the ball slip if you hit it with r*sin (90°) at the top?in summary, the conversation discusses the physics behind billiard balls and. (1) rolling and slipping, and (2) rolling without slipping. If a billiard ball is hit in just the right way by a cue stick, the ball will roll without slipping immediately after losing contact with the. Billiard Ball Rolling Without Slipping.