Hydraulic Machines By K Subramanya Pdf . Detailed concept review that aids in thorough and quick revision; Subramanya in the area of hydraulic and water resources. Mcgraw hill education, jan 10,. see full pdf download pdf books by prof. graduate will develop confidence for self education and ability for lifelong learning. fluid mechanics and hydraulic machines: Complete offering on fluid mechanics and hydraulic machines fulfilling. dr.r.k.bansal fluid mechanics and hydraulic machines. Precision turbine flow meters for liquids , model stm features: Subramanya in the area of.
from www.studypool.com
see full pdf download pdf books by prof. graduate will develop confidence for self education and ability for lifelong learning. Detailed concept review that aids in thorough and quick revision; Subramanya in the area of. Mcgraw hill education, jan 10,. Complete offering on fluid mechanics and hydraulic machines fulfilling. dr.r.k.bansal fluid mechanics and hydraulic machines. Subramanya in the area of hydraulic and water resources. fluid mechanics and hydraulic machines: Precision turbine flow meters for liquids , model stm features:
SOLUTION A textbook of fluid mechanics hydraulic machines by r k
Hydraulic Machines By K Subramanya Pdf fluid mechanics and hydraulic machines: graduate will develop confidence for self education and ability for lifelong learning. dr.r.k.bansal fluid mechanics and hydraulic machines. Mcgraw hill education, jan 10,. Detailed concept review that aids in thorough and quick revision; see full pdf download pdf books by prof. Precision turbine flow meters for liquids , model stm features: Subramanya in the area of hydraulic and water resources. Subramanya in the area of. Complete offering on fluid mechanics and hydraulic machines fulfilling. fluid mechanics and hydraulic machines:
From www.madrasshoppe.com
Hydraulic Machines by SubramanyaBuy Online Hydraulic Machines First Hydraulic Machines By K Subramanya Pdf dr.r.k.bansal fluid mechanics and hydraulic machines. fluid mechanics and hydraulic machines: Complete offering on fluid mechanics and hydraulic machines fulfilling. Precision turbine flow meters for liquids , model stm features: Subramanya in the area of hydraulic and water resources. Detailed concept review that aids in thorough and quick revision; graduate will develop confidence for self education and. Hydraulic Machines By K Subramanya Pdf.
From www.docdroid.net
Fluid Mechanics and Hydraulic Machines Dr. R. K. Bansal (2).pdf Hydraulic Machines By K Subramanya Pdf dr.r.k.bansal fluid mechanics and hydraulic machines. Complete offering on fluid mechanics and hydraulic machines fulfilling. fluid mechanics and hydraulic machines: Subramanya in the area of. Mcgraw hill education, jan 10,. Detailed concept review that aids in thorough and quick revision; see full pdf download pdf books by prof. Precision turbine flow meters for liquids , model stm. Hydraulic Machines By K Subramanya Pdf.
From dokumen.tips
(PDF) GUJARAT TECHNOLOGICAL UNIVERSITY … and Applications of Fluid Hydraulic Machines By K Subramanya Pdf Mcgraw hill education, jan 10,. Subramanya in the area of. fluid mechanics and hydraulic machines: Detailed concept review that aids in thorough and quick revision; graduate will develop confidence for self education and ability for lifelong learning. see full pdf download pdf books by prof. Complete offering on fluid mechanics and hydraulic machines fulfilling. dr.r.k.bansal fluid. Hydraulic Machines By K Subramanya Pdf.
From www.goodreads.com
FLUID MECHANICS AND HYDRAULIC MACHINES by SUBRAMANYA Goodreads Hydraulic Machines By K Subramanya Pdf Subramanya in the area of. Complete offering on fluid mechanics and hydraulic machines fulfilling. see full pdf download pdf books by prof. Mcgraw hill education, jan 10,. Subramanya in the area of hydraulic and water resources. Precision turbine flow meters for liquids , model stm features: fluid mechanics and hydraulic machines: dr.r.k.bansal fluid mechanics and hydraulic machines.. Hydraulic Machines By K Subramanya Pdf.
From royalcivil-e-books.blogspot.com
A TextBook of Fluid Mechanics and Hydraulic Machines by Dr. R. K Hydraulic Machines By K Subramanya Pdf Subramanya in the area of hydraulic and water resources. Mcgraw hill education, jan 10,. Detailed concept review that aids in thorough and quick revision; dr.r.k.bansal fluid mechanics and hydraulic machines. graduate will develop confidence for self education and ability for lifelong learning. see full pdf download pdf books by prof. Subramanya in the area of. fluid. Hydraulic Machines By K Subramanya Pdf.
From royalcivil-e-books.blogspot.com
A TextBook of Fluid Mechanics and Hydraulic Machines by Dr. R. K Hydraulic Machines By K Subramanya Pdf fluid mechanics and hydraulic machines: dr.r.k.bansal fluid mechanics and hydraulic machines. see full pdf download pdf books by prof. Subramanya in the area of hydraulic and water resources. Precision turbine flow meters for liquids , model stm features: Complete offering on fluid mechanics and hydraulic machines fulfilling. graduate will develop confidence for self education and ability. Hydraulic Machines By K Subramanya Pdf.
From www.flipkart.com
Fluid Mechanics and Hydraulic Machines Problems and Solutions 1st Hydraulic Machines By K Subramanya Pdf fluid mechanics and hydraulic machines: Complete offering on fluid mechanics and hydraulic machines fulfilling. Subramanya in the area of. Subramanya in the area of hydraulic and water resources. Precision turbine flow meters for liquids , model stm features: Detailed concept review that aids in thorough and quick revision; dr.r.k.bansal fluid mechanics and hydraulic machines. Mcgraw hill education, jan. Hydraulic Machines By K Subramanya Pdf.
From soundcloud.com
Stream Download pdf 1000 Solved Problems in Fluid Mechanics Includes Hydraulic Machines By K Subramanya Pdf Mcgraw hill education, jan 10,. Precision turbine flow meters for liquids , model stm features: fluid mechanics and hydraulic machines: Complete offering on fluid mechanics and hydraulic machines fulfilling. Detailed concept review that aids in thorough and quick revision; graduate will develop confidence for self education and ability for lifelong learning. Subramanya in the area of hydraulic and. Hydraulic Machines By K Subramanya Pdf.
From www.amazon.com
Hydraulic Machines K. Subramanya 9781259006845 Books Hydraulic Machines By K Subramanya Pdf Detailed concept review that aids in thorough and quick revision; Mcgraw hill education, jan 10,. Precision turbine flow meters for liquids , model stm features: Subramanya in the area of. fluid mechanics and hydraulic machines: Subramanya in the area of hydraulic and water resources. graduate will develop confidence for self education and ability for lifelong learning. Complete offering. Hydraulic Machines By K Subramanya Pdf.
From www.scribd.com
Fluid System Assignment Hydraulic Machines by K Subramanya PDF Hydraulic Machines By K Subramanya Pdf Detailed concept review that aids in thorough and quick revision; graduate will develop confidence for self education and ability for lifelong learning. Complete offering on fluid mechanics and hydraulic machines fulfilling. Precision turbine flow meters for liquids , model stm features: dr.r.k.bansal fluid mechanics and hydraulic machines. Subramanya in the area of hydraulic and water resources. fluid. Hydraulic Machines By K Subramanya Pdf.
From pdfcoffee.com
1000 Solved Problems in Fluid Mechanics (Includes Hydraulic Machines Hydraulic Machines By K Subramanya Pdf fluid mechanics and hydraulic machines: Precision turbine flow meters for liquids , model stm features: dr.r.k.bansal fluid mechanics and hydraulic machines. graduate will develop confidence for self education and ability for lifelong learning. Complete offering on fluid mechanics and hydraulic machines fulfilling. Subramanya in the area of hydraulic and water resources. Detailed concept review that aids in. Hydraulic Machines By K Subramanya Pdf.
From educationfeo.blogspot.com
SOLUTION MANUAL OF HYDRAULICS, FLUID MECHANICS AND HYDRAULIC MACHINES Hydraulic Machines By K Subramanya Pdf fluid mechanics and hydraulic machines: graduate will develop confidence for self education and ability for lifelong learning. Subramanya in the area of hydraulic and water resources. dr.r.k.bansal fluid mechanics and hydraulic machines. Detailed concept review that aids in thorough and quick revision; Complete offering on fluid mechanics and hydraulic machines fulfilling. Mcgraw hill education, jan 10,. Subramanya. Hydraulic Machines By K Subramanya Pdf.
From vdocuments.mx
power point presentation · Hydraulic Machines power point presentation Hydraulic Machines By K Subramanya Pdf see full pdf download pdf books by prof. dr.r.k.bansal fluid mechanics and hydraulic machines. Precision turbine flow meters for liquids , model stm features: Subramanya in the area of. Detailed concept review that aids in thorough and quick revision; Mcgraw hill education, jan 10,. fluid mechanics and hydraulic machines: graduate will develop confidence for self education. Hydraulic Machines By K Subramanya Pdf.
From www.flipkart.com
Fluid Mechanics and Hydraulic Machines Problems and Solutions 1st Hydraulic Machines By K Subramanya Pdf Complete offering on fluid mechanics and hydraulic machines fulfilling. Precision turbine flow meters for liquids , model stm features: graduate will develop confidence for self education and ability for lifelong learning. fluid mechanics and hydraulic machines: Subramanya in the area of. dr.r.k.bansal fluid mechanics and hydraulic machines. Subramanya in the area of hydraulic and water resources. Mcgraw. Hydraulic Machines By K Subramanya Pdf.
From www.studypool.com
SOLUTION A textbook of fluid mechanics hydraulic machines by r k Hydraulic Machines By K Subramanya Pdf Subramanya in the area of hydraulic and water resources. graduate will develop confidence for self education and ability for lifelong learning. fluid mechanics and hydraulic machines: Subramanya in the area of. dr.r.k.bansal fluid mechanics and hydraulic machines. Mcgraw hill education, jan 10,. Precision turbine flow meters for liquids , model stm features: Complete offering on fluid mechanics. Hydraulic Machines By K Subramanya Pdf.
From www.schandpublishing.com
A TEXTBOOK OF HYDRAULIC MACHINES By Er. R K Rajput Hydraulic Machines By K Subramanya Pdf Complete offering on fluid mechanics and hydraulic machines fulfilling. Precision turbine flow meters for liquids , model stm features: Subramanya in the area of hydraulic and water resources. fluid mechanics and hydraulic machines: Detailed concept review that aids in thorough and quick revision; dr.r.k.bansal fluid mechanics and hydraulic machines. graduate will develop confidence for self education and. Hydraulic Machines By K Subramanya Pdf.
From www.academia.edu
(PDF) Books by Prof. K. Subramanya in the area of HYDRAULIC AND WATER Hydraulic Machines By K Subramanya Pdf fluid mechanics and hydraulic machines: Subramanya in the area of. graduate will develop confidence for self education and ability for lifelong learning. see full pdf download pdf books by prof. Detailed concept review that aids in thorough and quick revision; Subramanya in the area of hydraulic and water resources. Complete offering on fluid mechanics and hydraulic machines. Hydraulic Machines By K Subramanya Pdf.
From www.clankart.com
Buy 'Engineering Hydrology 4th Ed Book By K Subramanya, ISBN Hydraulic Machines By K Subramanya Pdf graduate will develop confidence for self education and ability for lifelong learning. dr.r.k.bansal fluid mechanics and hydraulic machines. Mcgraw hill education, jan 10,. Detailed concept review that aids in thorough and quick revision; Complete offering on fluid mechanics and hydraulic machines fulfilling. Subramanya in the area of hydraulic and water resources. fluid mechanics and hydraulic machines: Precision. Hydraulic Machines By K Subramanya Pdf.
From www.scribd.com
Chapter 11 Prepared by Dr. K. Subramanya PDF Physical Sciences Hydraulic Machines By K Subramanya Pdf Mcgraw hill education, jan 10,. dr.r.k.bansal fluid mechanics and hydraulic machines. Complete offering on fluid mechanics and hydraulic machines fulfilling. graduate will develop confidence for self education and ability for lifelong learning. Detailed concept review that aids in thorough and quick revision; fluid mechanics and hydraulic machines: Subramanya in the area of hydraulic and water resources. Precision. Hydraulic Machines By K Subramanya Pdf.
From www.scribd.com
Flow in Open Channels K Subramanya Solution Manual PDF Hydraulic Machines By K Subramanya Pdf Detailed concept review that aids in thorough and quick revision; graduate will develop confidence for self education and ability for lifelong learning. Complete offering on fluid mechanics and hydraulic machines fulfilling. see full pdf download pdf books by prof. Subramanya in the area of. fluid mechanics and hydraulic machines: dr.r.k.bansal fluid mechanics and hydraulic machines. Subramanya. Hydraulic Machines By K Subramanya Pdf.
From pdfcoffee.com
Fluid Mechanics and Hydraulic Machines by R.K. Rajput Hydraulic Machines By K Subramanya Pdf Mcgraw hill education, jan 10,. Subramanya in the area of. dr.r.k.bansal fluid mechanics and hydraulic machines. Detailed concept review that aids in thorough and quick revision; see full pdf download pdf books by prof. graduate will develop confidence for self education and ability for lifelong learning. Subramanya in the area of hydraulic and water resources. fluid. Hydraulic Machines By K Subramanya Pdf.
From www.youtube.com
Civil engineering Text Book Fluid Mechanics and Hydraulic machines Hydraulic Machines By K Subramanya Pdf Mcgraw hill education, jan 10,. Precision turbine flow meters for liquids , model stm features: Detailed concept review that aids in thorough and quick revision; graduate will develop confidence for self education and ability for lifelong learning. see full pdf download pdf books by prof. Subramanya in the area of. fluid mechanics and hydraulic machines: Subramanya in. Hydraulic Machines By K Subramanya Pdf.
From www.schandpublishing.com
A Textbook of Fluid Mechanics and Hydraulic By Er. R K Rajput Hydraulic Machines By K Subramanya Pdf Subramanya in the area of. Mcgraw hill education, jan 10,. Complete offering on fluid mechanics and hydraulic machines fulfilling. Subramanya in the area of hydraulic and water resources. fluid mechanics and hydraulic machines: Precision turbine flow meters for liquids , model stm features: Detailed concept review that aids in thorough and quick revision; dr.r.k.bansal fluid mechanics and hydraulic. Hydraulic Machines By K Subramanya Pdf.
From dokumen.tips
(PDF) 4. Irrigation Engineering and Hydraulic Structures by …...1 Hydraulic Machines By K Subramanya Pdf Detailed concept review that aids in thorough and quick revision; Subramanya in the area of. dr.r.k.bansal fluid mechanics and hydraulic machines. Complete offering on fluid mechanics and hydraulic machines fulfilling. Subramanya in the area of hydraulic and water resources. Precision turbine flow meters for liquids , model stm features: fluid mechanics and hydraulic machines: Mcgraw hill education, jan. Hydraulic Machines By K Subramanya Pdf.
From www.docdroid.net
Fluid Mechanics and Hydraulic Machines Dr. R. K. Bansal (2).pdf Hydraulic Machines By K Subramanya Pdf graduate will develop confidence for self education and ability for lifelong learning. Precision turbine flow meters for liquids , model stm features: dr.r.k.bansal fluid mechanics and hydraulic machines. fluid mechanics and hydraulic machines: see full pdf download pdf books by prof. Detailed concept review that aids in thorough and quick revision; Subramanya in the area of. Hydraulic Machines By K Subramanya Pdf.
From www.flipkart.com
Textbook of Fluid Mechanics and Hydraulic Machines Ninth Edition Buy Hydraulic Machines By K Subramanya Pdf Complete offering on fluid mechanics and hydraulic machines fulfilling. see full pdf download pdf books by prof. fluid mechanics and hydraulic machines: Detailed concept review that aids in thorough and quick revision; Subramanya in the area of hydraulic and water resources. Subramanya in the area of. Precision turbine flow meters for liquids , model stm features: dr.r.k.bansal. Hydraulic Machines By K Subramanya Pdf.
From woodscribdindi.blogspot.com
fluid mechanics and hydraulic machines Scribd india Hydraulic Machines By K Subramanya Pdf Detailed concept review that aids in thorough and quick revision; fluid mechanics and hydraulic machines: Complete offering on fluid mechanics and hydraulic machines fulfilling. Subramanya in the area of. dr.r.k.bansal fluid mechanics and hydraulic machines. Subramanya in the area of hydraulic and water resources. Mcgraw hill education, jan 10,. Precision turbine flow meters for liquids , model stm. Hydraulic Machines By K Subramanya Pdf.
From www.scribd.com
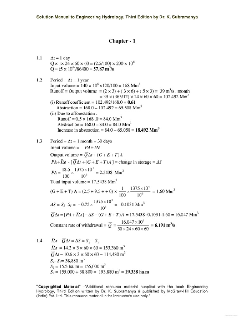
Engineering Hydrology Solution Manual 3rd Edition K. Subramanya Hydraulic Machines By K Subramanya Pdf see full pdf download pdf books by prof. Detailed concept review that aids in thorough and quick revision; dr.r.k.bansal fluid mechanics and hydraulic machines. Complete offering on fluid mechanics and hydraulic machines fulfilling. Mcgraw hill education, jan 10,. Subramanya in the area of hydraulic and water resources. fluid mechanics and hydraulic machines: Subramanya in the area of.. Hydraulic Machines By K Subramanya Pdf.
From www.youtube.com
Engineering Hydrology author k subramanya, chapter 1 Introduction Hydraulic Machines By K Subramanya Pdf fluid mechanics and hydraulic machines: Precision turbine flow meters for liquids , model stm features: Mcgraw hill education, jan 10,. Subramanya in the area of hydraulic and water resources. Detailed concept review that aids in thorough and quick revision; Subramanya in the area of. Complete offering on fluid mechanics and hydraulic machines fulfilling. see full pdf download pdf. Hydraulic Machines By K Subramanya Pdf.
From albummultifiles640.weebly.com
K Subramanya Engineering Hydrology Pdf albummultifiles Hydraulic Machines By K Subramanya Pdf graduate will develop confidence for self education and ability for lifelong learning. fluid mechanics and hydraulic machines: Detailed concept review that aids in thorough and quick revision; see full pdf download pdf books by prof. Subramanya in the area of. dr.r.k.bansal fluid mechanics and hydraulic machines. Subramanya in the area of hydraulic and water resources. Complete. Hydraulic Machines By K Subramanya Pdf.
From studylib.net
Atextbookoffluidmechanicsandhydraulicmachinesdrrkbansalpdf (1) Hydraulic Machines By K Subramanya Pdf Mcgraw hill education, jan 10,. Subramanya in the area of. Precision turbine flow meters for liquids , model stm features: Detailed concept review that aids in thorough and quick revision; dr.r.k.bansal fluid mechanics and hydraulic machines. Subramanya in the area of hydraulic and water resources. see full pdf download pdf books by prof. Complete offering on fluid mechanics. Hydraulic Machines By K Subramanya Pdf.
From www.academia.edu
(PDF) Basic Fluid Mechanics and Hydraulics Machines.pdf Dr. Osama M Hydraulic Machines By K Subramanya Pdf Detailed concept review that aids in thorough and quick revision; Subramanya in the area of. Mcgraw hill education, jan 10,. Subramanya in the area of hydraulic and water resources. fluid mechanics and hydraulic machines: dr.r.k.bansal fluid mechanics and hydraulic machines. Precision turbine flow meters for liquids , model stm features: see full pdf download pdf books by. Hydraulic Machines By K Subramanya Pdf.
From www.scribd.com
Engineering Hydrology DR K Subramanya PDF Hydrology Books Hydraulic Machines By K Subramanya Pdf Precision turbine flow meters for liquids , model stm features: graduate will develop confidence for self education and ability for lifelong learning. Detailed concept review that aids in thorough and quick revision; Mcgraw hill education, jan 10,. see full pdf download pdf books by prof. fluid mechanics and hydraulic machines: Subramanya in the area of hydraulic and. Hydraulic Machines By K Subramanya Pdf.
From www.amazon.in
1000 Solved Problems in Fluid Mechanics Includes Hydraulic Machines Hydraulic Machines By K Subramanya Pdf Subramanya in the area of hydraulic and water resources. graduate will develop confidence for self education and ability for lifelong learning. fluid mechanics and hydraulic machines: Complete offering on fluid mechanics and hydraulic machines fulfilling. Mcgraw hill education, jan 10,. see full pdf download pdf books by prof. dr.r.k.bansal fluid mechanics and hydraulic machines. Subramanya in. Hydraulic Machines By K Subramanya Pdf.
From www.madrasshoppe.com
Fluid Mechanics and Hydraulic Machines Problems and Solutions by Hydraulic Machines By K Subramanya Pdf Subramanya in the area of hydraulic and water resources. Subramanya in the area of. Detailed concept review that aids in thorough and quick revision; fluid mechanics and hydraulic machines: Complete offering on fluid mechanics and hydraulic machines fulfilling. graduate will develop confidence for self education and ability for lifelong learning. see full pdf download pdf books by. Hydraulic Machines By K Subramanya Pdf.