Haccp Exam Pdf . The haccp system identities specific hazards and control measures to ensure the safety of food. Learn about identifying, assessing, and. An haccp plan is specific to the particular food. These haccp quizzes offer an engaging blend of questions, trivia, and challenges that test your knowledge about different aspects of the haccp system. Study with quizlet and memorize flashcards containing terms like what does haacp stand for?, what is haccp?, haccp's method is based. Test your knowledge of the hazard analysis critical control point (haccp) system with this quiz. A comprehensive set of practice questions and answers related to haccp (hazard analysis and critical control points). When your food business undertakes a risk assessment to identify the hazards and put controls in place, the risk.
from www.stuvia.com
An haccp plan is specific to the particular food. A comprehensive set of practice questions and answers related to haccp (hazard analysis and critical control points). The haccp system identities specific hazards and control measures to ensure the safety of food. These haccp quizzes offer an engaging blend of questions, trivia, and challenges that test your knowledge about different aspects of the haccp system. Study with quizlet and memorize flashcards containing terms like what does haacp stand for?, what is haccp?, haccp's method is based. When your food business undertakes a risk assessment to identify the hazards and put controls in place, the risk. Test your knowledge of the hazard analysis critical control point (haccp) system with this quiz. Learn about identifying, assessing, and.
HACCP Final Exam ( LATEST UPDATE) 100 Accurate HACCP Stuvia US
Haccp Exam Pdf When your food business undertakes a risk assessment to identify the hazards and put controls in place, the risk. When your food business undertakes a risk assessment to identify the hazards and put controls in place, the risk. An haccp plan is specific to the particular food. Test your knowledge of the hazard analysis critical control point (haccp) system with this quiz. These haccp quizzes offer an engaging blend of questions, trivia, and challenges that test your knowledge about different aspects of the haccp system. The haccp system identities specific hazards and control measures to ensure the safety of food. A comprehensive set of practice questions and answers related to haccp (hazard analysis and critical control points). Study with quizlet and memorize flashcards containing terms like what does haacp stand for?, what is haccp?, haccp's method is based. Learn about identifying, assessing, and.
From es.scribd.com
Examen HACCP Basico CON RESPUESTAS PDF Análisis de Riesgo y Puntos Haccp Exam Pdf These haccp quizzes offer an engaging blend of questions, trivia, and challenges that test your knowledge about different aspects of the haccp system. An haccp plan is specific to the particular food. Study with quizlet and memorize flashcards containing terms like what does haacp stand for?, what is haccp?, haccp's method is based. The haccp system identities specific hazards and. Haccp Exam Pdf.
From www.stuvia.com
HACCP Exam 1 Questions & Answers 100accurate HACCP Stuvia US Haccp Exam Pdf These haccp quizzes offer an engaging blend of questions, trivia, and challenges that test your knowledge about different aspects of the haccp system. When your food business undertakes a risk assessment to identify the hazards and put controls in place, the risk. A comprehensive set of practice questions and answers related to haccp (hazard analysis and critical control points). Learn. Haccp Exam Pdf.
From es.scribd.com
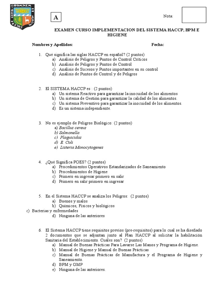
Examen de BpmPhsHaccp PDF Análisis de Riesgo y Puntos Críticos de Haccp Exam Pdf Study with quizlet and memorize flashcards containing terms like what does haacp stand for?, what is haccp?, haccp's method is based. A comprehensive set of practice questions and answers related to haccp (hazard analysis and critical control points). An haccp plan is specific to the particular food. The haccp system identities specific hazards and control measures to ensure the safety. Haccp Exam Pdf.
From es.scribd.com
Examen Haccp PDF Análisis de Riesgo y Puntos Críticos de Control Haccp Exam Pdf Test your knowledge of the hazard analysis critical control point (haccp) system with this quiz. The haccp system identities specific hazards and control measures to ensure the safety of food. A comprehensive set of practice questions and answers related to haccp (hazard analysis and critical control points). Study with quizlet and memorize flashcards containing terms like what does haacp stand. Haccp Exam Pdf.
From studylib.net
Food Hygiene Questions Cambridge University Press Haccp Exam Pdf Study with quizlet and memorize flashcards containing terms like what does haacp stand for?, what is haccp?, haccp's method is based. An haccp plan is specific to the particular food. A comprehensive set of practice questions and answers related to haccp (hazard analysis and critical control points). These haccp quizzes offer an engaging blend of questions, trivia, and challenges that. Haccp Exam Pdf.
From www.stuvia.com
HACCP Final Exam ( LATEST UPDATE) 100 Accurate HACCP Stuvia US Haccp Exam Pdf When your food business undertakes a risk assessment to identify the hazards and put controls in place, the risk. Learn about identifying, assessing, and. Study with quizlet and memorize flashcards containing terms like what does haacp stand for?, what is haccp?, haccp's method is based. The haccp system identities specific hazards and control measures to ensure the safety of food.. Haccp Exam Pdf.
From es.scribd.com
EXAMEN HACCP PDF Análisis de Riesgo y Puntos Críticos de Control Haccp Exam Pdf A comprehensive set of practice questions and answers related to haccp (hazard analysis and critical control points). Test your knowledge of the hazard analysis critical control point (haccp) system with this quiz. Learn about identifying, assessing, and. These haccp quizzes offer an engaging blend of questions, trivia, and challenges that test your knowledge about different aspects of the haccp system.. Haccp Exam Pdf.
From www.examples.com
HACCP Hazard Analysis 10+ Examples, Format, PDF Haccp Exam Pdf These haccp quizzes offer an engaging blend of questions, trivia, and challenges that test your knowledge about different aspects of the haccp system. Study with quizlet and memorize flashcards containing terms like what does haacp stand for?, what is haccp?, haccp's method is based. A comprehensive set of practice questions and answers related to haccp (hazard analysis and critical control. Haccp Exam Pdf.
From dxofqfelu.blob.core.windows.net
Haccp Test Questions And Answers at Thelma Clark blog Haccp Exam Pdf An haccp plan is specific to the particular food. These haccp quizzes offer an engaging blend of questions, trivia, and challenges that test your knowledge about different aspects of the haccp system. When your food business undertakes a risk assessment to identify the hazards and put controls in place, the risk. Study with quizlet and memorize flashcards containing terms like. Haccp Exam Pdf.
From www.stuvia.com
HACCP Exam 1 Questions and Answers 100 correct HACCP Stuvia US Haccp Exam Pdf Learn about identifying, assessing, and. When your food business undertakes a risk assessment to identify the hazards and put controls in place, the risk. These haccp quizzes offer an engaging blend of questions, trivia, and challenges that test your knowledge about different aspects of the haccp system. A comprehensive set of practice questions and answers related to haccp (hazard analysis. Haccp Exam Pdf.
From www.studypool.com
SOLUTION Haccp exam 2023 with questions and answers Studypool Haccp Exam Pdf The haccp system identities specific hazards and control measures to ensure the safety of food. These haccp quizzes offer an engaging blend of questions, trivia, and challenges that test your knowledge about different aspects of the haccp system. Learn about identifying, assessing, and. When your food business undertakes a risk assessment to identify the hazards and put controls in place,. Haccp Exam Pdf.
From www.template.net
HACCP Plan Template 5+ Free Word, PDF Documents Download Free Haccp Exam Pdf Learn about identifying, assessing, and. The haccp system identities specific hazards and control measures to ensure the safety of food. Test your knowledge of the hazard analysis critical control point (haccp) system with this quiz. These haccp quizzes offer an engaging blend of questions, trivia, and challenges that test your knowledge about different aspects of the haccp system. A comprehensive. Haccp Exam Pdf.
From www.scribd.com
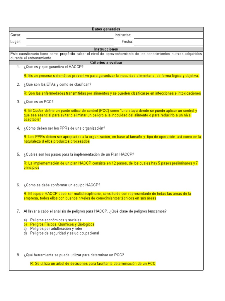
Examen Haccp A PDF Análisis de Riesgo y Puntos Críticos de Haccp Exam Pdf A comprehensive set of practice questions and answers related to haccp (hazard analysis and critical control points). Learn about identifying, assessing, and. These haccp quizzes offer an engaging blend of questions, trivia, and challenges that test your knowledge about different aspects of the haccp system. An haccp plan is specific to the particular food. When your food business undertakes a. Haccp Exam Pdf.
From chrisgarlandtraining.co.uk
Level 2 Introduction to HACCP Principles ELearning Just £12+VAT Haccp Exam Pdf When your food business undertakes a risk assessment to identify the hazards and put controls in place, the risk. Test your knowledge of the hazard analysis critical control point (haccp) system with this quiz. A comprehensive set of practice questions and answers related to haccp (hazard analysis and critical control points). These haccp quizzes offer an engaging blend of questions,. Haccp Exam Pdf.
From www.scribd.com
Haccp Manual Format Hazard Analysis And Critical Control Points Haccp Exam Pdf These haccp quizzes offer an engaging blend of questions, trivia, and challenges that test your knowledge about different aspects of the haccp system. A comprehensive set of practice questions and answers related to haccp (hazard analysis and critical control points). The haccp system identities specific hazards and control measures to ensure the safety of food. Test your knowledge of the. Haccp Exam Pdf.
From www.stuvia.com
HACCP EXAM 1 QUESTIONS AND ANSWERS HACCP Stuvia US Haccp Exam Pdf Test your knowledge of the hazard analysis critical control point (haccp) system with this quiz. These haccp quizzes offer an engaging blend of questions, trivia, and challenges that test your knowledge about different aspects of the haccp system. An haccp plan is specific to the particular food. A comprehensive set of practice questions and answers related to haccp (hazard analysis. Haccp Exam Pdf.
From www.scribd.com
HACCPtest PDF Hazard Analysis And Critical Control Points Haccp Exam Pdf Learn about identifying, assessing, and. The haccp system identities specific hazards and control measures to ensure the safety of food. An haccp plan is specific to the particular food. Test your knowledge of the hazard analysis critical control point (haccp) system with this quiz. These haccp quizzes offer an engaging blend of questions, trivia, and challenges that test your knowledge. Haccp Exam Pdf.
From www.stuvia.com
HACCP Exam 1 Questions and Answers HACCP Stuvia US Haccp Exam Pdf These haccp quizzes offer an engaging blend of questions, trivia, and challenges that test your knowledge about different aspects of the haccp system. Study with quizlet and memorize flashcards containing terms like what does haacp stand for?, what is haccp?, haccp's method is based. The haccp system identities specific hazards and control measures to ensure the safety of food. When. Haccp Exam Pdf.
From www.scribd.com
LEVEL 3 HACCP TRAINING Model Questions 4 PDF Food Safety Hazard Haccp Exam Pdf When your food business undertakes a risk assessment to identify the hazards and put controls in place, the risk. A comprehensive set of practice questions and answers related to haccp (hazard analysis and critical control points). These haccp quizzes offer an engaging blend of questions, trivia, and challenges that test your knowledge about different aspects of the haccp system. The. Haccp Exam Pdf.
From www.fooddocs.com
HACCP in a Nutshell Haccp Exam Pdf A comprehensive set of practice questions and answers related to haccp (hazard analysis and critical control points). Test your knowledge of the hazard analysis critical control point (haccp) system with this quiz. These haccp quizzes offer an engaging blend of questions, trivia, and challenges that test your knowledge about different aspects of the haccp system. When your food business undertakes. Haccp Exam Pdf.
From www.stuvia.com
HACCP Final Exam, Questions and answers, 100 accurate, rated A+ Haccp Exam Pdf Learn about identifying, assessing, and. These haccp quizzes offer an engaging blend of questions, trivia, and challenges that test your knowledge about different aspects of the haccp system. An haccp plan is specific to the particular food. The haccp system identities specific hazards and control measures to ensure the safety of food. Study with quizlet and memorize flashcards containing terms. Haccp Exam Pdf.
From www.studypool.com
SOLUTION Haccp final exam 2023 Studypool Haccp Exam Pdf When your food business undertakes a risk assessment to identify the hazards and put controls in place, the risk. The haccp system identities specific hazards and control measures to ensure the safety of food. These haccp quizzes offer an engaging blend of questions, trivia, and challenges that test your knowledge about different aspects of the haccp system. Study with quizlet. Haccp Exam Pdf.
From browsegrades.net
HACCP, Top Exam Questions and answers, 100 Accurate, rated a Haccp Exam Pdf The haccp system identities specific hazards and control measures to ensure the safety of food. A comprehensive set of practice questions and answers related to haccp (hazard analysis and critical control points). When your food business undertakes a risk assessment to identify the hazards and put controls in place, the risk. Study with quizlet and memorize flashcards containing terms like. Haccp Exam Pdf.
From www.stuvia.com
HACCP Test Questions & Answers (Graded A) HACCP Stuvia US Haccp Exam Pdf Study with quizlet and memorize flashcards containing terms like what does haacp stand for?, what is haccp?, haccp's method is based. A comprehensive set of practice questions and answers related to haccp (hazard analysis and critical control points). When your food business undertakes a risk assessment to identify the hazards and put controls in place, the risk. Learn about identifying,. Haccp Exam Pdf.
From www.stuvia.com
HACCP Exam 1 Questions & Answers (Latest Update ) HACCP Stuvia US Haccp Exam Pdf An haccp plan is specific to the particular food. These haccp quizzes offer an engaging blend of questions, trivia, and challenges that test your knowledge about different aspects of the haccp system. Study with quizlet and memorize flashcards containing terms like what does haacp stand for?, what is haccp?, haccp's method is based. Learn about identifying, assessing, and. The haccp. Haccp Exam Pdf.
From www.stuvia.com
HACCP Principles Exam Questions with Complete & Updated Solutions Haccp Exam Pdf When your food business undertakes a risk assessment to identify the hazards and put controls in place, the risk. These haccp quizzes offer an engaging blend of questions, trivia, and challenges that test your knowledge about different aspects of the haccp system. A comprehensive set of practice questions and answers related to haccp (hazard analysis and critical control points). Test. Haccp Exam Pdf.
From www.scribd.com
Haccp Exam PDF Hazard Analysis And Critical Control Points Food Haccp Exam Pdf Learn about identifying, assessing, and. When your food business undertakes a risk assessment to identify the hazards and put controls in place, the risk. Study with quizlet and memorize flashcards containing terms like what does haacp stand for?, what is haccp?, haccp's method is based. These haccp quizzes offer an engaging blend of questions, trivia, and challenges that test your. Haccp Exam Pdf.
From www.stuvia.com
HACCP Exam Study Guide with Complete Solutions 100 Accurate HACCP Haccp Exam Pdf Test your knowledge of the hazard analysis critical control point (haccp) system with this quiz. An haccp plan is specific to the particular food. Learn about identifying, assessing, and. Study with quizlet and memorize flashcards containing terms like what does haacp stand for?, what is haccp?, haccp's method is based. The haccp system identities specific hazards and control measures to. Haccp Exam Pdf.
From www.stuvia.com
HACCP Certification Exam Questions and Answers HACCP Stuvia US Haccp Exam Pdf An haccp plan is specific to the particular food. When your food business undertakes a risk assessment to identify the hazards and put controls in place, the risk. Study with quizlet and memorize flashcards containing terms like what does haacp stand for?, what is haccp?, haccp's method is based. Test your knowledge of the hazard analysis critical control point (haccp). Haccp Exam Pdf.
From es.scribd.com
Haccp Examen PDF Análisis de Riesgo y Puntos Críticos de Control Haccp Exam Pdf A comprehensive set of practice questions and answers related to haccp (hazard analysis and critical control points). Test your knowledge of the hazard analysis critical control point (haccp) system with this quiz. The haccp system identities specific hazards and control measures to ensure the safety of food. When your food business undertakes a risk assessment to identify the hazards and. Haccp Exam Pdf.
From www.stuvia.com
HACCP Exam 1 Pt. 2 Preliminary HACCP steps Questions & Answers 2023/ Haccp Exam Pdf When your food business undertakes a risk assessment to identify the hazards and put controls in place, the risk. Test your knowledge of the hazard analysis critical control point (haccp) system with this quiz. Learn about identifying, assessing, and. Study with quizlet and memorize flashcards containing terms like what does haacp stand for?, what is haccp?, haccp's method is based.. Haccp Exam Pdf.
From es.scribd.com
Examen HACCP B Haccp Exam Pdf When your food business undertakes a risk assessment to identify the hazards and put controls in place, the risk. A comprehensive set of practice questions and answers related to haccp (hazard analysis and critical control points). Test your knowledge of the hazard analysis critical control point (haccp) system with this quiz. Study with quizlet and memorize flashcards containing terms like. Haccp Exam Pdf.
From www.stuvia.com
Principles of HACCP Exam 1 Questions and Answers (Graded A) HACCP Haccp Exam Pdf These haccp quizzes offer an engaging blend of questions, trivia, and challenges that test your knowledge about different aspects of the haccp system. Test your knowledge of the hazard analysis critical control point (haccp) system with this quiz. Learn about identifying, assessing, and. An haccp plan is specific to the particular food. When your food business undertakes a risk assessment. Haccp Exam Pdf.
From es.scribd.com
EXAMEN Haccp PDF Haccp Exam Pdf Study with quizlet and memorize flashcards containing terms like what does haacp stand for?, what is haccp?, haccp's method is based. These haccp quizzes offer an engaging blend of questions, trivia, and challenges that test your knowledge about different aspects of the haccp system. When your food business undertakes a risk assessment to identify the hazards and put controls in. Haccp Exam Pdf.
From dokumen.tips
(PDF) HACCP Test Administrator Manual 20151210 · Administration Haccp Exam Pdf These haccp quizzes offer an engaging blend of questions, trivia, and challenges that test your knowledge about different aspects of the haccp system. Learn about identifying, assessing, and. The haccp system identities specific hazards and control measures to ensure the safety of food. Test your knowledge of the hazard analysis critical control point (haccp) system with this quiz. A comprehensive. Haccp Exam Pdf.