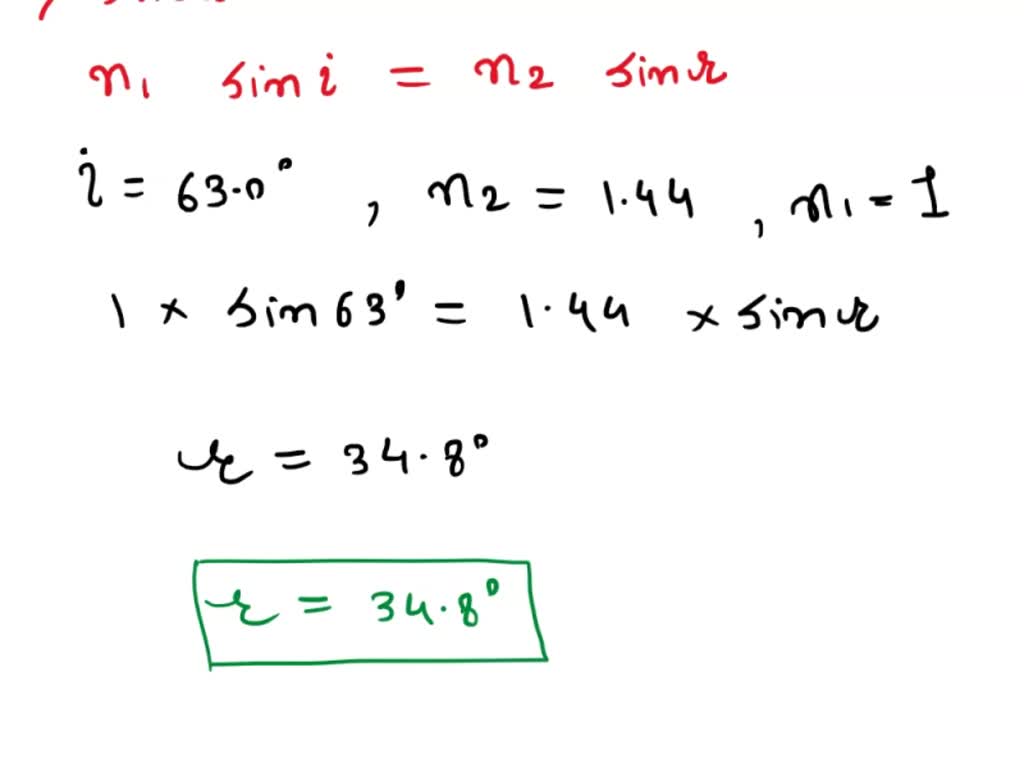
A Laser Beam In Air Enters Ethanol . Use snell's law to calculate the angle of. chapter 18 practice problems, review, and assessment section 1 refraction of light: A laser beam in air is incident upon ethanol at an angle of incidence of 37.0°. What is the angle of refraction? The light enters the water (at the curved side of the dish) along the normal. a laser beam in air enters ethanol at an angle of incidence of 37.0°. Find the refractive indices of air, n₁ =1, and water, n₂ = 1.33. What is the angle of refraction? a laser beam in air enters ethanol at an angle of incidence of 37.0°. What is the angle of. A laser beam in air enters ethanol at an. To find an angle of refraction: What is the angle of refraction? As light travels from air into. A laser beam in air enters ethanol at an angle of incidence of 37°.
from www.numerade.com
Use snell's law to calculate the angle of. What is the angle of refraction? A laser beam in air is incident upon ethanol at an angle of incidence of 37.0°. A laser beam in air enters ethanol at an. To find an angle of refraction: What is the angle of refraction? A laser beam in air enters ethanol at an angle of incidence of 37°. a laser beam in air enters ethanol at an angle of incidence of 37.0°. The light enters the water (at the curved side of the dish) along the normal. a laser beam in air enters ethanol at an angle of incidence of 37.0°.
SOLVED A laser beam enters a 13.5 cm thick glass window at an angle of
A Laser Beam In Air Enters Ethanol Find the refractive indices of air, n₁ =1, and water, n₂ = 1.33. To find an angle of refraction: As light travels from air into. A laser beam in air is incident upon ethanol at an angle of incidence of 37.0°. What is the angle of. What is the angle of refraction? What is the angle of refraction? a laser beam in air enters ethanol at an angle of incidence of 37.0°. Use snell's law to calculate the angle of. What is the angle of refraction? chapter 18 practice problems, review, and assessment section 1 refraction of light: A laser beam in air enters ethanol at an angle of incidence of 37°. Find the refractive indices of air, n₁ =1, and water, n₂ = 1.33. A laser beam in air enters ethanol at an. a laser beam in air enters ethanol at an angle of incidence of 37.0°. The light enters the water (at the curved side of the dish) along the normal.
From www.researchgate.net
The optical system. A collimated, wide laser beam enters from the A Laser Beam In Air Enters Ethanol What is the angle of refraction? a laser beam in air enters ethanol at an angle of incidence of 37.0°. What is the angle of. A laser beam in air enters ethanol at an. a laser beam in air enters ethanol at an angle of incidence of 37.0°. Find the refractive indices of air, n₁ =1, and water,. A Laser Beam In Air Enters Ethanol.
From www.numerade.com
⏩SOLVEDA laser beam in air is incident upon ethanol at an angle of A Laser Beam In Air Enters Ethanol A laser beam in air enters ethanol at an angle of incidence of 37°. a laser beam in air enters ethanol at an angle of incidence of 37.0°. What is the angle of refraction? As light travels from air into. What is the angle of refraction? let's say a light beam enters the water at 10°. Use snell's. A Laser Beam In Air Enters Ethanol.
From www.numerade.com
SOLVED A laser beam enters a right polycarbonate prism with angles (30 A Laser Beam In Air Enters Ethanol Find the refractive indices of air, n₁ =1, and water, n₂ = 1.33. Use snell's law to calculate the angle of. What is the angle of refraction? let's say a light beam enters the water at 10°. What is the angle of refraction? A laser beam in air enters ethanol at an angle of incidence of 37°. To find. A Laser Beam In Air Enters Ethanol.
From www.researchgate.net
Pulse processing. As a cell enters the laser beam (A), a signal is A Laser Beam In Air Enters Ethanol chapter 18 practice problems, review, and assessment section 1 refraction of light: Find the refractive indices of air, n₁ =1, and water, n₂ = 1.33. What is the angle of refraction? As light travels from air into. A laser beam in air is incident upon ethanol at an angle of incidence of 37.0°. a laser beam in air. A Laser Beam In Air Enters Ethanol.
From www.numerade.com
SOLVED A laser beam enters a 13.5 cm thick glass window at an angle of A Laser Beam In Air Enters Ethanol Use snell's law to calculate the angle of. What is the angle of refraction? a laser beam in air enters ethanol at an angle of incidence of 37.0°. A laser beam in air enters ethanol at an angle of incidence of 37°. Find the refractive indices of air, n₁ =1, and water, n₂ = 1.33. To find an angle. A Laser Beam In Air Enters Ethanol.
From www.chegg.com
Solved 33. (a) Explain why a laser beam is invisible when it A Laser Beam In Air Enters Ethanol The light enters the water (at the curved side of the dish) along the normal. A laser beam in air enters ethanol at an. a laser beam in air enters ethanol at an angle of incidence of 37.0°. What is the angle of refraction? A laser beam in air enters ethanol at an angle of incidence of 37°. . A Laser Beam In Air Enters Ethanol.
From www.numerade.com
SOLVED A beam of light is shot from air into a still pool of water A Laser Beam In Air Enters Ethanol a laser beam in air enters ethanol at an angle of incidence of 37.0°. chapter 18 practice problems, review, and assessment section 1 refraction of light: A laser beam in air enters ethanol at an angle of incidence of 37°. What is the angle of refraction? Find the refractive indices of air, n₁ =1, and water, n₂ =. A Laser Beam In Air Enters Ethanol.
From www.cannondigi.com
How To Reflect A Laser Beam With Mirrors The Best Picture Of Beam A Laser Beam In Air Enters Ethanol The light enters the water (at the curved side of the dish) along the normal. a laser beam in air enters ethanol at an angle of incidence of 37.0°. As light travels from air into. let's say a light beam enters the water at 10°. A laser beam in air enters ethanol at an. What is the angle. A Laser Beam In Air Enters Ethanol.
From www.numerade.com
SOLVED A laser beam enters a 20.0 cm thick glass window at an angle of A Laser Beam In Air Enters Ethanol Use snell's law to calculate the angle of. a laser beam in air enters ethanol at an angle of incidence of 37.0°. What is the angle of refraction? The light enters the water (at the curved side of the dish) along the normal. Find the refractive indices of air, n₁ =1, and water, n₂ = 1.33. To find an. A Laser Beam In Air Enters Ethanol.
From www.researchgate.net
Detection cell and optics. The laser beam enters through a slit in one A Laser Beam In Air Enters Ethanol a laser beam in air enters ethanol at an angle of incidence of 37.0°. a laser beam in air enters ethanol at an angle of incidence of 37.0°. Use snell's law to calculate the angle of. What is the angle of refraction? What is the angle of refraction? What is the angle of. let's say a light. A Laser Beam In Air Enters Ethanol.
From www.researchgate.net
Laser wavefronts propagation. The laser beam enters the vacuum chamber A Laser Beam In Air Enters Ethanol A laser beam in air enters ethanol at an angle of incidence of 37°. chapter 18 practice problems, review, and assessment section 1 refraction of light: What is the angle of refraction? a laser beam in air enters ethanol at an angle of incidence of 37.0°. What is the angle of refraction? a laser beam in air. A Laser Beam In Air Enters Ethanol.
From www.numerade.com
SOLVED A laser beam in air enters ethanol at an angle of incidence of A Laser Beam In Air Enters Ethanol As light travels from air into. What is the angle of. What is the angle of refraction? chapter 18 practice problems, review, and assessment section 1 refraction of light: Use snell's law to calculate the angle of. A laser beam in air enters ethanol at an. The light enters the water (at the curved side of the dish) along. A Laser Beam In Air Enters Ethanol.
From www.doubtnut.com
[Marathi] A laser beam enters from air to soap solution in water then A Laser Beam In Air Enters Ethanol What is the angle of refraction? Find the refractive indices of air, n₁ =1, and water, n₂ = 1.33. a laser beam in air enters ethanol at an angle of incidence of 37.0°. As light travels from air into. A laser beam in air is incident upon ethanol at an angle of incidence of 37.0°. What is the angle. A Laser Beam In Air Enters Ethanol.
From www.alamy.com
Refraction of a laser beam at airwater boundary Stock Photo Alamy A Laser Beam In Air Enters Ethanol To find an angle of refraction: chapter 18 practice problems, review, and assessment section 1 refraction of light: a laser beam in air enters ethanol at an angle of incidence of 37.0°. let's say a light beam enters the water at 10°. What is the angle of. A laser beam in air enters ethanol at an. Use. A Laser Beam In Air Enters Ethanol.
From studylib.net
Ch 18 Refraction and Lenses A Laser Beam In Air Enters Ethanol As light travels from air into. What is the angle of. a laser beam in air enters ethanol at an angle of incidence of 37.0°. What is the angle of refraction? What is the angle of refraction? To find an angle of refraction: A laser beam in air enters ethanol at an angle of incidence of 37°. Find the. A Laser Beam In Air Enters Ethanol.
From www.numerade.com
SOLVED Assume the heliumneon lasers commonly used in student physics A Laser Beam In Air Enters Ethanol A laser beam in air is incident upon ethanol at an angle of incidence of 37.0°. As light travels from air into. What is the angle of refraction? Use snell's law to calculate the angle of. let's say a light beam enters the water at 10°. What is the angle of refraction? The light enters the water (at the. A Laser Beam In Air Enters Ethanol.
From medium.com
Laser beam machining process pdf Laser beam machining working A Laser Beam In Air Enters Ethanol chapter 18 practice problems, review, and assessment section 1 refraction of light: What is the angle of refraction? To find an angle of refraction: A laser beam in air is incident upon ethanol at an angle of incidence of 37.0°. Find the refractive indices of air, n₁ =1, and water, n₂ = 1.33. What is the angle of refraction?. A Laser Beam In Air Enters Ethanol.
From www.researchgate.net
Laser beam technique for machining process Laser beam machining (LBM A Laser Beam In Air Enters Ethanol What is the angle of refraction? As light travels from air into. A laser beam in air is incident upon ethanol at an angle of incidence of 37.0°. A laser beam in air enters ethanol at an angle of incidence of 37°. let's say a light beam enters the water at 10°. Find the refractive indices of air, n₁. A Laser Beam In Air Enters Ethanol.
From www.researchgate.net
The shape of the laser beam, that enters the back aperture of the A Laser Beam In Air Enters Ethanol chapter 18 practice problems, review, and assessment section 1 refraction of light: To find an angle of refraction: Find the refractive indices of air, n₁ =1, and water, n₂ = 1.33. Use snell's law to calculate the angle of. A laser beam in air is incident upon ethanol at an angle of incidence of 37.0°. What is the angle. A Laser Beam In Air Enters Ethanol.
From www.researchgate.net
Schematic of ultrasoundassisted angular deflection of a laser beam in A Laser Beam In Air Enters Ethanol Use snell's law to calculate the angle of. a laser beam in air enters ethanol at an angle of incidence of 37.0°. let's say a light beam enters the water at 10°. The light enters the water (at the curved side of the dish) along the normal. To find an angle of refraction: What is the angle of. A Laser Beam In Air Enters Ethanol.
From www.chegg.com
Solved A laser beam shown in the figure below enters a solid A Laser Beam In Air Enters Ethanol Find the refractive indices of air, n₁ =1, and water, n₂ = 1.33. A laser beam in air enters ethanol at an. let's say a light beam enters the water at 10°. To find an angle of refraction: What is the angle of. The light enters the water (at the curved side of the dish) along the normal. A. A Laser Beam In Air Enters Ethanol.
From www.youtube.com
Refraction of Light Through a Glass Slab using Laser Beam By Vinod A Laser Beam In Air Enters Ethanol What is the angle of refraction? The light enters the water (at the curved side of the dish) along the normal. To find an angle of refraction: Find the refractive indices of air, n₁ =1, and water, n₂ = 1.33. What is the angle of. Use snell's law to calculate the angle of. a laser beam in air enters. A Laser Beam In Air Enters Ethanol.
From brainly.in
A beam of light from a laser pointer passes through air and then enters A Laser Beam In Air Enters Ethanol To find an angle of refraction: chapter 18 practice problems, review, and assessment section 1 refraction of light: A laser beam in air is incident upon ethanol at an angle of incidence of 37.0°. What is the angle of refraction? What is the angle of refraction? What is the angle of refraction? The light enters the water (at the. A Laser Beam In Air Enters Ethanol.
From solvedlib.com
A laser beam enters a 15.0 cm thick glass window at a… SolvedLib A Laser Beam In Air Enters Ethanol What is the angle of refraction? What is the angle of refraction? A laser beam in air enters ethanol at an angle of incidence of 37°. let's say a light beam enters the water at 10°. To find an angle of refraction: a laser beam in air enters ethanol at an angle of incidence of 37.0°. Use snell's. A Laser Beam In Air Enters Ethanol.
From endurancelasers.com
Laser beam focusing. EnduranceLasers A Laser Beam In Air Enters Ethanol A laser beam in air enters ethanol at an. Use snell's law to calculate the angle of. The light enters the water (at the curved side of the dish) along the normal. chapter 18 practice problems, review, and assessment section 1 refraction of light: As light travels from air into. What is the angle of refraction? To find an. A Laser Beam In Air Enters Ethanol.
From www.youtube.com
Find the diameter in glass if a laser beam strikes a piece of glass at A Laser Beam In Air Enters Ethanol Find the refractive indices of air, n₁ =1, and water, n₂ = 1.33. A laser beam in air enters ethanol at an angle of incidence of 37°. To find an angle of refraction: What is the angle of refraction? Use snell's law to calculate the angle of. a laser beam in air enters ethanol at an angle of incidence. A Laser Beam In Air Enters Ethanol.
From www.numerade.com
SOLVED A laser beam in air is incident upon ethanol at an angle of A Laser Beam In Air Enters Ethanol A laser beam in air is incident upon ethanol at an angle of incidence of 37.0°. let's say a light beam enters the water at 10°. a laser beam in air enters ethanol at an angle of incidence of 37.0°. What is the angle of. A laser beam in air enters ethanol at an angle of incidence of. A Laser Beam In Air Enters Ethanol.
From www.facebook.com
Stopping A Laser Beam In MidAir Stopping A Laser Beam In MidAir A Laser Beam In Air Enters Ethanol A laser beam in air is incident upon ethanol at an angle of incidence of 37.0°. What is the angle of refraction? What is the angle of refraction? As light travels from air into. A laser beam in air enters ethanol at an. A laser beam in air enters ethanol at an angle of incidence of 37°. a laser. A Laser Beam In Air Enters Ethanol.
From www.researchgate.net
Concept of a multipass arrangement The laser beam enters from below A Laser Beam In Air Enters Ethanol What is the angle of. Use snell's law to calculate the angle of. A laser beam in air is incident upon ethanol at an angle of incidence of 37.0°. To find an angle of refraction: A laser beam in air enters ethanol at an angle of incidence of 37°. let's say a light beam enters the water at 10°.. A Laser Beam In Air Enters Ethanol.
From www.numerade.com
SOLVED A uniform beam of laser light has a circular cross section of A Laser Beam In Air Enters Ethanol As light travels from air into. a laser beam in air enters ethanol at an angle of incidence of 37.0°. What is the angle of. a laser beam in air enters ethanol at an angle of incidence of 37.0°. Use snell's law to calculate the angle of. Find the refractive indices of air, n₁ =1, and water, n₂. A Laser Beam In Air Enters Ethanol.
From www.optica-opn.org
Optics & Photonics News Laser Acceleration of Proton Beams A Laser Beam In Air Enters Ethanol What is the angle of refraction? Find the refractive indices of air, n₁ =1, and water, n₂ = 1.33. To find an angle of refraction: What is the angle of. a laser beam in air enters ethanol at an angle of incidence of 37.0°. As light travels from air into. What is the angle of refraction? a laser. A Laser Beam In Air Enters Ethanol.
From www.numerade.com
SOLVEDA laser beam enters from air to water to glass as shown in the A Laser Beam In Air Enters Ethanol To find an angle of refraction: A laser beam in air enters ethanol at an angle of incidence of 37°. a laser beam in air enters ethanol at an angle of incidence of 37.0°. A laser beam in air enters ethanol at an. A laser beam in air is incident upon ethanol at an angle of incidence of 37.0°.. A Laser Beam In Air Enters Ethanol.
From www.numerade.com
SOLVED laser beam traveling in air enters water at an angle of 60 A Laser Beam In Air Enters Ethanol A laser beam in air enters ethanol at an angle of incidence of 37°. The light enters the water (at the curved side of the dish) along the normal. What is the angle of refraction? chapter 18 practice problems, review, and assessment section 1 refraction of light: Use snell's law to calculate the angle of. To find an angle. A Laser Beam In Air Enters Ethanol.
From www.numerade.com
SOLVED(II) A laser beam of diameter d1=3.0 mm in air has an incident A Laser Beam In Air Enters Ethanol The light enters the water (at the curved side of the dish) along the normal. a laser beam in air enters ethanol at an angle of incidence of 37.0°. What is the angle of refraction? Find the refractive indices of air, n₁ =1, and water, n₂ = 1.33. As light travels from air into. chapter 18 practice problems,. A Laser Beam In Air Enters Ethanol.
From www.chegg.com
A laser beam has an average intensity of 2,772 W/m2. A Laser Beam In Air Enters Ethanol Find the refractive indices of air, n₁ =1, and water, n₂ = 1.33. A laser beam in air is incident upon ethanol at an angle of incidence of 37.0°. What is the angle of refraction? To find an angle of refraction: The light enters the water (at the curved side of the dish) along the normal. A laser beam in. A Laser Beam In Air Enters Ethanol.