The Density Of Aluminum Is 2.70 G/Cm3. What Is The Density In Kg/M3 . The mass concentrations of a pure substance. We can rearrange this formula to solve for volume: To find the volume of a given piece of aluminum, we can use the formula: There are exceptions however, such as water's density increasing between 0°c and 4°c. The mass of an object is equal to the product of its density and volume. The density of aluminum is given as 2.70 g/cm³. Check to ensure that the units cancel properly. To convert this to kg/m³, we need to use the conversion factors that 1 kg = 1000 g. Below is a table of units in which density is commonly. 1 use the formula for density, which is defined as density (ρ) = mass (m) / volume (v). The density calculator calculates the volumetric mass density of a substance: Rearranging the formula to solve.
from www.numerade.com
The density calculator calculates the volumetric mass density of a substance: We can rearrange this formula to solve for volume: The mass concentrations of a pure substance. There are exceptions however, such as water's density increasing between 0°c and 4°c. Below is a table of units in which density is commonly. Rearranging the formula to solve. 1 use the formula for density, which is defined as density (ρ) = mass (m) / volume (v). To convert this to kg/m³, we need to use the conversion factors that 1 kg = 1000 g. The mass of an object is equal to the product of its density and volume. Check to ensure that the units cancel properly.
SOLVED Rolls of foil are 308 mm wide and 0.017 mm thick. (The density
The Density Of Aluminum Is 2.70 G/Cm3. What Is The Density In Kg/M3 There are exceptions however, such as water's density increasing between 0°c and 4°c. The mass concentrations of a pure substance. The density calculator calculates the volumetric mass density of a substance: The mass of an object is equal to the product of its density and volume. To find the volume of a given piece of aluminum, we can use the formula: Check to ensure that the units cancel properly. To convert this to kg/m³, we need to use the conversion factors that 1 kg = 1000 g. The density of aluminum is given as 2.70 g/cm³. Below is a table of units in which density is commonly. Rearranging the formula to solve. There are exceptions however, such as water's density increasing between 0°c and 4°c. 1 use the formula for density, which is defined as density (ρ) = mass (m) / volume (v). We can rearrange this formula to solve for volume:
From www.numerade.com
Aluminum is a lightweight metal (density =2.70 g / cm^3 ) used in The Density Of Aluminum Is 2.70 G/Cm3. What Is The Density In Kg/M3 Rearranging the formula to solve. Check to ensure that the units cancel properly. Below is a table of units in which density is commonly. The density of aluminum is given as 2.70 g/cm³. The mass concentrations of a pure substance. We can rearrange this formula to solve for volume: To convert this to kg/m³, we need to use the conversion. The Density Of Aluminum Is 2.70 G/Cm3. What Is The Density In Kg/M3.
From www.numerade.com
The accepted density of aluminum is 2.70 g/mL Two students have done a The Density Of Aluminum Is 2.70 G/Cm3. What Is The Density In Kg/M3 Below is a table of units in which density is commonly. Check to ensure that the units cancel properly. The mass concentrations of a pure substance. There are exceptions however, such as water's density increasing between 0°c and 4°c. 1 use the formula for density, which is defined as density (ρ) = mass (m) / volume (v). Rearranging the formula. The Density Of Aluminum Is 2.70 G/Cm3. What Is The Density In Kg/M3.
From www.numerade.com
SOLVED A piece of aluminum has density 2.70 g/cm3 and mass 775 g. The The Density Of Aluminum Is 2.70 G/Cm3. What Is The Density In Kg/M3 1 use the formula for density, which is defined as density (ρ) = mass (m) / volume (v). We can rearrange this formula to solve for volume: Below is a table of units in which density is commonly. Rearranging the formula to solve. Check to ensure that the units cancel properly. The density calculator calculates the volumetric mass density of. The Density Of Aluminum Is 2.70 G/Cm3. What Is The Density In Kg/M3.
From www.numerade.com
SOLVED 'The density of aluminum is 2.702 g/cm3. What is the final The Density Of Aluminum Is 2.70 G/Cm3. What Is The Density In Kg/M3 1 use the formula for density, which is defined as density (ρ) = mass (m) / volume (v). We can rearrange this formula to solve for volume: The density of aluminum is given as 2.70 g/cm³. The density calculator calculates the volumetric mass density of a substance: There are exceptions however, such as water's density increasing between 0°c and 4°c.. The Density Of Aluminum Is 2.70 G/Cm3. What Is The Density In Kg/M3.
From www.numerade.com
SOLVED The density of blood is 1050 kg/m^3. What is the density in g/cm^3? The Density Of Aluminum Is 2.70 G/Cm3. What Is The Density In Kg/M3 The density of aluminum is given as 2.70 g/cm³. Below is a table of units in which density is commonly. 1 use the formula for density, which is defined as density (ρ) = mass (m) / volume (v). The density calculator calculates the volumetric mass density of a substance: Check to ensure that the units cancel properly. Rearranging the formula. The Density Of Aluminum Is 2.70 G/Cm3. What Is The Density In Kg/M3.
From www.toppr.com
An aluminum wire having a crosssectional area equal to 4.00times 10 The Density Of Aluminum Is 2.70 G/Cm3. What Is The Density In Kg/M3 The mass of an object is equal to the product of its density and volume. The density of aluminum is given as 2.70 g/cm³. To find the volume of a given piece of aluminum, we can use the formula: 1 use the formula for density, which is defined as density (ρ) = mass (m) / volume (v). Below is a. The Density Of Aluminum Is 2.70 G/Cm3. What Is The Density In Kg/M3.
From www.youtube.com
Density of Aluminium is 2700 kg/m3. Find the relative density of The Density Of Aluminum Is 2.70 G/Cm3. What Is The Density In Kg/M3 Check to ensure that the units cancel properly. The density calculator calculates the volumetric mass density of a substance: To convert this to kg/m³, we need to use the conversion factors that 1 kg = 1000 g. The density of aluminum is given as 2.70 g/cm³. 1 use the formula for density, which is defined as density (ρ) = mass. The Density Of Aluminum Is 2.70 G/Cm3. What Is The Density In Kg/M3.
From www.chegg.com
Solved The density of some metal was reported as 13.6 g/cm3, The Density Of Aluminum Is 2.70 G/Cm3. What Is The Density In Kg/M3 There are exceptions however, such as water's density increasing between 0°c and 4°c. The mass concentrations of a pure substance. Rearranging the formula to solve. To convert this to kg/m³, we need to use the conversion factors that 1 kg = 1000 g. We can rearrange this formula to solve for volume: To find the volume of a given piece. The Density Of Aluminum Is 2.70 G/Cm3. What Is The Density In Kg/M3.
From www.numerade.com
SOLVED An aluminum bar has a density of 2.70 g/cm^3(cubed) and a mass The Density Of Aluminum Is 2.70 G/Cm3. What Is The Density In Kg/M3 The mass of an object is equal to the product of its density and volume. To convert this to kg/m³, we need to use the conversion factors that 1 kg = 1000 g. The density calculator calculates the volumetric mass density of a substance: 1 use the formula for density, which is defined as density (ρ) = mass (m) /. The Density Of Aluminum Is 2.70 G/Cm3. What Is The Density In Kg/M3.
From www.coursehero.com
[Solved] The density of aluminum is 2.20 g/cm^3. What is the volume of The Density Of Aluminum Is 2.70 G/Cm3. What Is The Density In Kg/M3 We can rearrange this formula to solve for volume: Check to ensure that the units cancel properly. The mass concentrations of a pure substance. To find the volume of a given piece of aluminum, we can use the formula: To convert this to kg/m³, we need to use the conversion factors that 1 kg = 1000 g. The density calculator. The Density Of Aluminum Is 2.70 G/Cm3. What Is The Density In Kg/M3.
From www.bartleby.com
Answered Aluminium has a density of 2.70 g/cm3… bartleby The Density Of Aluminum Is 2.70 G/Cm3. What Is The Density In Kg/M3 Rearranging the formula to solve. To convert this to kg/m³, we need to use the conversion factors that 1 kg = 1000 g. The mass concentrations of a pure substance. We can rearrange this formula to solve for volume: To find the volume of a given piece of aluminum, we can use the formula: There are exceptions however, such as. The Density Of Aluminum Is 2.70 G/Cm3. What Is The Density In Kg/M3.
From www.numerade.com
SOLVED The density of osmium is reported to be 22,610 kg/m3. What is The Density Of Aluminum Is 2.70 G/Cm3. What Is The Density In Kg/M3 1 use the formula for density, which is defined as density (ρ) = mass (m) / volume (v). The mass of an object is equal to the product of its density and volume. To find the volume of a given piece of aluminum, we can use the formula: The density calculator calculates the volumetric mass density of a substance: The. The Density Of Aluminum Is 2.70 G/Cm3. What Is The Density In Kg/M3.
From www.coursehero.com
[Solved] Aluminium has a density of 2.70 g/cm3 . How many moles of The Density Of Aluminum Is 2.70 G/Cm3. What Is The Density In Kg/M3 The density of aluminum is given as 2.70 g/cm³. Rearranging the formula to solve. We can rearrange this formula to solve for volume: To convert this to kg/m³, we need to use the conversion factors that 1 kg = 1000 g. The mass concentrations of a pure substance. To find the volume of a given piece of aluminum, we can. The Density Of Aluminum Is 2.70 G/Cm3. What Is The Density In Kg/M3.
From marisolferskane.blogspot.com
The Density of Solid Aluminum Is 2.70 The Density Of Aluminum Is 2.70 G/Cm3. What Is The Density In Kg/M3 Rearranging the formula to solve. 1 use the formula for density, which is defined as density (ρ) = mass (m) / volume (v). To convert this to kg/m³, we need to use the conversion factors that 1 kg = 1000 g. Check to ensure that the units cancel properly. The density calculator calculates the volumetric mass density of a substance:. The Density Of Aluminum Is 2.70 G/Cm3. What Is The Density In Kg/M3.
From www.chegg.com
Solved Your calculated density of aluminum is d=2.79 g/cm3. The Density Of Aluminum Is 2.70 G/Cm3. What Is The Density In Kg/M3 We can rearrange this formula to solve for volume: Below is a table of units in which density is commonly. There are exceptions however, such as water's density increasing between 0°c and 4°c. 1 use the formula for density, which is defined as density (ρ) = mass (m) / volume (v). The density of aluminum is given as 2.70 g/cm³.. The Density Of Aluminum Is 2.70 G/Cm3. What Is The Density In Kg/M3.
From www.youtube.com
Convert the unit of density from SI (Kg/m3) to CGS unit (g/cm3). YouTube The Density Of Aluminum Is 2.70 G/Cm3. What Is The Density In Kg/M3 Rearranging the formula to solve. There are exceptions however, such as water's density increasing between 0°c and 4°c. Check to ensure that the units cancel properly. To find the volume of a given piece of aluminum, we can use the formula: To convert this to kg/m³, we need to use the conversion factors that 1 kg = 1000 g. The. The Density Of Aluminum Is 2.70 G/Cm3. What Is The Density In Kg/M3.
From www.numerade.com
SOLVED Rolls of foil are 308 mm wide and 0.017 mm thick. (The density The Density Of Aluminum Is 2.70 G/Cm3. What Is The Density In Kg/M3 The mass concentrations of a pure substance. To convert this to kg/m³, we need to use the conversion factors that 1 kg = 1000 g. There are exceptions however, such as water's density increasing between 0°c and 4°c. The density calculator calculates the volumetric mass density of a substance: The mass of an object is equal to the product of. The Density Of Aluminum Is 2.70 G/Cm3. What Is The Density In Kg/M3.
From www.numerade.com
SOLVED Good morning, please I need help with this. Determine the The Density Of Aluminum Is 2.70 G/Cm3. What Is The Density In Kg/M3 1 use the formula for density, which is defined as density (ρ) = mass (m) / volume (v). The density of aluminum is given as 2.70 g/cm³. Rearranging the formula to solve. Below is a table of units in which density is commonly. We can rearrange this formula to solve for volume: There are exceptions however, such as water's density. The Density Of Aluminum Is 2.70 G/Cm3. What Is The Density In Kg/M3.
From www.numerade.com
SOLVED Aluminum has a density of 2.70 g/cm3. What quantity in moles of The Density Of Aluminum Is 2.70 G/Cm3. What Is The Density In Kg/M3 The density calculator calculates the volumetric mass density of a substance: Below is a table of units in which density is commonly. To convert this to kg/m³, we need to use the conversion factors that 1 kg = 1000 g. There are exceptions however, such as water's density increasing between 0°c and 4°c. The density of aluminum is given as. The Density Of Aluminum Is 2.70 G/Cm3. What Is The Density In Kg/M3.
From brainly.com
Metal Density (g/cm3) Aluminum 2.70 Zinc 7.13 Iron 7.87 Copper 8.96 6 The Density Of Aluminum Is 2.70 G/Cm3. What Is The Density In Kg/M3 There are exceptions however, such as water's density increasing between 0°c and 4°c. The mass of an object is equal to the product of its density and volume. We can rearrange this formula to solve for volume: The density of aluminum is given as 2.70 g/cm³. To convert this to kg/m³, we need to use the conversion factors that 1. The Density Of Aluminum Is 2.70 G/Cm3. What Is The Density In Kg/M3.
From brainly.in
The mass of 5 litre of water is 5kg . find the density of water in g The Density Of Aluminum Is 2.70 G/Cm3. What Is The Density In Kg/M3 Check to ensure that the units cancel properly. The density calculator calculates the volumetric mass density of a substance: To find the volume of a given piece of aluminum, we can use the formula: The mass concentrations of a pure substance. Below is a table of units in which density is commonly. We can rearrange this formula to solve for. The Density Of Aluminum Is 2.70 G/Cm3. What Is The Density In Kg/M3.
From www.coursehero.com
[Solved] Aluminium has a density of 2.70 g/cm3 . How many moles of The Density Of Aluminum Is 2.70 G/Cm3. What Is The Density In Kg/M3 Below is a table of units in which density is commonly. 1 use the formula for density, which is defined as density (ρ) = mass (m) / volume (v). Check to ensure that the units cancel properly. To find the volume of a given piece of aluminum, we can use the formula: The density of aluminum is given as 2.70. The Density Of Aluminum Is 2.70 G/Cm3. What Is The Density In Kg/M3.
From www.numerade.com
SOLVEDAluminum metal crystallizes with a facecentered cubic unit cell The Density Of Aluminum Is 2.70 G/Cm3. What Is The Density In Kg/M3 Check to ensure that the units cancel properly. We can rearrange this formula to solve for volume: 1 use the formula for density, which is defined as density (ρ) = mass (m) / volume (v). The mass of an object is equal to the product of its density and volume. To convert this to kg/m³, we need to use the. The Density Of Aluminum Is 2.70 G/Cm3. What Is The Density In Kg/M3.
From brainly.com
Aluminum has a density of 2.70 g/cm^3. How Many moles of aluminum are The Density Of Aluminum Is 2.70 G/Cm3. What Is The Density In Kg/M3 We can rearrange this formula to solve for volume: Check to ensure that the units cancel properly. To find the volume of a given piece of aluminum, we can use the formula: To convert this to kg/m³, we need to use the conversion factors that 1 kg = 1000 g. The density of aluminum is given as 2.70 g/cm³. The. The Density Of Aluminum Is 2.70 G/Cm3. What Is The Density In Kg/M3.
From ingrid-kmoore.blogspot.com
Aluminum Has a Density of 2.7 G Cm3 The Density Of Aluminum Is 2.70 G/Cm3. What Is The Density In Kg/M3 There are exceptions however, such as water's density increasing between 0°c and 4°c. The mass of an object is equal to the product of its density and volume. The density of aluminum is given as 2.70 g/cm³. Below is a table of units in which density is commonly. The mass concentrations of a pure substance. Rearranging the formula to solve.. The Density Of Aluminum Is 2.70 G/Cm3. What Is The Density In Kg/M3.
From seathertechnology.com
What is the Density of Aluminum Alloy? The Density Of Aluminum Is 2.70 G/Cm3. What Is The Density In Kg/M3 The mass of an object is equal to the product of its density and volume. To convert this to kg/m³, we need to use the conversion factors that 1 kg = 1000 g. The density calculator calculates the volumetric mass density of a substance: We can rearrange this formula to solve for volume: There are exceptions however, such as water's. The Density Of Aluminum Is 2.70 G/Cm3. What Is The Density In Kg/M3.
From www.toppr.com
The density of iron is 7.87 g/cm^3. If the atoms are spherical and The Density Of Aluminum Is 2.70 G/Cm3. What Is The Density In Kg/M3 The density of aluminum is given as 2.70 g/cm³. The density calculator calculates the volumetric mass density of a substance: Check to ensure that the units cancel properly. We can rearrange this formula to solve for volume: 1 use the formula for density, which is defined as density (ρ) = mass (m) / volume (v). To convert this to kg/m³,. The Density Of Aluminum Is 2.70 G/Cm3. What Is The Density In Kg/M3.
From www.chegg.com
Solved 12. A piece of aluminum has density 2.70 g/cm2 and The Density Of Aluminum Is 2.70 G/Cm3. What Is The Density In Kg/M3 To convert this to kg/m³, we need to use the conversion factors that 1 kg = 1000 g. We can rearrange this formula to solve for volume: There are exceptions however, such as water's density increasing between 0°c and 4°c. The mass concentrations of a pure substance. Rearranging the formula to solve. Below is a table of units in which. The Density Of Aluminum Is 2.70 G/Cm3. What Is The Density In Kg/M3.
From brainly.com
(b) The density of aluminum is 2.70 g/cm3. The thickness of a The Density Of Aluminum Is 2.70 G/Cm3. What Is The Density In Kg/M3 The mass concentrations of a pure substance. To convert this to kg/m³, we need to use the conversion factors that 1 kg = 1000 g. To find the volume of a given piece of aluminum, we can use the formula: Check to ensure that the units cancel properly. 1 use the formula for density, which is defined as density (ρ). The Density Of Aluminum Is 2.70 G/Cm3. What Is The Density In Kg/M3.
From www.numerade.com
SOLVED(a) What is the mass of a silver cube whose edges measure 2.00 The Density Of Aluminum Is 2.70 G/Cm3. What Is The Density In Kg/M3 1 use the formula for density, which is defined as density (ρ) = mass (m) / volume (v). We can rearrange this formula to solve for volume: The mass concentrations of a pure substance. The density calculator calculates the volumetric mass density of a substance: Rearranging the formula to solve. The mass of an object is equal to the product. The Density Of Aluminum Is 2.70 G/Cm3. What Is The Density In Kg/M3.
From www.chegg.com
Solved 8. The density of aluminum is 2.70 g/cm'. For a block The Density Of Aluminum Is 2.70 G/Cm3. What Is The Density In Kg/M3 Below is a table of units in which density is commonly. To convert this to kg/m³, we need to use the conversion factors that 1 kg = 1000 g. The density calculator calculates the volumetric mass density of a substance: The mass of an object is equal to the product of its density and volume. We can rearrange this formula. The Density Of Aluminum Is 2.70 G/Cm3. What Is The Density In Kg/M3.
From dinosenglish.edu.vn
Álbumes 92+ Foto 1000 Kg/m3 A G/cm3 El último The Density Of Aluminum Is 2.70 G/Cm3. What Is The Density In Kg/M3 Below is a table of units in which density is commonly. Rearranging the formula to solve. The mass concentrations of a pure substance. 1 use the formula for density, which is defined as density (ρ) = mass (m) / volume (v). The density of aluminum is given as 2.70 g/cm³. To find the volume of a given piece of aluminum,. The Density Of Aluminum Is 2.70 G/Cm3. What Is The Density In Kg/M3.
From www.numerade.com
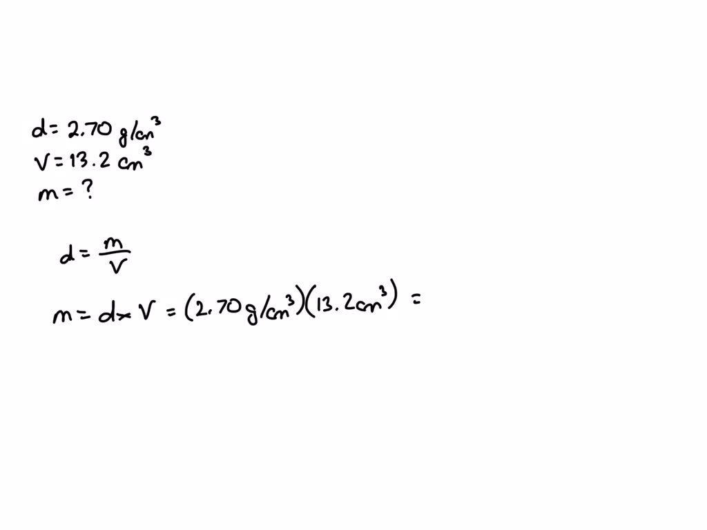
Aluminum has a density of 2.70 g/mL. Calculate the mass (in grams) of a The Density Of Aluminum Is 2.70 G/Cm3. What Is The Density In Kg/M3 The density of aluminum is given as 2.70 g/cm³. The mass of an object is equal to the product of its density and volume. 1 use the formula for density, which is defined as density (ρ) = mass (m) / volume (v). Below is a table of units in which density is commonly. To convert this to kg/m³, we need. The Density Of Aluminum Is 2.70 G/Cm3. What Is The Density In Kg/M3.
From www.chegg.com
Solved un 1 point If the density of aluminum metal is 2.70 The Density Of Aluminum Is 2.70 G/Cm3. What Is The Density In Kg/M3 Below is a table of units in which density is commonly. To convert this to kg/m³, we need to use the conversion factors that 1 kg = 1000 g. We can rearrange this formula to solve for volume: Check to ensure that the units cancel properly. To find the volume of a given piece of aluminum, we can use the. The Density Of Aluminum Is 2.70 G/Cm3. What Is The Density In Kg/M3.
From www.chegg.com
Solved The density of aluminum is 2.70 g/cm cubed. What The Density Of Aluminum Is 2.70 G/Cm3. What Is The Density In Kg/M3 The density of aluminum is given as 2.70 g/cm³. Below is a table of units in which density is commonly. Check to ensure that the units cancel properly. The density calculator calculates the volumetric mass density of a substance: Rearranging the formula to solve. 1 use the formula for density, which is defined as density (ρ) = mass (m) /. The Density Of Aluminum Is 2.70 G/Cm3. What Is The Density In Kg/M3.