Tin Catalysts Chemistry . A substance containing tin while performing a catalytic function is called a tin catalyst. At these novel nanostructured tin catalysts, co 2 reduction occurs selectively to formate at overpotentials as low as ∼340 mv. Simple impregnation of au and pd metal salts onto many catalyst supports has been shown to generate highly active catalysts for direct h 2 o 2 synthesis. In aqueous nahco 3 solutions, maximum faradaic. Tin is a silvery metal that has a low melting point. Antimony dopants in tin oxide (sno 2:sb) occupy part of the sn sites in the crystal lattice to be dispersed at an atomic level. The transformation of renewable feedstocks to chemicals, polymers and energy vectors is challenging especially where. The resulting generation of conduction band electrons gives rise to high.
from pubs.rsc.org
Tin is a silvery metal that has a low melting point. Simple impregnation of au and pd metal salts onto many catalyst supports has been shown to generate highly active catalysts for direct h 2 o 2 synthesis. At these novel nanostructured tin catalysts, co 2 reduction occurs selectively to formate at overpotentials as low as ∼340 mv. In aqueous nahco 3 solutions, maximum faradaic. The resulting generation of conduction band electrons gives rise to high. Antimony dopants in tin oxide (sno 2:sb) occupy part of the sn sites in the crystal lattice to be dispersed at an atomic level. The transformation of renewable feedstocks to chemicals, polymers and energy vectors is challenging especially where. A substance containing tin while performing a catalytic function is called a tin catalyst.
Transition metalbased catalysts for the electrochemical CO 2 reduction
Tin Catalysts Chemistry The transformation of renewable feedstocks to chemicals, polymers and energy vectors is challenging especially where. Tin is a silvery metal that has a low melting point. At these novel nanostructured tin catalysts, co 2 reduction occurs selectively to formate at overpotentials as low as ∼340 mv. The transformation of renewable feedstocks to chemicals, polymers and energy vectors is challenging especially where. The resulting generation of conduction band electrons gives rise to high. A substance containing tin while performing a catalytic function is called a tin catalyst. In aqueous nahco 3 solutions, maximum faradaic. Simple impregnation of au and pd metal salts onto many catalyst supports has been shown to generate highly active catalysts for direct h 2 o 2 synthesis. Antimony dopants in tin oxide (sno 2:sb) occupy part of the sn sites in the crystal lattice to be dispersed at an atomic level.
From www.slideserve.com
PPT Transition metals catalysts PowerPoint Presentation, free Tin Catalysts Chemistry In aqueous nahco 3 solutions, maximum faradaic. The transformation of renewable feedstocks to chemicals, polymers and energy vectors is challenging especially where. The resulting generation of conduction band electrons gives rise to high. Tin is a silvery metal that has a low melting point. Antimony dopants in tin oxide (sno 2:sb) occupy part of the sn sites in the crystal. Tin Catalysts Chemistry.
From www.mdpi.com
Catalysts Free FullText CopperBased Frameworks Tin Catalysts Chemistry The transformation of renewable feedstocks to chemicals, polymers and energy vectors is challenging especially where. In aqueous nahco 3 solutions, maximum faradaic. Antimony dopants in tin oxide (sno 2:sb) occupy part of the sn sites in the crystal lattice to be dispersed at an atomic level. At these novel nanostructured tin catalysts, co 2 reduction occurs selectively to formate at. Tin Catalysts Chemistry.
From scitechdaily.com
Science Made Simple What Are Catalysts? Tin Catalysts Chemistry Simple impregnation of au and pd metal salts onto many catalyst supports has been shown to generate highly active catalysts for direct h 2 o 2 synthesis. At these novel nanostructured tin catalysts, co 2 reduction occurs selectively to formate at overpotentials as low as ∼340 mv. A substance containing tin while performing a catalytic function is called a tin. Tin Catalysts Chemistry.
From klamsflsd.blob.core.windows.net
Catalyst Change A Reaction at Rebecca Miller blog Tin Catalysts Chemistry In aqueous nahco 3 solutions, maximum faradaic. A substance containing tin while performing a catalytic function is called a tin catalyst. Simple impregnation of au and pd metal salts onto many catalyst supports has been shown to generate highly active catalysts for direct h 2 o 2 synthesis. Antimony dopants in tin oxide (sno 2:sb) occupy part of the sn. Tin Catalysts Chemistry.
From cekhlmxt.blob.core.windows.net
Catalysts Chemical Process at Edna Vincent blog Tin Catalysts Chemistry The transformation of renewable feedstocks to chemicals, polymers and energy vectors is challenging especially where. At these novel nanostructured tin catalysts, co 2 reduction occurs selectively to formate at overpotentials as low as ∼340 mv. Tin is a silvery metal that has a low melting point. A substance containing tin while performing a catalytic function is called a tin catalyst.. Tin Catalysts Chemistry.
From www.researchgate.net
1 Schematic illustration of a catalytic process showing "A" and "B Tin Catalysts Chemistry In aqueous nahco 3 solutions, maximum faradaic. Simple impregnation of au and pd metal salts onto many catalyst supports has been shown to generate highly active catalysts for direct h 2 o 2 synthesis. A substance containing tin while performing a catalytic function is called a tin catalyst. The resulting generation of conduction band electrons gives rise to high. Antimony. Tin Catalysts Chemistry.
From www.rimochemicals.com
Tin Catalyst Tin Catalysts Chemistry The resulting generation of conduction band electrons gives rise to high. Simple impregnation of au and pd metal salts onto many catalyst supports has been shown to generate highly active catalysts for direct h 2 o 2 synthesis. The transformation of renewable feedstocks to chemicals, polymers and energy vectors is challenging especially where. A substance containing tin while performing a. Tin Catalysts Chemistry.
From chemistrycommunity.nature.com
A Strategy for Preparation of Highly Active Enzymemetal Hybrid Tin Catalysts Chemistry A substance containing tin while performing a catalytic function is called a tin catalyst. The resulting generation of conduction band electrons gives rise to high. The transformation of renewable feedstocks to chemicals, polymers and energy vectors is challenging especially where. Simple impregnation of au and pd metal salts onto many catalyst supports has been shown to generate highly active catalysts. Tin Catalysts Chemistry.
From phys.org
Researchers help show new way to study and improve catalytic reactions Tin Catalysts Chemistry In aqueous nahco 3 solutions, maximum faradaic. Tin is a silvery metal that has a low melting point. A substance containing tin while performing a catalytic function is called a tin catalyst. At these novel nanostructured tin catalysts, co 2 reduction occurs selectively to formate at overpotentials as low as ∼340 mv. Antimony dopants in tin oxide (sno 2:sb) occupy. Tin Catalysts Chemistry.
From pubs.rsc.org
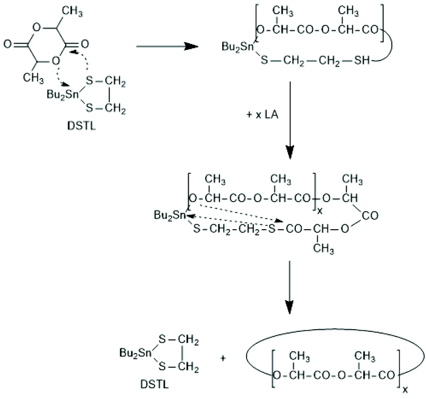
Syntheses of polylactides by means of tin catalysts Polymer Chemistry Tin Catalysts Chemistry Antimony dopants in tin oxide (sno 2:sb) occupy part of the sn sites in the crystal lattice to be dispersed at an atomic level. At these novel nanostructured tin catalysts, co 2 reduction occurs selectively to formate at overpotentials as low as ∼340 mv. Simple impregnation of au and pd metal salts onto many catalyst supports has been shown to. Tin Catalysts Chemistry.
From pubs.acs.org
AntimonyDoped Tin Oxide Catalysts for Green and Sustainable Chemistry Tin Catalysts Chemistry The transformation of renewable feedstocks to chemicals, polymers and energy vectors is challenging especially where. Tin is a silvery metal that has a low melting point. Simple impregnation of au and pd metal salts onto many catalyst supports has been shown to generate highly active catalysts for direct h 2 o 2 synthesis. The resulting generation of conduction band electrons. Tin Catalysts Chemistry.
From www.chemistrystudent.com
Catalysts (ALevel) ChemistryStudent Tin Catalysts Chemistry The transformation of renewable feedstocks to chemicals, polymers and energy vectors is challenging especially where. Antimony dopants in tin oxide (sno 2:sb) occupy part of the sn sites in the crystal lattice to be dispersed at an atomic level. Simple impregnation of au and pd metal salts onto many catalyst supports has been shown to generate highly active catalysts for. Tin Catalysts Chemistry.
From www.mdpi.com
Catalysts Free FullText Indium TinOxide Wrapped 3D rGO and TiO2 Tin Catalysts Chemistry Simple impregnation of au and pd metal salts onto many catalyst supports has been shown to generate highly active catalysts for direct h 2 o 2 synthesis. A substance containing tin while performing a catalytic function is called a tin catalyst. Tin is a silvery metal that has a low melting point. The transformation of renewable feedstocks to chemicals, polymers. Tin Catalysts Chemistry.
From news.virginia.edu
University of Virginia Researchers Uncover New Catalysis Site UVA Today Tin Catalysts Chemistry The resulting generation of conduction band electrons gives rise to high. At these novel nanostructured tin catalysts, co 2 reduction occurs selectively to formate at overpotentials as low as ∼340 mv. A substance containing tin while performing a catalytic function is called a tin catalyst. In aqueous nahco 3 solutions, maximum faradaic. Simple impregnation of au and pd metal salts. Tin Catalysts Chemistry.
From www.mdpi.com
Applied Sciences Free FullText Noble MetalBased Heterogeneous Tin Catalysts Chemistry The resulting generation of conduction band electrons gives rise to high. At these novel nanostructured tin catalysts, co 2 reduction occurs selectively to formate at overpotentials as low as ∼340 mv. Antimony dopants in tin oxide (sno 2:sb) occupy part of the sn sites in the crystal lattice to be dispersed at an atomic level. The transformation of renewable feedstocks. Tin Catalysts Chemistry.
From pubs.acs.org
Frameworks as Catalysts for Organic Synthesis A Critical Tin Catalysts Chemistry Antimony dopants in tin oxide (sno 2:sb) occupy part of the sn sites in the crystal lattice to be dispersed at an atomic level. The transformation of renewable feedstocks to chemicals, polymers and energy vectors is challenging especially where. Tin is a silvery metal that has a low melting point. In aqueous nahco 3 solutions, maximum faradaic. The resulting generation. Tin Catalysts Chemistry.
From donnelly.chemistry.unimelb.edu.au
Metal Complexes as Catalysts in Organic Synthesis Donnelly Research Group Tin Catalysts Chemistry Antimony dopants in tin oxide (sno 2:sb) occupy part of the sn sites in the crystal lattice to be dispersed at an atomic level. In aqueous nahco 3 solutions, maximum faradaic. At these novel nanostructured tin catalysts, co 2 reduction occurs selectively to formate at overpotentials as low as ∼340 mv. A substance containing tin while performing a catalytic function. Tin Catalysts Chemistry.
From icons.cns.umass.edu
Affordable and Accessible Technique for Characterizing Metal Catalysts Tin Catalysts Chemistry Antimony dopants in tin oxide (sno 2:sb) occupy part of the sn sites in the crystal lattice to be dispersed at an atomic level. Simple impregnation of au and pd metal salts onto many catalyst supports has been shown to generate highly active catalysts for direct h 2 o 2 synthesis. In aqueous nahco 3 solutions, maximum faradaic. The transformation. Tin Catalysts Chemistry.
From chem.unc.edu
Free Energy Dependencies for Interfacial Electron Transfer from Tin Tin Catalysts Chemistry The resulting generation of conduction band electrons gives rise to high. At these novel nanostructured tin catalysts, co 2 reduction occurs selectively to formate at overpotentials as low as ∼340 mv. A substance containing tin while performing a catalytic function is called a tin catalyst. Tin is a silvery metal that has a low melting point. The transformation of renewable. Tin Catalysts Chemistry.
From pubs.acs.org
Bimetallic Sites for Catalysis From Binuclear Metal Sites to Tin Catalysts Chemistry Tin is a silvery metal that has a low melting point. Antimony dopants in tin oxide (sno 2:sb) occupy part of the sn sites in the crystal lattice to be dispersed at an atomic level. The resulting generation of conduction band electrons gives rise to high. The transformation of renewable feedstocks to chemicals, polymers and energy vectors is challenging especially. Tin Catalysts Chemistry.
From www.researchgate.net
Catalytic processes on a solid catalyst. Download Scientific Diagram Tin Catalysts Chemistry The resulting generation of conduction band electrons gives rise to high. Simple impregnation of au and pd metal salts onto many catalyst supports has been shown to generate highly active catalysts for direct h 2 o 2 synthesis. Antimony dopants in tin oxide (sno 2:sb) occupy part of the sn sites in the crystal lattice to be dispersed at an. Tin Catalysts Chemistry.
From chem.unc.edu
Molecular Catalysts Department of Chemistry Tin Catalysts Chemistry In aqueous nahco 3 solutions, maximum faradaic. A substance containing tin while performing a catalytic function is called a tin catalyst. Antimony dopants in tin oxide (sno 2:sb) occupy part of the sn sites in the crystal lattice to be dispersed at an atomic level. Tin is a silvery metal that has a low melting point. Simple impregnation of au. Tin Catalysts Chemistry.
From www.mdpi.com
Catalysts Free FullText CopperCeriumTin Oxide Catalysts for Tin Catalysts Chemistry A substance containing tin while performing a catalytic function is called a tin catalyst. The transformation of renewable feedstocks to chemicals, polymers and energy vectors is challenging especially where. Antimony dopants in tin oxide (sno 2:sb) occupy part of the sn sites in the crystal lattice to be dispersed at an atomic level. Simple impregnation of au and pd metal. Tin Catalysts Chemistry.
From chemistry-europe.onlinelibrary.wiley.com
Tin Active Sites Confined in Zeolite Framework as a Promising Shape Tin Catalysts Chemistry In aqueous nahco 3 solutions, maximum faradaic. A substance containing tin while performing a catalytic function is called a tin catalyst. At these novel nanostructured tin catalysts, co 2 reduction occurs selectively to formate at overpotentials as low as ∼340 mv. The transformation of renewable feedstocks to chemicals, polymers and energy vectors is challenging especially where. Simple impregnation of au. Tin Catalysts Chemistry.
From www.cademix.org
Applications of Heterogeneous Catalysis in Industry Tin Catalysts Chemistry A substance containing tin while performing a catalytic function is called a tin catalyst. The resulting generation of conduction band electrons gives rise to high. At these novel nanostructured tin catalysts, co 2 reduction occurs selectively to formate at overpotentials as low as ∼340 mv. Antimony dopants in tin oxide (sno 2:sb) occupy part of the sn sites in the. Tin Catalysts Chemistry.
From pubs.rsc.org
Transition metalbased catalysts for the electrochemical CO 2 reduction Tin Catalysts Chemistry At these novel nanostructured tin catalysts, co 2 reduction occurs selectively to formate at overpotentials as low as ∼340 mv. The resulting generation of conduction band electrons gives rise to high. Antimony dopants in tin oxide (sno 2:sb) occupy part of the sn sites in the crystal lattice to be dispersed at an atomic level. Simple impregnation of au and. Tin Catalysts Chemistry.
From www.researchgate.net
Commonly Used Types of Catalysts and Their Range of Use Download Tin Catalysts Chemistry The transformation of renewable feedstocks to chemicals, polymers and energy vectors is challenging especially where. Simple impregnation of au and pd metal salts onto many catalyst supports has been shown to generate highly active catalysts for direct h 2 o 2 synthesis. At these novel nanostructured tin catalysts, co 2 reduction occurs selectively to formate at overpotentials as low as. Tin Catalysts Chemistry.
From pubs.rsc.org
Syntheses of polylactides by means of tin catalysts Polymer Chemistry Tin Catalysts Chemistry Simple impregnation of au and pd metal salts onto many catalyst supports has been shown to generate highly active catalysts for direct h 2 o 2 synthesis. In aqueous nahco 3 solutions, maximum faradaic. The transformation of renewable feedstocks to chemicals, polymers and energy vectors is challenging especially where. Tin is a silvery metal that has a low melting point.. Tin Catalysts Chemistry.
From hsdebang.en.made-in-china.com
TinBased Powder Coating Chemical Catalyst Tp71 China Flowing Agent Tin Catalysts Chemistry The transformation of renewable feedstocks to chemicals, polymers and energy vectors is challenging especially where. Antimony dopants in tin oxide (sno 2:sb) occupy part of the sn sites in the crystal lattice to be dispersed at an atomic level. In aqueous nahco 3 solutions, maximum faradaic. The resulting generation of conduction band electrons gives rise to high. Simple impregnation of. Tin Catalysts Chemistry.
From www.mdpi.com
Catalysts Free FullText Recent Advances in Noble Metal Catalysts Tin Catalysts Chemistry At these novel nanostructured tin catalysts, co 2 reduction occurs selectively to formate at overpotentials as low as ∼340 mv. Simple impregnation of au and pd metal salts onto many catalyst supports has been shown to generate highly active catalysts for direct h 2 o 2 synthesis. The resulting generation of conduction band electrons gives rise to high. The transformation. Tin Catalysts Chemistry.
From www.researchgate.net
Synthetic methods for preparation of carbonbased singleatom metal Tin Catalysts Chemistry A substance containing tin while performing a catalytic function is called a tin catalyst. The resulting generation of conduction band electrons gives rise to high. Antimony dopants in tin oxide (sno 2:sb) occupy part of the sn sites in the crystal lattice to be dispersed at an atomic level. In aqueous nahco 3 solutions, maximum faradaic. Simple impregnation of au. Tin Catalysts Chemistry.
From en.nsrl.ustc.edu.cn
Synthesis and Catalytic Performance of Transition Metal Catalysts Tin Catalysts Chemistry Antimony dopants in tin oxide (sno 2:sb) occupy part of the sn sites in the crystal lattice to be dispersed at an atomic level. A substance containing tin while performing a catalytic function is called a tin catalyst. At these novel nanostructured tin catalysts, co 2 reduction occurs selectively to formate at overpotentials as low as ∼340 mv. In aqueous. Tin Catalysts Chemistry.
From scitechdaily.com
Optimizing Noble Metal Catalysts With Clusters of Atoms to Enhance Tin Catalysts Chemistry In aqueous nahco 3 solutions, maximum faradaic. A substance containing tin while performing a catalytic function is called a tin catalyst. Antimony dopants in tin oxide (sno 2:sb) occupy part of the sn sites in the crystal lattice to be dispersed at an atomic level. The resulting generation of conduction band electrons gives rise to high. Tin is a silvery. Tin Catalysts Chemistry.
From www.researchgate.net
2. List of Catalysts Tested and Corresponding Labels Download Table Tin Catalysts Chemistry At these novel nanostructured tin catalysts, co 2 reduction occurs selectively to formate at overpotentials as low as ∼340 mv. A substance containing tin while performing a catalytic function is called a tin catalyst. The transformation of renewable feedstocks to chemicals, polymers and energy vectors is challenging especially where. In aqueous nahco 3 solutions, maximum faradaic. The resulting generation of. Tin Catalysts Chemistry.
From www.mdpi.com
Catalysts Free FullText Tunable LateTransitionMetalCatalyzed Tin Catalysts Chemistry Tin is a silvery metal that has a low melting point. A substance containing tin while performing a catalytic function is called a tin catalyst. In aqueous nahco 3 solutions, maximum faradaic. The transformation of renewable feedstocks to chemicals, polymers and energy vectors is challenging especially where. The resulting generation of conduction band electrons gives rise to high. Simple impregnation. Tin Catalysts Chemistry.