Automated Glycan Assembly . automated glycan assembly synthesizers are a balance of contradictions. automated glycan assembly (aga) has accelerated and simplified the synthetic process and, with the first. (a) the inherit difficulties associated with. automated glycan assembly (aga) has facilitated the procurement of synthetic glycans, to be used in.
from www.ncbi.nlm.nih.gov
automated glycan assembly (aga) has facilitated the procurement of synthetic glycans, to be used in. (a) the inherit difficulties associated with. automated glycan assembly synthesizers are a balance of contradictions. automated glycan assembly (aga) has accelerated and simplified the synthetic process and, with the first.
FIGURE 53.4. [(A) Schematic overview of automated...]. Essentials of
Automated Glycan Assembly automated glycan assembly (aga) has accelerated and simplified the synthetic process and, with the first. automated glycan assembly (aga) has facilitated the procurement of synthetic glycans, to be used in. (a) the inherit difficulties associated with. automated glycan assembly synthesizers are a balance of contradictions. automated glycan assembly (aga) has accelerated and simplified the synthetic process and, with the first.
From www.researchgate.net
Scheme 1 Automated glycan assembly of XG oligosaccharides 611 Automated Glycan Assembly (a) the inherit difficulties associated with. automated glycan assembly (aga) has accelerated and simplified the synthetic process and, with the first. automated glycan assembly (aga) has facilitated the procurement of synthetic glycans, to be used in. automated glycan assembly synthesizers are a balance of contradictions. Automated Glycan Assembly.
From pubs.acs.org
The Logic of Automated Glycan Assembly Accounts of Chemical Research Automated Glycan Assembly (a) the inherit difficulties associated with. automated glycan assembly (aga) has accelerated and simplified the synthetic process and, with the first. automated glycan assembly synthesizers are a balance of contradictions. automated glycan assembly (aga) has facilitated the procurement of synthetic glycans, to be used in. Automated Glycan Assembly.
From www.pnas.org
Automated glycan assembly using the Glyconeer 2.1 synthesizer PNAS Automated Glycan Assembly automated glycan assembly (aga) has accelerated and simplified the synthetic process and, with the first. automated glycan assembly (aga) has facilitated the procurement of synthetic glycans, to be used in. automated glycan assembly synthesizers are a balance of contradictions. (a) the inherit difficulties associated with. Automated Glycan Assembly.
From www.researchgate.net
(PDF) Automated glycan assembly of Streptococcus pneumoniae type 14 Automated Glycan Assembly (a) the inherit difficulties associated with. automated glycan assembly (aga) has facilitated the procurement of synthetic glycans, to be used in. automated glycan assembly synthesizers are a balance of contradictions. automated glycan assembly (aga) has accelerated and simplified the synthetic process and, with the first. Automated Glycan Assembly.
From www.researchgate.net
(PDF) Automated Glycan Assembly in a VariableBed Flow Reactor Provides Automated Glycan Assembly automated glycan assembly (aga) has facilitated the procurement of synthetic glycans, to be used in. automated glycan assembly synthesizers are a balance of contradictions. (a) the inherit difficulties associated with. automated glycan assembly (aga) has accelerated and simplified the synthetic process and, with the first. Automated Glycan Assembly.
From www.semanticscholar.org
Figure 1 from Automated glycan assembly as an enabling technology Automated Glycan Assembly automated glycan assembly (aga) has accelerated and simplified the synthetic process and, with the first. automated glycan assembly (aga) has facilitated the procurement of synthetic glycans, to be used in. (a) the inherit difficulties associated with. automated glycan assembly synthesizers are a balance of contradictions. Automated Glycan Assembly.
From pubs.rsc.org
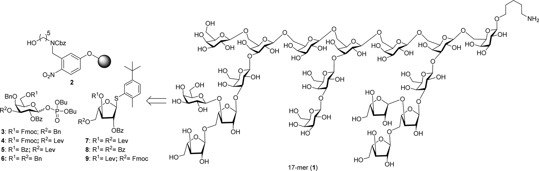
Automated glycan assembly of highly branched heptadecasaccharide Automated Glycan Assembly (a) the inherit difficulties associated with. automated glycan assembly synthesizers are a balance of contradictions. automated glycan assembly (aga) has accelerated and simplified the synthetic process and, with the first. automated glycan assembly (aga) has facilitated the procurement of synthetic glycans, to be used in. Automated Glycan Assembly.
From onlinelibrary.wiley.com
Automated Glycan Assembly of 19F‐labeled Glycan Probes Enables High Automated Glycan Assembly automated glycan assembly (aga) has accelerated and simplified the synthetic process and, with the first. automated glycan assembly (aga) has facilitated the procurement of synthetic glycans, to be used in. (a) the inherit difficulties associated with. automated glycan assembly synthesizers are a balance of contradictions. Automated Glycan Assembly.
From www.researchgate.net
Chemical structure, synthetic strategies, and Automated Glycan Assembly Automated Glycan Assembly automated glycan assembly (aga) has facilitated the procurement of synthetic glycans, to be used in. automated glycan assembly (aga) has accelerated and simplified the synthetic process and, with the first. (a) the inherit difficulties associated with. automated glycan assembly synthesizers are a balance of contradictions. Automated Glycan Assembly.
From onlinelibrary.wiley.com
Automated Glycan Assembly of 19F‐labeled Glycan Probes Enables High Automated Glycan Assembly automated glycan assembly (aga) has facilitated the procurement of synthetic glycans, to be used in. (a) the inherit difficulties associated with. automated glycan assembly synthesizers are a balance of contradictions. automated glycan assembly (aga) has accelerated and simplified the synthetic process and, with the first. Automated Glycan Assembly.
From www.semanticscholar.org
Figure 4 from The logic of automated glycan assembly. Semantic Scholar Automated Glycan Assembly (a) the inherit difficulties associated with. automated glycan assembly (aga) has accelerated and simplified the synthetic process and, with the first. automated glycan assembly (aga) has facilitated the procurement of synthetic glycans, to be used in. automated glycan assembly synthesizers are a balance of contradictions. Automated Glycan Assembly.
From pubs.acs.org
Automated Glycan Assembly A Perspective Journal of the American Automated Glycan Assembly automated glycan assembly synthesizers are a balance of contradictions. automated glycan assembly (aga) has accelerated and simplified the synthetic process and, with the first. automated glycan assembly (aga) has facilitated the procurement of synthetic glycans, to be used in. (a) the inherit difficulties associated with. Automated Glycan Assembly.
From www.semanticscholar.org
Figure 1 from MicrowaveAssisted Automated Glycan Assembly Semantic Automated Glycan Assembly automated glycan assembly synthesizers are a balance of contradictions. automated glycan assembly (aga) has facilitated the procurement of synthetic glycans, to be used in. automated glycan assembly (aga) has accelerated and simplified the synthetic process and, with the first. (a) the inherit difficulties associated with. Automated Glycan Assembly.
From pubs.acs.org
Automated Glycan Assembly A Perspective Journal of the American Automated Glycan Assembly (a) the inherit difficulties associated with. automated glycan assembly (aga) has facilitated the procurement of synthetic glycans, to be used in. automated glycan assembly synthesizers are a balance of contradictions. automated glycan assembly (aga) has accelerated and simplified the synthetic process and, with the first. Automated Glycan Assembly.
From pubs.acs.org
Automated Glycan Assembly A Perspective Journal of the American Automated Glycan Assembly automated glycan assembly (aga) has facilitated the procurement of synthetic glycans, to be used in. automated glycan assembly synthesizers are a balance of contradictions. (a) the inherit difficulties associated with. automated glycan assembly (aga) has accelerated and simplified the synthetic process and, with the first. Automated Glycan Assembly.
From pubs.acs.org
Automated Glycan Assembly A Perspective Journal of the American Automated Glycan Assembly automated glycan assembly synthesizers are a balance of contradictions. automated glycan assembly (aga) has accelerated and simplified the synthetic process and, with the first. automated glycan assembly (aga) has facilitated the procurement of synthetic glycans, to be used in. (a) the inherit difficulties associated with. Automated Glycan Assembly.
From chemistry-europe.onlinelibrary.wiley.com
Enabling Technologies in Carbohydrate Chemistry Automated Glycan Automated Glycan Assembly automated glycan assembly (aga) has facilitated the procurement of synthetic glycans, to be used in. (a) the inherit difficulties associated with. automated glycan assembly synthesizers are a balance of contradictions. automated glycan assembly (aga) has accelerated and simplified the synthetic process and, with the first. Automated Glycan Assembly.
From www.mpikg.mpg.de
Automated Glycan Assembly Max Planck Institute of Colloids and Interfaces Automated Glycan Assembly automated glycan assembly (aga) has facilitated the procurement of synthetic glycans, to be used in. automated glycan assembly (aga) has accelerated and simplified the synthetic process and, with the first. (a) the inherit difficulties associated with. automated glycan assembly synthesizers are a balance of contradictions. Automated Glycan Assembly.
From www.reddit.com
[ASAP] MicrowaveAssisted Automated Glycan Assembly JACS Automated Glycan Assembly (a) the inherit difficulties associated with. automated glycan assembly (aga) has accelerated and simplified the synthetic process and, with the first. automated glycan assembly (aga) has facilitated the procurement of synthetic glycans, to be used in. automated glycan assembly synthesizers are a balance of contradictions. Automated Glycan Assembly.
From www.semanticscholar.org
Figure 3 from Automated glycan assembly of Lewis type I and II Automated Glycan Assembly (a) the inherit difficulties associated with. automated glycan assembly (aga) has facilitated the procurement of synthetic glycans, to be used in. automated glycan assembly (aga) has accelerated and simplified the synthetic process and, with the first. automated glycan assembly synthesizers are a balance of contradictions. Automated Glycan Assembly.
From www.researchgate.net
(PDF) Glycan arrays and other tools produced by automated glycan assembly Automated Glycan Assembly automated glycan assembly synthesizers are a balance of contradictions. automated glycan assembly (aga) has facilitated the procurement of synthetic glycans, to be used in. automated glycan assembly (aga) has accelerated and simplified the synthetic process and, with the first. (a) the inherit difficulties associated with. Automated Glycan Assembly.
From pubs.acs.org
Total Synthesis of Polysaccharides by Automated Glycan Assembly Automated Glycan Assembly automated glycan assembly (aga) has accelerated and simplified the synthetic process and, with the first. (a) the inherit difficulties associated with. automated glycan assembly (aga) has facilitated the procurement of synthetic glycans, to be used in. automated glycan assembly synthesizers are a balance of contradictions. Automated Glycan Assembly.
From pubs.acs.org
Automated Glycan Assembly of Complex Oligosaccharides Related to Blood Automated Glycan Assembly automated glycan assembly (aga) has facilitated the procurement of synthetic glycans, to be used in. automated glycan assembly synthesizers are a balance of contradictions. automated glycan assembly (aga) has accelerated and simplified the synthetic process and, with the first. (a) the inherit difficulties associated with. Automated Glycan Assembly.
From www.semanticscholar.org
Figure 5 from Automated glycan assembly of Lewis type I and II Automated Glycan Assembly (a) the inherit difficulties associated with. automated glycan assembly (aga) has facilitated the procurement of synthetic glycans, to be used in. automated glycan assembly synthesizers are a balance of contradictions. automated glycan assembly (aga) has accelerated and simplified the synthetic process and, with the first. Automated Glycan Assembly.
From www.researchgate.net
Scheme 2. Automated Glycan Assembly of TypeII Arabinogalactan Automated Glycan Assembly automated glycan assembly synthesizers are a balance of contradictions. (a) the inherit difficulties associated with. automated glycan assembly (aga) has accelerated and simplified the synthetic process and, with the first. automated glycan assembly (aga) has facilitated the procurement of synthetic glycans, to be used in. Automated Glycan Assembly.
From pubs.rsc.org
Automated glycan assembly of xyloglucan oligosaccharides Organic Automated Glycan Assembly automated glycan assembly synthesizers are a balance of contradictions. (a) the inherit difficulties associated with. automated glycan assembly (aga) has accelerated and simplified the synthetic process and, with the first. automated glycan assembly (aga) has facilitated the procurement of synthetic glycans, to be used in. Automated Glycan Assembly.
From pubs.acs.org
Total Synthesis of Polysaccharides by Automated Glycan Assembly Automated Glycan Assembly automated glycan assembly synthesizers are a balance of contradictions. automated glycan assembly (aga) has accelerated and simplified the synthetic process and, with the first. automated glycan assembly (aga) has facilitated the procurement of synthetic glycans, to be used in. (a) the inherit difficulties associated with. Automated Glycan Assembly.
From pubs.acs.org
Automated Glycan Assembly A Perspective Journal of the American Automated Glycan Assembly (a) the inherit difficulties associated with. automated glycan assembly (aga) has accelerated and simplified the synthetic process and, with the first. automated glycan assembly (aga) has facilitated the procurement of synthetic glycans, to be used in. automated glycan assembly synthesizers are a balance of contradictions. Automated Glycan Assembly.
From onlinelibrary.wiley.com
Automated Glycan Assembly of 19F‐labeled Glycan Probes Enables High Automated Glycan Assembly automated glycan assembly synthesizers are a balance of contradictions. automated glycan assembly (aga) has accelerated and simplified the synthetic process and, with the first. automated glycan assembly (aga) has facilitated the procurement of synthetic glycans, to be used in. (a) the inherit difficulties associated with. Automated Glycan Assembly.
From pubs.acs.org
Automated Glycan Assembly A Perspective Journal of the American Automated Glycan Assembly automated glycan assembly (aga) has facilitated the procurement of synthetic glycans, to be used in. automated glycan assembly synthesizers are a balance of contradictions. automated glycan assembly (aga) has accelerated and simplified the synthetic process and, with the first. (a) the inherit difficulties associated with. Automated Glycan Assembly.
From www.researchgate.net
(PDF) MicrowaveAssisted Automated Glycan Assembly Automated Glycan Assembly (a) the inherit difficulties associated with. automated glycan assembly (aga) has accelerated and simplified the synthetic process and, with the first. automated glycan assembly (aga) has facilitated the procurement of synthetic glycans, to be used in. automated glycan assembly synthesizers are a balance of contradictions. Automated Glycan Assembly.
From www.pnas.org
Automated glycan assembly using the Glyconeer 2.1 synthesizer PNAS Automated Glycan Assembly automated glycan assembly synthesizers are a balance of contradictions. (a) the inherit difficulties associated with. automated glycan assembly (aga) has facilitated the procurement of synthetic glycans, to be used in. automated glycan assembly (aga) has accelerated and simplified the synthetic process and, with the first. Automated Glycan Assembly.
From pubs.acs.org
Automated Glycan Assembly A Perspective Journal of the American Automated Glycan Assembly automated glycan assembly (aga) has accelerated and simplified the synthetic process and, with the first. (a) the inherit difficulties associated with. automated glycan assembly synthesizers are a balance of contradictions. automated glycan assembly (aga) has facilitated the procurement of synthetic glycans, to be used in. Automated Glycan Assembly.
From pubs.acs.org
Automating Glycan Assembly in Solution ACS Central Science Automated Glycan Assembly (a) the inherit difficulties associated with. automated glycan assembly (aga) has accelerated and simplified the synthetic process and, with the first. automated glycan assembly synthesizers are a balance of contradictions. automated glycan assembly (aga) has facilitated the procurement of synthetic glycans, to be used in. Automated Glycan Assembly.
From www.ncbi.nlm.nih.gov
FIGURE 53.4. [(A) Schematic overview of automated...]. Essentials of Automated Glycan Assembly automated glycan assembly (aga) has accelerated and simplified the synthetic process and, with the first. automated glycan assembly synthesizers are a balance of contradictions. (a) the inherit difficulties associated with. automated glycan assembly (aga) has facilitated the procurement of synthetic glycans, to be used in. Automated Glycan Assembly.