Water Is Leaking Out Of An Inverted Conical Tank . Water is leaking out of an inverted conical tank at a rate of 10,000. At the same time water is being pumped into the tank at a. If the water level is rising at a rate of 20 cm/min when the height of the water is 2 m, find the rate (in cm 3 /min) at which water is. In our problem, the volume of water in the tank is changing over time due to leaking and pumping actions. Water is leaking out of an inverted conical tank at a rate of 9,500 cm3/min at the same time that water is being pumped into the. At the same time water is being pumped into the tank at a. By differentiating the volume of the. It is given that the shape of the tank is that of an. Water is leaking out of an inverted conical tank at a rate of $0.0068\,\rm m^3/min$. Determine the expression of the volume of water in the tank:
from www.chegg.com
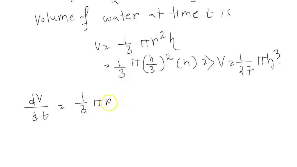
In our problem, the volume of water in the tank is changing over time due to leaking and pumping actions. If the water level is rising at a rate of 20 cm/min when the height of the water is 2 m, find the rate (in cm 3 /min) at which water is. Water is leaking out of an inverted conical tank at a rate of $0.0068\,\rm m^3/min$. Determine the expression of the volume of water in the tank: By differentiating the volume of the. Water is leaking out of an inverted conical tank at a rate of 9,500 cm3/min at the same time that water is being pumped into the. At the same time water is being pumped into the tank at a. At the same time water is being pumped into the tank at a. Water is leaking out of an inverted conical tank at a rate of 10,000. It is given that the shape of the tank is that of an.
Solved Water is leaking out of an inverted conical tank at a
Water Is Leaking Out Of An Inverted Conical Tank Determine the expression of the volume of water in the tank: It is given that the shape of the tank is that of an. Determine the expression of the volume of water in the tank: If the water level is rising at a rate of 20 cm/min when the height of the water is 2 m, find the rate (in cm 3 /min) at which water is. By differentiating the volume of the. Water is leaking out of an inverted conical tank at a rate of 10,000. At the same time water is being pumped into the tank at a. Water is leaking out of an inverted conical tank at a rate of $0.0068\,\rm m^3/min$. Water is leaking out of an inverted conical tank at a rate of 9,500 cm3/min at the same time that water is being pumped into the. In our problem, the volume of water in the tank is changing over time due to leaking and pumping actions. At the same time water is being pumped into the tank at a.
From www.coursehero.com
[Solved] Water is leaking out of an inverted conical tank at a rate Water Is Leaking Out Of An Inverted Conical Tank Water is leaking out of an inverted conical tank at a rate of 10,000. By differentiating the volume of the. Determine the expression of the volume of water in the tank: Water is leaking out of an inverted conical tank at a rate of $0.0068\,\rm m^3/min$. At the same time water is being pumped into the tank at a. If. Water Is Leaking Out Of An Inverted Conical Tank.
From www.vrogue.co
Water Is Leaking Out Of An Inverted Conical Tank A Ca vrogue.co Water Is Leaking Out Of An Inverted Conical Tank Water is leaking out of an inverted conical tank at a rate of 9,500 cm3/min at the same time that water is being pumped into the. By differentiating the volume of the. If the water level is rising at a rate of 20 cm/min when the height of the water is 2 m, find the rate (in cm 3 /min). Water Is Leaking Out Of An Inverted Conical Tank.
From www.vrogue.co
Water Is Leaking Out Of An Inverted Conical Tank A Ca vrogue.co Water Is Leaking Out Of An Inverted Conical Tank Determine the expression of the volume of water in the tank: By differentiating the volume of the. At the same time water is being pumped into the tank at a. Water is leaking out of an inverted conical tank at a rate of 9,500 cm3/min at the same time that water is being pumped into the. At the same time. Water Is Leaking Out Of An Inverted Conical Tank.
From www.chegg.com
Solved Water is leaking out of an inverted conical tank at a Water Is Leaking Out Of An Inverted Conical Tank At the same time water is being pumped into the tank at a. Water is leaking out of an inverted conical tank at a rate of $0.0068\,\rm m^3/min$. At the same time water is being pumped into the tank at a. Water is leaking out of an inverted conical tank at a rate of 9,500 cm3/min at the same time. Water Is Leaking Out Of An Inverted Conical Tank.
From socratic.org
Water is leaking out of an inverted conical tank at the rate of 10 Water Is Leaking Out Of An Inverted Conical Tank Water is leaking out of an inverted conical tank at a rate of 10,000. Determine the expression of the volume of water in the tank: At the same time water is being pumped into the tank at a. If the water level is rising at a rate of 20 cm/min when the height of the water is 2 m, find. Water Is Leaking Out Of An Inverted Conical Tank.
From solvedlib.com
(1) Water is leaking out of an inverted conical tank … SolvedLib Water Is Leaking Out Of An Inverted Conical Tank At the same time water is being pumped into the tank at a. Water is leaking out of an inverted conical tank at a rate of $0.0068\,\rm m^3/min$. If the water level is rising at a rate of 20 cm/min when the height of the water is 2 m, find the rate (in cm 3 /min) at which water is.. Water Is Leaking Out Of An Inverted Conical Tank.
From www.chegg.com
Solved Water is leaking out of an inverted conical tank at a Water Is Leaking Out Of An Inverted Conical Tank Water is leaking out of an inverted conical tank at a rate of $0.0068\,\rm m^3/min$. It is given that the shape of the tank is that of an. At the same time water is being pumped into the tank at a. Water is leaking out of an inverted conical tank at a rate of 10,000. Water is leaking out of. Water Is Leaking Out Of An Inverted Conical Tank.
From www.coursehero.com
[Solved] Water is leaking out of an inverted conical tank at a rate of Water Is Leaking Out Of An Inverted Conical Tank In our problem, the volume of water in the tank is changing over time due to leaking and pumping actions. Water is leaking out of an inverted conical tank at a rate of 10,000. Determine the expression of the volume of water in the tank: Water is leaking out of an inverted conical tank at a rate of $0.0068\,\rm m^3/min$.. Water Is Leaking Out Of An Inverted Conical Tank.
From www.chegg.com
Solved Water is leaking out of an inverted conical tank at a Water Is Leaking Out Of An Inverted Conical Tank It is given that the shape of the tank is that of an. Determine the expression of the volume of water in the tank: At the same time water is being pumped into the tank at a. At the same time water is being pumped into the tank at a. In our problem, the volume of water in the tank. Water Is Leaking Out Of An Inverted Conical Tank.
From www.numerade.com
SOLVEDWater is leaking out of an inverted conical tank at a rate of Water Is Leaking Out Of An Inverted Conical Tank By differentiating the volume of the. Determine the expression of the volume of water in the tank: It is given that the shape of the tank is that of an. If the water level is rising at a rate of 20 cm/min when the height of the water is 2 m, find the rate (in cm 3 /min) at which. Water Is Leaking Out Of An Inverted Conical Tank.
From www.chegg.com
Solved Water is leaking out of an inverted conical tank at a Water Is Leaking Out Of An Inverted Conical Tank By differentiating the volume of the. Water is leaking out of an inverted conical tank at a rate of 9,500 cm3/min at the same time that water is being pumped into the. If the water level is rising at a rate of 20 cm/min when the height of the water is 2 m, find the rate (in cm 3 /min). Water Is Leaking Out Of An Inverted Conical Tank.
From www.chegg.com
Solved Water is leaking out of an inverted conical tank at a Water Is Leaking Out Of An Inverted Conical Tank In our problem, the volume of water in the tank is changing over time due to leaking and pumping actions. Determine the expression of the volume of water in the tank: Water is leaking out of an inverted conical tank at a rate of 10,000. At the same time water is being pumped into the tank at a. By differentiating. Water Is Leaking Out Of An Inverted Conical Tank.
From teachoo.com
Example 43 A water tank has shape of an inverted cone Examples Water Is Leaking Out Of An Inverted Conical Tank Determine the expression of the volume of water in the tank: If the water level is rising at a rate of 20 cm/min when the height of the water is 2 m, find the rate (in cm 3 /min) at which water is. Water is leaking out of an inverted conical tank at a rate of $0.0068\,\rm m^3/min$. Water is. Water Is Leaking Out Of An Inverted Conical Tank.
From www.chegg.com
Solved 2. Water is leaking out of an inverted conical tank Water Is Leaking Out Of An Inverted Conical Tank Water is leaking out of an inverted conical tank at a rate of 10,000. Water is leaking out of an inverted conical tank at a rate of $0.0068\,\rm m^3/min$. Water is leaking out of an inverted conical tank at a rate of 9,500 cm3/min at the same time that water is being pumped into the. At the same time water. Water Is Leaking Out Of An Inverted Conical Tank.
From www.chegg.com
Solved 2. Water is leaking out of an inverted conical tank Water Is Leaking Out Of An Inverted Conical Tank Water is leaking out of an inverted conical tank at a rate of 10,000. In our problem, the volume of water in the tank is changing over time due to leaking and pumping actions. Water is leaking out of an inverted conical tank at a rate of 9,500 cm3/min at the same time that water is being pumped into the.. Water Is Leaking Out Of An Inverted Conical Tank.
From www.chegg.com
Solved (1 point) Water is leaking out of an inverted conical Water Is Leaking Out Of An Inverted Conical Tank Determine the expression of the volume of water in the tank: It is given that the shape of the tank is that of an. Water is leaking out of an inverted conical tank at a rate of $0.0068\,\rm m^3/min$. At the same time water is being pumped into the tank at a. By differentiating the volume of the. Water is. Water Is Leaking Out Of An Inverted Conical Tank.
From www.chegg.com
Solved Water is leaking out of an inverted conical tank at a Water Is Leaking Out Of An Inverted Conical Tank If the water level is rising at a rate of 20 cm/min when the height of the water is 2 m, find the rate (in cm 3 /min) at which water is. Determine the expression of the volume of water in the tank: It is given that the shape of the tank is that of an. By differentiating the volume. Water Is Leaking Out Of An Inverted Conical Tank.
From www.vrogue.co
Water Is Leaking Out Of An Inverted Conical Tank A Ca vrogue.co Water Is Leaking Out Of An Inverted Conical Tank Water is leaking out of an inverted conical tank at a rate of 9,500 cm3/min at the same time that water is being pumped into the. It is given that the shape of the tank is that of an. In our problem, the volume of water in the tank is changing over time due to leaking and pumping actions. At. Water Is Leaking Out Of An Inverted Conical Tank.
From www.chegg.com
Solved Water is leaking out of an inverted conical tank at a Water Is Leaking Out Of An Inverted Conical Tank At the same time water is being pumped into the tank at a. Water is leaking out of an inverted conical tank at a rate of 10,000. If the water level is rising at a rate of 20 cm/min when the height of the water is 2 m, find the rate (in cm 3 /min) at which water is. Determine. Water Is Leaking Out Of An Inverted Conical Tank.
From www.youtube.com
Related Rates Inverted Conical Tank with Water Leaking out YouTube Water Is Leaking Out Of An Inverted Conical Tank Determine the expression of the volume of water in the tank: At the same time water is being pumped into the tank at a. Water is leaking out of an inverted conical tank at a rate of 9,500 cm3/min at the same time that water is being pumped into the. Water is leaking out of an inverted conical tank at. Water Is Leaking Out Of An Inverted Conical Tank.
From www.chegg.com
Solved Water is leaking out of an inverted conical tank at a Water Is Leaking Out Of An Inverted Conical Tank At the same time water is being pumped into the tank at a. Water is leaking out of an inverted conical tank at a rate of 10,000. By differentiating the volume of the. Determine the expression of the volume of water in the tank: If the water level is rising at a rate of 20 cm/min when the height of. Water Is Leaking Out Of An Inverted Conical Tank.
From www.chegg.com
Solved Water is leaking out of an inverted conical tank at a Water Is Leaking Out Of An Inverted Conical Tank By differentiating the volume of the. At the same time water is being pumped into the tank at a. Water is leaking out of an inverted conical tank at a rate of $0.0068\,\rm m^3/min$. In our problem, the volume of water in the tank is changing over time due to leaking and pumping actions. Water is leaking out of an. Water Is Leaking Out Of An Inverted Conical Tank.
From www.chegg.com
Solved Water is leaking out of an inverted conical tank at a Water Is Leaking Out Of An Inverted Conical Tank Water is leaking out of an inverted conical tank at a rate of 10,000. Determine the expression of the volume of water in the tank: Water is leaking out of an inverted conical tank at a rate of 9,500 cm3/min at the same time that water is being pumped into the. Water is leaking out of an inverted conical tank. Water Is Leaking Out Of An Inverted Conical Tank.
From www.vrogue.co
Water Is Leaking Out Of An Inverted Conical Tank A Ca vrogue.co Water Is Leaking Out Of An Inverted Conical Tank Water is leaking out of an inverted conical tank at a rate of 10,000. Water is leaking out of an inverted conical tank at a rate of $0.0068\,\rm m^3/min$. If the water level is rising at a rate of 20 cm/min when the height of the water is 2 m, find the rate (in cm 3 /min) at which water. Water Is Leaking Out Of An Inverted Conical Tank.
From www.chegg.com
Water is leaking out of an inverted conical tank at a Water Is Leaking Out Of An Inverted Conical Tank By differentiating the volume of the. It is given that the shape of the tank is that of an. Determine the expression of the volume of water in the tank: At the same time water is being pumped into the tank at a. In our problem, the volume of water in the tank is changing over time due to leaking. Water Is Leaking Out Of An Inverted Conical Tank.
From www.chegg.com
Solved Water is leaking out of an inverted conical tank at a Water Is Leaking Out Of An Inverted Conical Tank If the water level is rising at a rate of 20 cm/min when the height of the water is 2 m, find the rate (in cm 3 /min) at which water is. It is given that the shape of the tank is that of an. Water is leaking out of an inverted conical tank at a rate of 10,000. By. Water Is Leaking Out Of An Inverted Conical Tank.
From www.coursehero.com
[Solved] Water is leaking out of an inverted conical tank at a rate of Water Is Leaking Out Of An Inverted Conical Tank Water is leaking out of an inverted conical tank at a rate of 9,500 cm3/min at the same time that water is being pumped into the. By differentiating the volume of the. Determine the expression of the volume of water in the tank: If the water level is rising at a rate of 20 cm/min when the height of the. Water Is Leaking Out Of An Inverted Conical Tank.
From www.chegg.com
Solved Water is leaking out of an inverted conical tank at a Water Is Leaking Out Of An Inverted Conical Tank By differentiating the volume of the. At the same time water is being pumped into the tank at a. Determine the expression of the volume of water in the tank: Water is leaking out of an inverted conical tank at a rate of 9,500 cm3/min at the same time that water is being pumped into the. In our problem, the. Water Is Leaking Out Of An Inverted Conical Tank.
From www.coursehero.com
[Solved] Water is leaking out of an inverted conical tank at a rate Water Is Leaking Out Of An Inverted Conical Tank At the same time water is being pumped into the tank at a. By differentiating the volume of the. It is given that the shape of the tank is that of an. In our problem, the volume of water in the tank is changing over time due to leaking and pumping actions. Water is leaking out of an inverted conical. Water Is Leaking Out Of An Inverted Conical Tank.
From www.numerade.com
SOLVED Water is leaking out of an inverted conical tank at a rate of Water Is Leaking Out Of An Inverted Conical Tank It is given that the shape of the tank is that of an. Water is leaking out of an inverted conical tank at a rate of 10,000. Water is leaking out of an inverted conical tank at a rate of $0.0068\,\rm m^3/min$. By differentiating the volume of the. At the same time water is being pumped into the tank at. Water Is Leaking Out Of An Inverted Conical Tank.
From www.chegg.com
Solved Water is leaking out of an inverted conical water Water Is Leaking Out Of An Inverted Conical Tank Determine the expression of the volume of water in the tank: It is given that the shape of the tank is that of an. At the same time water is being pumped into the tank at a. In our problem, the volume of water in the tank is changing over time due to leaking and pumping actions. At the same. Water Is Leaking Out Of An Inverted Conical Tank.
From www.chegg.com
Solved Water is leaking out of an inverted conical tank at a Water Is Leaking Out Of An Inverted Conical Tank If the water level is rising at a rate of 20 cm/min when the height of the water is 2 m, find the rate (in cm 3 /min) at which water is. Water is leaking out of an inverted conical tank at a rate of $0.0068\,\rm m^3/min$. Water is leaking out of an inverted conical tank at a rate of. Water Is Leaking Out Of An Inverted Conical Tank.
From www.coursehero.com
[Solved] Water is leaking out of an inverted conical tank at a rate of Water Is Leaking Out Of An Inverted Conical Tank At the same time water is being pumped into the tank at a. Water is leaking out of an inverted conical tank at a rate of $0.0068\,\rm m^3/min$. Water is leaking out of an inverted conical tank at a rate of 9,500 cm3/min at the same time that water is being pumped into the. Determine the expression of the volume. Water Is Leaking Out Of An Inverted Conical Tank.
From www.chegg.com
Solved Water is leaking out of an inverted conical tank at a Water Is Leaking Out Of An Inverted Conical Tank By differentiating the volume of the. Determine the expression of the volume of water in the tank: It is given that the shape of the tank is that of an. Water is leaking out of an inverted conical tank at a rate of 10,000. Water is leaking out of an inverted conical tank at a rate of $0.0068\,\rm m^3/min$. If. Water Is Leaking Out Of An Inverted Conical Tank.
From www.chegg.com
Solved Water is leaking out of an inverted conical tank at a Water Is Leaking Out Of An Inverted Conical Tank If the water level is rising at a rate of 20 cm/min when the height of the water is 2 m, find the rate (in cm 3 /min) at which water is. Water is leaking out of an inverted conical tank at a rate of 10,000. It is given that the shape of the tank is that of an. By. Water Is Leaking Out Of An Inverted Conical Tank.