Standard Deviation And Variance Problems . standard deviation is a measure of how much variation exists in a data set. learn how to calculate variance and standard deviation as measures of variation for a set of data. practice standard deviation questions and learn how to calculate it from mean, variance, and probability distribution. It is the square root of. learn how to use the standard deviation to measure and interpret the variability in a dataset. It is the square root of the variance, which is the. standard deviation practice exercises and solutions standard deviation is a measure of variability. practice finding variance and standard deviation with practice problems and explanations. See examples, graphs, and formulas for calculating. improve your math knowledge with free questions in variance and standard deviation and thousands of other math.
from curvebreakerstestprep.com
It is the square root of the variance, which is the. See examples, graphs, and formulas for calculating. learn how to calculate variance and standard deviation as measures of variation for a set of data. practice finding variance and standard deviation with practice problems and explanations. improve your math knowledge with free questions in variance and standard deviation and thousands of other math. practice standard deviation questions and learn how to calculate it from mean, variance, and probability distribution. It is the square root of. standard deviation practice exercises and solutions standard deviation is a measure of variability. standard deviation is a measure of how much variation exists in a data set. learn how to use the standard deviation to measure and interpret the variability in a dataset.
Standard Deviation Variation from the Mean Curvebreakers
Standard Deviation And Variance Problems practice finding variance and standard deviation with practice problems and explanations. standard deviation is a measure of how much variation exists in a data set. practice finding variance and standard deviation with practice problems and explanations. See examples, graphs, and formulas for calculating. It is the square root of the variance, which is the. practice standard deviation questions and learn how to calculate it from mean, variance, and probability distribution. learn how to calculate variance and standard deviation as measures of variation for a set of data. It is the square root of. learn how to use the standard deviation to measure and interpret the variability in a dataset. improve your math knowledge with free questions in variance and standard deviation and thousands of other math. standard deviation practice exercises and solutions standard deviation is a measure of variability.
From www.youtube.com
How to Find the Standard Deviation, Variance, Mean, Mode, and Range for Standard Deviation And Variance Problems standard deviation practice exercises and solutions standard deviation is a measure of variability. practice finding variance and standard deviation with practice problems and explanations. learn how to calculate variance and standard deviation as measures of variation for a set of data. standard deviation is a measure of how much variation exists in a data set. See. Standard Deviation And Variance Problems.
From www.shiksha.com
Measures of Dispersion Range, IQR, Variance, Standard Deviation Standard Deviation And Variance Problems learn how to calculate variance and standard deviation as measures of variation for a set of data. It is the square root of the variance, which is the. standard deviation practice exercises and solutions standard deviation is a measure of variability. improve your math knowledge with free questions in variance and standard deviation and thousands of other. Standard Deviation And Variance Problems.
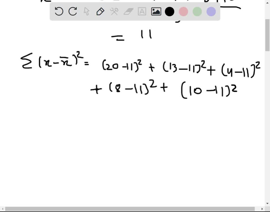
From www.numerade.com
SOLVED In Problems 510, by hand, find the population variance and Standard Deviation And Variance Problems learn how to use the standard deviation to measure and interpret the variability in a dataset. standard deviation is a measure of how much variation exists in a data set. standard deviation practice exercises and solutions standard deviation is a measure of variability. It is the square root of the variance, which is the. learn how. Standard Deviation And Variance Problems.
From www.youtube.com
Variance and Standard Deviation of a Sample YouTube Standard Deviation And Variance Problems It is the square root of the variance, which is the. See examples, graphs, and formulas for calculating. improve your math knowledge with free questions in variance and standard deviation and thousands of other math. practice finding variance and standard deviation with practice problems and explanations. learn how to calculate variance and standard deviation as measures of. Standard Deviation And Variance Problems.
From www.youtube.com
Variance and Standard Deviation Problem Solving (Part 1) YouTube Standard Deviation And Variance Problems improve your math knowledge with free questions in variance and standard deviation and thousands of other math. standard deviation is a measure of how much variation exists in a data set. standard deviation practice exercises and solutions standard deviation is a measure of variability. practice standard deviation questions and learn how to calculate it from mean,. Standard Deviation And Variance Problems.
From www.storyofmathematics.com
Standard Deviation Definition & Meaning Standard Deviation And Variance Problems standard deviation practice exercises and solutions standard deviation is a measure of variability. learn how to calculate variance and standard deviation as measures of variation for a set of data. See examples, graphs, and formulas for calculating. learn how to use the standard deviation to measure and interpret the variability in a dataset. practice standard deviation. Standard Deviation And Variance Problems.
From mathsux.org
Variance and Standard Deviation Statistics Math Lessons Standard Deviation And Variance Problems standard deviation practice exercises and solutions standard deviation is a measure of variability. See examples, graphs, and formulas for calculating. improve your math knowledge with free questions in variance and standard deviation and thousands of other math. learn how to calculate variance and standard deviation as measures of variation for a set of data. standard deviation. Standard Deviation And Variance Problems.
From www.chegg.com
Solved 6. Calculating standard deviation and variance using Standard Deviation And Variance Problems practice finding variance and standard deviation with practice problems and explanations. standard deviation is a measure of how much variation exists in a data set. It is the square root of the variance, which is the. See examples, graphs, and formulas for calculating. improve your math knowledge with free questions in variance and standard deviation and thousands. Standard Deviation And Variance Problems.
From worksheetchambers.z21.web.core.windows.net
Calculating Standard Deviation Worksheet With Answers Standard Deviation And Variance Problems learn how to calculate variance and standard deviation as measures of variation for a set of data. standard deviation practice exercises and solutions standard deviation is a measure of variability. improve your math knowledge with free questions in variance and standard deviation and thousands of other math. standard deviation is a measure of how much variation. Standard Deviation And Variance Problems.
From www.teachoo.com
Example 12 Calculate mean, variance, standard deviation Standard Deviation And Variance Problems It is the square root of. improve your math knowledge with free questions in variance and standard deviation and thousands of other math. learn how to use the standard deviation to measure and interpret the variability in a dataset. practice standard deviation questions and learn how to calculate it from mean, variance, and probability distribution. practice. Standard Deviation And Variance Problems.
From brainly.ph
WORKSHEET 8 Variance and Standard Deviation of the Discrete Random Standard Deviation And Variance Problems improve your math knowledge with free questions in variance and standard deviation and thousands of other math. standard deviation is a measure of how much variation exists in a data set. standard deviation practice exercises and solutions standard deviation is a measure of variability. practice finding variance and standard deviation with practice problems and explanations. . Standard Deviation And Variance Problems.
From www.exceldemy.com
How to Calculate Mean Variance and Standard Deviation in Excel Standard Deviation And Variance Problems See examples, graphs, and formulas for calculating. learn how to calculate variance and standard deviation as measures of variation for a set of data. It is the square root of the variance, which is the. improve your math knowledge with free questions in variance and standard deviation and thousands of other math. practice finding variance and standard. Standard Deviation And Variance Problems.
From andymath.com
Standard Deviation and Variance Standard Deviation And Variance Problems See examples, graphs, and formulas for calculating. learn how to calculate variance and standard deviation as measures of variation for a set of data. standard deviation is a measure of how much variation exists in a data set. improve your math knowledge with free questions in variance and standard deviation and thousands of other math. practice. Standard Deviation And Variance Problems.
From www.youtube.com
Computing the Mean, Variance and Standard Deviation of a Discrete Standard Deviation And Variance Problems practice standard deviation questions and learn how to calculate it from mean, variance, and probability distribution. See examples, graphs, and formulas for calculating. standard deviation practice exercises and solutions standard deviation is a measure of variability. learn how to use the standard deviation to measure and interpret the variability in a dataset. It is the square root. Standard Deviation And Variance Problems.
From www.youtube.com
Lesson 8.1 The Mean, Variance and Standard Deviation of a Discrete Standard Deviation And Variance Problems It is the square root of the variance, which is the. standard deviation is a measure of how much variation exists in a data set. improve your math knowledge with free questions in variance and standard deviation and thousands of other math. It is the square root of. learn how to calculate variance and standard deviation as. Standard Deviation And Variance Problems.
From www.justinholman.com
Lesson 3 Measuring Variance and Standard Deviation Geographical Standard Deviation And Variance Problems practice standard deviation questions and learn how to calculate it from mean, variance, and probability distribution. See examples, graphs, and formulas for calculating. learn how to calculate variance and standard deviation as measures of variation for a set of data. learn how to use the standard deviation to measure and interpret the variability in a dataset. . Standard Deviation And Variance Problems.
From worksheets.myify.net
Variance And Standard Deviation Worksheets With Answers Worksheets Master Standard Deviation And Variance Problems learn how to calculate variance and standard deviation as measures of variation for a set of data. It is the square root of the variance, which is the. It is the square root of. See examples, graphs, and formulas for calculating. standard deviation is a measure of how much variation exists in a data set. practice standard. Standard Deviation And Variance Problems.
From examples.yourdictionary.com
Examples of Standard Deviation and How It’s Used Standard Deviation And Variance Problems It is the square root of the variance, which is the. learn how to calculate variance and standard deviation as measures of variation for a set of data. practice standard deviation questions and learn how to calculate it from mean, variance, and probability distribution. learn how to use the standard deviation to measure and interpret the variability. Standard Deviation And Variance Problems.
From exouespvr.blob.core.windows.net
Standard Deviation Problem Example at Clayton Spengler blog Standard Deviation And Variance Problems improve your math knowledge with free questions in variance and standard deviation and thousands of other math. It is the square root of. See examples, graphs, and formulas for calculating. standard deviation practice exercises and solutions standard deviation is a measure of variability. standard deviation is a measure of how much variation exists in a data set.. Standard Deviation And Variance Problems.
From www.youtube.com
Variance and Standard Deviation Sample and Population Practice Standard Deviation And Variance Problems learn how to calculate variance and standard deviation as measures of variation for a set of data. standard deviation practice exercises and solutions standard deviation is a measure of variability. It is the square root of the variance, which is the. standard deviation is a measure of how much variation exists in a data set. practice. Standard Deviation And Variance Problems.
From www.youtube.com
Lecture 33Variance, Standard deviation, problem on variance, Skew and Standard Deviation And Variance Problems practice standard deviation questions and learn how to calculate it from mean, variance, and probability distribution. improve your math knowledge with free questions in variance and standard deviation and thousands of other math. learn how to use the standard deviation to measure and interpret the variability in a dataset. practice finding variance and standard deviation with. Standard Deviation And Variance Problems.
From www.kristakingmath.com
How to find Mean, variance, and standard deviation — Krista King Math Standard Deviation And Variance Problems standard deviation is a measure of how much variation exists in a data set. It is the square root of the variance, which is the. improve your math knowledge with free questions in variance and standard deviation and thousands of other math. practice finding variance and standard deviation with practice problems and explanations. learn how to. Standard Deviation And Variance Problems.
From www.chegg.com
Solved 2. Find the mean, variance, and standard deviation Standard Deviation And Variance Problems See examples, graphs, and formulas for calculating. practice finding variance and standard deviation with practice problems and explanations. standard deviation practice exercises and solutions standard deviation is a measure of variability. It is the square root of the variance, which is the. improve your math knowledge with free questions in variance and standard deviation and thousands of. Standard Deviation And Variance Problems.
From studylib.net
Chapter 6 Variance and Standard Deviation Standard Deviation And Variance Problems standard deviation is a measure of how much variation exists in a data set. improve your math knowledge with free questions in variance and standard deviation and thousands of other math. It is the square root of the variance, which is the. See examples, graphs, and formulas for calculating. practice finding variance and standard deviation with practice. Standard Deviation And Variance Problems.
From www.teachoo.com
Example 9 Find variance and standard deviation Class 11 Standard Deviation And Variance Problems It is the square root of. learn how to use the standard deviation to measure and interpret the variability in a dataset. See examples, graphs, and formulas for calculating. learn how to calculate variance and standard deviation as measures of variation for a set of data. practice finding variance and standard deviation with practice problems and explanations.. Standard Deviation And Variance Problems.
From worksheets.myify.net
Variance And Standard Deviation Worksheets With Answers Worksheets Master Standard Deviation And Variance Problems See examples, graphs, and formulas for calculating. standard deviation is a measure of how much variation exists in a data set. learn how to use the standard deviation to measure and interpret the variability in a dataset. practice standard deviation questions and learn how to calculate it from mean, variance, and probability distribution. It is the square. Standard Deviation And Variance Problems.
From www.slideserve.com
PPT Descriptive Statistics Numerical Methods PowerPoint Presentation Standard Deviation And Variance Problems It is the square root of the variance, which is the. learn how to calculate variance and standard deviation as measures of variation for a set of data. practice finding variance and standard deviation with practice problems and explanations. learn how to use the standard deviation to measure and interpret the variability in a dataset. improve. Standard Deviation And Variance Problems.
From www.chegg.com
Solved Find the mean, variance and standard deviation for Standard Deviation And Variance Problems practice finding variance and standard deviation with practice problems and explanations. improve your math knowledge with free questions in variance and standard deviation and thousands of other math. It is the square root of. It is the square root of the variance, which is the. learn how to use the standard deviation to measure and interpret the. Standard Deviation And Variance Problems.
From www.slideserve.com
PPT Discrete Probability Distributions PowerPoint Presentation, free Standard Deviation And Variance Problems standard deviation is a measure of how much variation exists in a data set. See examples, graphs, and formulas for calculating. improve your math knowledge with free questions in variance and standard deviation and thousands of other math. standard deviation practice exercises and solutions standard deviation is a measure of variability. practice finding variance and standard. Standard Deviation And Variance Problems.
From www.teachoo.com
Example 10 Calculate mean, variance, standard deviation Examples Standard Deviation And Variance Problems learn how to use the standard deviation to measure and interpret the variability in a dataset. practice finding variance and standard deviation with practice problems and explanations. learn how to calculate variance and standard deviation as measures of variation for a set of data. It is the square root of the variance, which is the. standard. Standard Deviation And Variance Problems.
From www.chegg.com
Solved Calculate the variance and the standard deviation for Standard Deviation And Variance Problems improve your math knowledge with free questions in variance and standard deviation and thousands of other math. practice standard deviation questions and learn how to calculate it from mean, variance, and probability distribution. learn how to use the standard deviation to measure and interpret the variability in a dataset. standard deviation practice exercises and solutions standard. Standard Deviation And Variance Problems.
From www.youtube.com
Problems in Variance, Standard deviation, score and error YouTube Standard Deviation And Variance Problems See examples, graphs, and formulas for calculating. It is the square root of the variance, which is the. It is the square root of. improve your math knowledge with free questions in variance and standard deviation and thousands of other math. learn how to calculate variance and standard deviation as measures of variation for a set of data.. Standard Deviation And Variance Problems.
From curvebreakerstestprep.com
Standard Deviation Variation from the Mean Curvebreakers Standard Deviation And Variance Problems practice standard deviation questions and learn how to calculate it from mean, variance, and probability distribution. It is the square root of the variance, which is the. It is the square root of. improve your math knowledge with free questions in variance and standard deviation and thousands of other math. learn how to calculate variance and standard. Standard Deviation And Variance Problems.
From www.youtube.com
Variance and Standard Deviation of Discrete Random Variables YouTube Standard Deviation And Variance Problems practice standard deviation questions and learn how to calculate it from mean, variance, and probability distribution. It is the square root of the variance, which is the. standard deviation is a measure of how much variation exists in a data set. improve your math knowledge with free questions in variance and standard deviation and thousands of other. Standard Deviation And Variance Problems.
From www.youtube.com
Variance and Standard Deviation YouTube Standard Deviation And Variance Problems standard deviation is a measure of how much variation exists in a data set. See examples, graphs, and formulas for calculating. improve your math knowledge with free questions in variance and standard deviation and thousands of other math. practice standard deviation questions and learn how to calculate it from mean, variance, and probability distribution. It is the. Standard Deviation And Variance Problems.