The Signal X(T)=Cos (5T) Is . determine the fourier transform of each of the signals shown in figure 2. find the exponential fourier series for a signal x(t) = cos 5t sin 3t. You can do this without evaluating any integrals. — a signal x (t) is a said to be periodic with a period t if x (t ± t) = x (t) time period for a signal in the form of a. X (t) = cos t, if t<0. I don't even know the right answer. $ x (t)= \cos (5t) $. — compute the energy and the power of the ct sinusoidal signal below: i can't figure out, how to express $\cos(5t)$ in the form $e^{j\omega t}$. X 2 (t) = 2 cos πt + 7 cos t the. Cos(w), sin(w), e^(j*w) ) are. — if x(t) = cos(3t + pi/4), it's periodic simply because it's a sinusoid. You should be able to do this by explicitly evaluating. X 1 (t) = 2 cost + 3 cost is periodic signal with fundamental frequency w 0 = 1.
from www.chegg.com
determine the fourier transform of each of the signals shown in figure 2. You can do this without evaluating any integrals. X 2 (t) = 2 cos πt + 7 cos t the. X (t) = cos t, if t<0. You should be able to do this by explicitly evaluating. I don't even know the right answer. — if x(t) = cos(3t + pi/4), it's periodic simply because it's a sinusoid. X 1 (t) = 2 cost + 3 cost is periodic signal with fundamental frequency w 0 = 1. find the exponential fourier series for a signal x(t) = cos 5t sin 3t. Cos(w), sin(w), e^(j*w) ) are.
Solved Consider the signal x(t) = [3 sin(2t) + cos(5t)]^2
The Signal X(T)=Cos (5T) Is X 1 (t) = 2 cost + 3 cost is periodic signal with fundamental frequency w 0 = 1. X (t) = cos t, if t<0. $ x (t)= \cos (5t) $. X 1 (t) = 2 cost + 3 cost is periodic signal with fundamental frequency w 0 = 1. i can't figure out, how to express $\cos(5t)$ in the form $e^{j\omega t}$. determine the fourier transform of each of the signals shown in figure 2. — a signal x (t) is a said to be periodic with a period t if x (t ± t) = x (t) time period for a signal in the form of a. — compute the energy and the power of the ct sinusoidal signal below: X 2 (t) = 2 cos πt + 7 cos t the. You should be able to do this by explicitly evaluating. I don't even know the right answer. Cos(w), sin(w), e^(j*w) ) are. You can do this without evaluating any integrals. — if x(t) = cos(3t + pi/4), it's periodic simply because it's a sinusoid. find the exponential fourier series for a signal x(t) = cos 5t sin 3t.
From www.chegg.com
Solved 3.18 Consider the signal x(t)cos(20πt) + 5sinc2(5t) The Signal X(T)=Cos (5T) Is Cos(w), sin(w), e^(j*w) ) are. i can't figure out, how to express $\cos(5t)$ in the form $e^{j\omega t}$. You can do this without evaluating any integrals. X (t) = cos t, if t<0. I don't even know the right answer. You should be able to do this by explicitly evaluating. — if x(t) = cos(3t + pi/4), it's. The Signal X(T)=Cos (5T) Is.
From www.chegg.com
Solved A message signal x(t)=cos(12007t) modulates a carrier The Signal X(T)=Cos (5T) Is — if x(t) = cos(3t + pi/4), it's periodic simply because it's a sinusoid. — a signal x (t) is a said to be periodic with a period t if x (t ± t) = x (t) time period for a signal in the form of a. find the exponential fourier series for a signal x(t) =. The Signal X(T)=Cos (5T) Is.
From www.transtutors.com
(Solved) a. Find the exponential Fourier series for a signal x(t)=cos The Signal X(T)=Cos (5T) Is find the exponential fourier series for a signal x(t) = cos 5t sin 3t. X (t) = cos t, if t<0. i can't figure out, how to express $\cos(5t)$ in the form $e^{j\omega t}$. — if x(t) = cos(3t + pi/4), it's periodic simply because it's a sinusoid. X 2 (t) = 2 cos πt + 7. The Signal X(T)=Cos (5T) Is.
From www.chegg.com
Solved Signals and Consider the signals x(t) = 5 cos The Signal X(T)=Cos (5T) Is — compute the energy and the power of the ct sinusoidal signal below: — if x(t) = cos(3t + pi/4), it's periodic simply because it's a sinusoid. find the exponential fourier series for a signal x(t) = cos 5t sin 3t. X (t) = cos t, if t<0. $ x (t)= \cos (5t) $. X 1 (t). The Signal X(T)=Cos (5T) Is.
From www.chegg.com
Solved 7) A periodic signal x(t) is expressed by the The Signal X(T)=Cos (5T) Is You can do this without evaluating any integrals. determine the fourier transform of each of the signals shown in figure 2. I don't even know the right answer. — if x(t) = cos(3t + pi/4), it's periodic simply because it's a sinusoid. find the exponential fourier series for a signal x(t) = cos 5t sin 3t. You. The Signal X(T)=Cos (5T) Is.
From www.numerade.com
SOLVED Determine the power and the rms value of the following signals The Signal X(T)=Cos (5T) Is — a signal x (t) is a said to be periodic with a period t if x (t ± t) = x (t) time period for a signal in the form of a. You should be able to do this by explicitly evaluating. — compute the energy and the power of the ct sinusoidal signal below: X (t). The Signal X(T)=Cos (5T) Is.
From www.researchgate.net
The analyzed signal f (t)cos(5t/2)0.1 sin(33t) with gaps and its The Signal X(T)=Cos (5T) Is X (t) = cos t, if t<0. — a signal x (t) is a said to be periodic with a period t if x (t ± t) = x (t) time period for a signal in the form of a. find the exponential fourier series for a signal x(t) = cos 5t sin 3t. X 1 (t) =. The Signal X(T)=Cos (5T) Is.
From www.chegg.com
Solved 5. The signal x(t) is as shown in Figure 1 Sketch The Signal X(T)=Cos (5T) Is find the exponential fourier series for a signal x(t) = cos 5t sin 3t. $ x (t)= \cos (5t) $. You can do this without evaluating any integrals. You should be able to do this by explicitly evaluating. X 1 (t) = 2 cost + 3 cost is periodic signal with fundamental frequency w 0 = 1. determine. The Signal X(T)=Cos (5T) Is.
From www.chegg.com
Solved The signal x(t) in Figure 1 consists of a DC The Signal X(T)=Cos (5T) Is Cos(w), sin(w), e^(j*w) ) are. — compute the energy and the power of the ct sinusoidal signal below: X 2 (t) = 2 cos πt + 7 cos t the. determine the fourier transform of each of the signals shown in figure 2. — if x(t) = cos(3t + pi/4), it's periodic simply because it's a sinusoid.. The Signal X(T)=Cos (5T) Is.
From www.chegg.com
Solved Determine the fundamental period of the signal x_5(t) The Signal X(T)=Cos (5T) Is — if x(t) = cos(3t + pi/4), it's periodic simply because it's a sinusoid. determine the fourier transform of each of the signals shown in figure 2. I don't even know the right answer. find the exponential fourier series for a signal x(t) = cos 5t sin 3t. X (t) = cos t, if t<0. X 1. The Signal X(T)=Cos (5T) Is.
From www.numerade.com
SOLVED Problem 1 Determine the Fourier Transform X(jω) of the The Signal X(T)=Cos (5T) Is — if x(t) = cos(3t + pi/4), it's periodic simply because it's a sinusoid. I don't even know the right answer. Cos(w), sin(w), e^(j*w) ) are. find the exponential fourier series for a signal x(t) = cos 5t sin 3t. X (t) = cos t, if t<0. X 2 (t) = 2 cos πt + 7 cos t. The Signal X(T)=Cos (5T) Is.
From www.chegg.com
Solved The Fourier transform of a signal x() is shown in the The Signal X(T)=Cos (5T) Is Cos(w), sin(w), e^(j*w) ) are. find the exponential fourier series for a signal x(t) = cos 5t sin 3t. X 2 (t) = 2 cos πt + 7 cos t the. You can do this without evaluating any integrals. X (t) = cos t, if t<0. — a signal x (t) is a said to be periodic with. The Signal X(T)=Cos (5T) Is.
From www.numerade.com
SOLVED Given the signals x(t) and y(t) in Figure 1 below, find a. The The Signal X(T)=Cos (5T) Is Cos(w), sin(w), e^(j*w) ) are. X 2 (t) = 2 cos πt + 7 cos t the. — if x(t) = cos(3t + pi/4), it's periodic simply because it's a sinusoid. find the exponential fourier series for a signal x(t) = cos 5t sin 3t. X 1 (t) = 2 cost + 3 cost is periodic signal with. The Signal X(T)=Cos (5T) Is.
From www.chegg.com
Solved 6. (20 pts) The signal x(t)=cos(5t)+cos(3t)+sin(2t) The Signal X(T)=Cos (5T) Is — a signal x (t) is a said to be periodic with a period t if x (t ± t) = x (t) time period for a signal in the form of a. You can do this without evaluating any integrals. $ x (t)= \cos (5t) $. — compute the energy and the power of the ct sinusoidal. The Signal X(T)=Cos (5T) Is.
From www.numerade.com
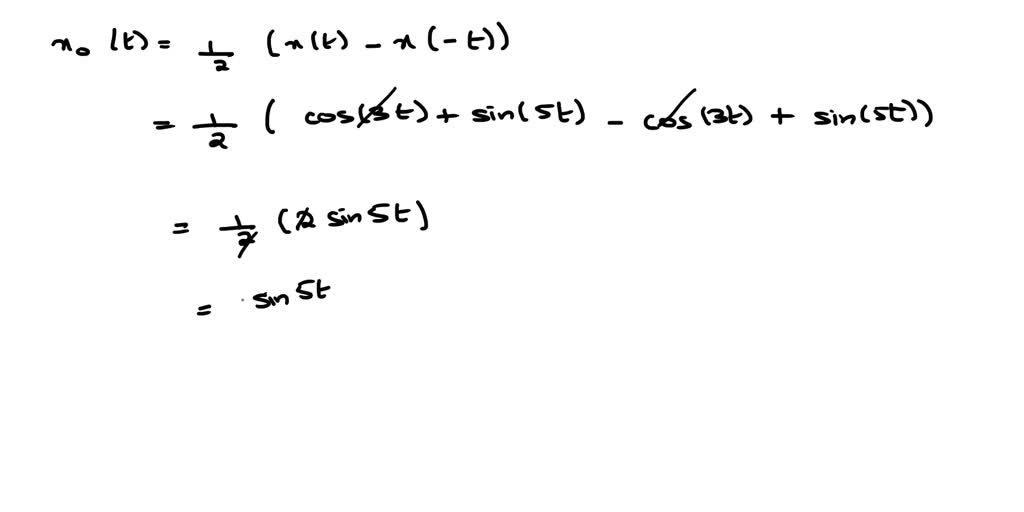
SOLVED Find the even and odd part of each of the following signals (a The Signal X(T)=Cos (5T) Is determine the fourier transform of each of the signals shown in figure 2. Cos(w), sin(w), e^(j*w) ) are. — if x(t) = cos(3t + pi/4), it's periodic simply because it's a sinusoid. $ x (t)= \cos (5t) $. X 1 (t) = 2 cost + 3 cost is periodic signal with fundamental frequency w 0 = 1. You. The Signal X(T)=Cos (5T) Is.
From www.chegg.com
Solved = 4)The signal x(t) = cos(50nt) is sampled at a The Signal X(T)=Cos (5T) Is $ x (t)= \cos (5t) $. Cos(w), sin(w), e^(j*w) ) are. You should be able to do this by explicitly evaluating. — if x(t) = cos(3t + pi/4), it's periodic simply because it's a sinusoid. You can do this without evaluating any integrals. determine the fourier transform of each of the signals shown in figure 2. X 2. The Signal X(T)=Cos (5T) Is.
From www.transtutors.com
(Solved) a. Find the exponential Fourier series for a signal x(t)=cos The Signal X(T)=Cos (5T) Is You can do this without evaluating any integrals. X (t) = cos t, if t<0. — if x(t) = cos(3t + pi/4), it's periodic simply because it's a sinusoid. Cos(w), sin(w), e^(j*w) ) are. — compute the energy and the power of the ct sinusoidal signal below: — a signal x (t) is a said to be. The Signal X(T)=Cos (5T) Is.
From www.coursehero.com
Consider the periodic signal 𝑥(𝑡) shown in the figure below The Signal X(T)=Cos (5T) Is X (t) = cos t, if t<0. find the exponential fourier series for a signal x(t) = cos 5t sin 3t. — compute the energy and the power of the ct sinusoidal signal below: X 1 (t) = 2 cost + 3 cost is periodic signal with fundamental frequency w 0 = 1. You can do this without. The Signal X(T)=Cos (5T) Is.
From www.chegg.com
Problem 5. The continuoustime signal x(t)=cos(20πt) The Signal X(T)=Cos (5T) Is — if x(t) = cos(3t + pi/4), it's periodic simply because it's a sinusoid. You can do this without evaluating any integrals. i can't figure out, how to express $\cos(5t)$ in the form $e^{j\omega t}$. — a signal x (t) is a said to be periodic with a period t if x (t ± t) = x. The Signal X(T)=Cos (5T) Is.
From www.chegg.com
Solved Consider a signal in time domain e^2t cos(5t + The Signal X(T)=Cos (5T) Is X (t) = cos t, if t<0. X 2 (t) = 2 cos πt + 7 cos t the. — a signal x (t) is a said to be periodic with a period t if x (t ± t) = x (t) time period for a signal in the form of a. Cos(w), sin(w), e^(j*w) ) are. $ x. The Signal X(T)=Cos (5T) Is.
From www.chegg.com
Solved (a) Find the exponential Fourier series for a signal The Signal X(T)=Cos (5T) Is Cos(w), sin(w), e^(j*w) ) are. You can do this without evaluating any integrals. find the exponential fourier series for a signal x(t) = cos 5t sin 3t. — a signal x (t) is a said to be periodic with a period t if x (t ± t) = x (t) time period for a signal in the form. The Signal X(T)=Cos (5T) Is.
From www.numerade.com
SOLVED Consider the system depicted in the Figure below. The spectrum The Signal X(T)=Cos (5T) Is $ x (t)= \cos (5t) $. Cos(w), sin(w), e^(j*w) ) are. find the exponential fourier series for a signal x(t) = cos 5t sin 3t. X 1 (t) = 2 cost + 3 cost is periodic signal with fundamental frequency w 0 = 1. X (t) = cos t, if t<0. — a signal x (t) is a. The Signal X(T)=Cos (5T) Is.
From www.chegg.com
Solved (a) Determine the Fourier Series coefficients for the The Signal X(T)=Cos (5T) Is — compute the energy and the power of the ct sinusoidal signal below: X (t) = cos t, if t<0. i can't figure out, how to express $\cos(5t)$ in the form $e^{j\omega t}$. — if x(t) = cos(3t + pi/4), it's periodic simply because it's a sinusoid. $ x (t)= \cos (5t) $. find the exponential. The Signal X(T)=Cos (5T) Is.
From www.chegg.com
Solved For the signal x(t) = cos 5t sin 3t, a) Find its The Signal X(T)=Cos (5T) Is You should be able to do this by explicitly evaluating. Cos(w), sin(w), e^(j*w) ) are. — compute the energy and the power of the ct sinusoidal signal below: X 1 (t) = 2 cost + 3 cost is periodic signal with fundamental frequency w 0 = 1. determine the fourier transform of each of the signals shown in. The Signal X(T)=Cos (5T) Is.
From www.numerade.com
SOLVED A periodic fullwave rectified cosine waveform shown in Figure The Signal X(T)=Cos (5T) Is X (t) = cos t, if t<0. — compute the energy and the power of the ct sinusoidal signal below: — a signal x (t) is a said to be periodic with a period t if x (t ± t) = x (t) time period for a signal in the form of a. You can do this without. The Signal X(T)=Cos (5T) Is.
From www.chegg.com
Solved The continuoustime signal x(t)=cos(2πf0t) is The Signal X(T)=Cos (5T) Is — if x(t) = cos(3t + pi/4), it's periodic simply because it's a sinusoid. determine the fourier transform of each of the signals shown in figure 2. Cos(w), sin(w), e^(j*w) ) are. X 1 (t) = 2 cost + 3 cost is periodic signal with fundamental frequency w 0 = 1. — compute the energy and the. The Signal X(T)=Cos (5T) Is.
From www.numerade.com
SOLVED 4. [4 pts] Periodic Signals a. Find the Fourier Transform of The Signal X(T)=Cos (5T) Is — a signal x (t) is a said to be periodic with a period t if x (t ± t) = x (t) time period for a signal in the form of a. X 2 (t) = 2 cos πt + 7 cos t the. $ x (t)= \cos (5t) $. You should be able to do this by. The Signal X(T)=Cos (5T) Is.
From www.chegg.com
Solved Consider the sinusoidal signal X(t) = cos 15t (a) The Signal X(T)=Cos (5T) Is You can do this without evaluating any integrals. Cos(w), sin(w), e^(j*w) ) are. X 1 (t) = 2 cost + 3 cost is periodic signal with fundamental frequency w 0 = 1. — a signal x (t) is a said to be periodic with a period t if x (t ± t) = x (t) time period for a. The Signal X(T)=Cos (5T) Is.
From www.chegg.com
Solved Problem 2 HM 5 X(t) cos(5t) on O The Signal X(T)=Cos (5T) Is X 2 (t) = 2 cos πt + 7 cos t the. — a signal x (t) is a said to be periodic with a period t if x (t ± t) = x (t) time period for a signal in the form of a. determine the fourier transform of each of the signals shown in figure 2.. The Signal X(T)=Cos (5T) Is.
From www.chegg.com
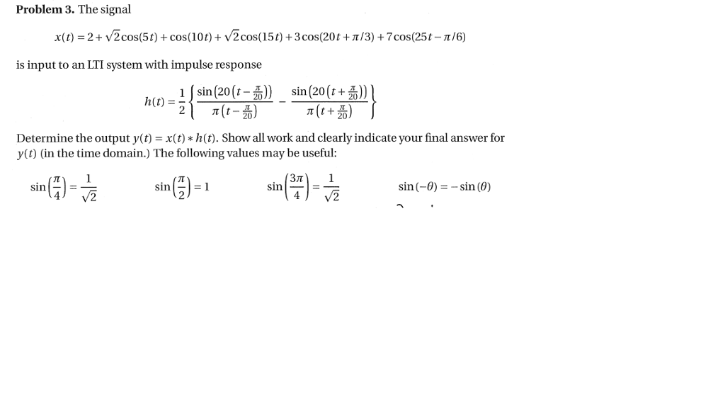
Solved Problem 3. The signal x(t) = 2 + V2cos(5t) + cos(10t) The Signal X(T)=Cos (5T) Is determine the fourier transform of each of the signals shown in figure 2. I don't even know the right answer. — if x(t) = cos(3t + pi/4), it's periodic simply because it's a sinusoid. You can do this without evaluating any integrals. — a signal x (t) is a said to be periodic with a period t. The Signal X(T)=Cos (5T) Is.
From www.chegg.com
Solved Consider the signal x(t) = [3 sin(2t) + cos(5t)]^2 The Signal X(T)=Cos (5T) Is $ x (t)= \cos (5t) $. — a signal x (t) is a said to be periodic with a period t if x (t ± t) = x (t) time period for a signal in the form of a. — compute the energy and the power of the ct sinusoidal signal below: find the exponential fourier series. The Signal X(T)=Cos (5T) Is.
From www.chegg.com
Solved Consider the signal x(t) generated in the laboratory The Signal X(T)=Cos (5T) Is $ x (t)= \cos (5t) $. i can't figure out, how to express $\cos(5t)$ in the form $e^{j\omega t}$. X (t) = cos t, if t<0. — a signal x (t) is a said to be periodic with a period t if x (t ± t) = x (t) time period for a signal in the form of. The Signal X(T)=Cos (5T) Is.
From www.chegg.com
Solved 2. You have a signal x(t) cos(t) +2 cos(t) +cos(5t). The Signal X(T)=Cos (5T) Is — if x(t) = cos(3t + pi/4), it's periodic simply because it's a sinusoid. find the exponential fourier series for a signal x(t) = cos 5t sin 3t. I don't even know the right answer. X (t) = cos t, if t<0. X 1 (t) = 2 cost + 3 cost is periodic signal with fundamental frequency w. The Signal X(T)=Cos (5T) Is.
From www.chegg.com
Solved Question 3 Consider the analog signal x(t) = cos(2πt The Signal X(T)=Cos (5T) Is X 1 (t) = 2 cost + 3 cost is periodic signal with fundamental frequency w 0 = 1. $ x (t)= \cos (5t) $. X (t) = cos t, if t<0. — if x(t) = cos(3t + pi/4), it's periodic simply because it's a sinusoid. find the exponential fourier series for a signal x(t) = cos 5t. The Signal X(T)=Cos (5T) Is.
From www.chegg.com
Solved The periodic signal X(t) = 2 cos(3t) cos(5t) is The Signal X(T)=Cos (5T) Is I don't even know the right answer. — compute the energy and the power of the ct sinusoidal signal below: determine the fourier transform of each of the signals shown in figure 2. — if x(t) = cos(3t + pi/4), it's periodic simply because it's a sinusoid. X (t) = cos t, if t<0. i can't. The Signal X(T)=Cos (5T) Is.