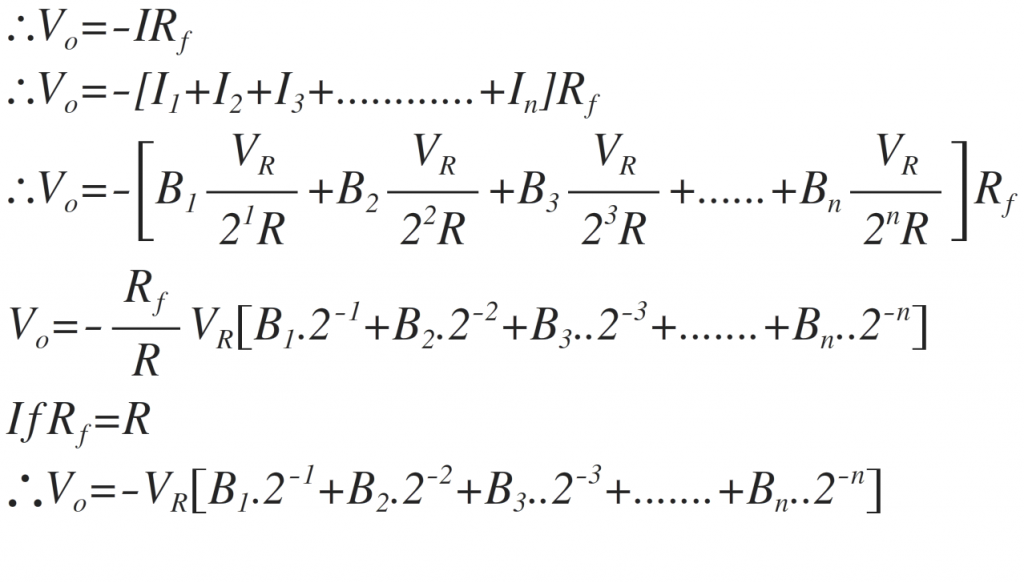
What Is Binary Weighted Resistor . Binary weighted resistor dac explained. (note that summing circuits are sometimes also. A weighted resistor dac produces an analog output, which is almost equal to the digital (binary) input by using binary weighted resistors in the. A binary weighted resistor digital to analog converter (dac) is a type of digital to analog converter that converts a digital input. In the weighted resistor type dac, each digital level is converted into an equivalent analog voltage or current. The following figure shows the circuit diagram of. In this video, the basic terminologies of the.
from www.youtube.com
In the weighted resistor type dac, each digital level is converted into an equivalent analog voltage or current. Binary weighted resistor dac explained. (note that summing circuits are sometimes also. A binary weighted resistor digital to analog converter (dac) is a type of digital to analog converter that converts a digital input. The following figure shows the circuit diagram of. In this video, the basic terminologies of the. A weighted resistor dac produces an analog output, which is almost equal to the digital (binary) input by using binary weighted resistors in the.
Binary Weighted Resistor DAC YouTube
What Is Binary Weighted Resistor In the weighted resistor type dac, each digital level is converted into an equivalent analog voltage or current. The following figure shows the circuit diagram of. A binary weighted resistor digital to analog converter (dac) is a type of digital to analog converter that converts a digital input. (note that summing circuits are sometimes also. In the weighted resistor type dac, each digital level is converted into an equivalent analog voltage or current. A weighted resistor dac produces an analog output, which is almost equal to the digital (binary) input by using binary weighted resistors in the. In this video, the basic terminologies of the. Binary weighted resistor dac explained.
From www.researchgate.net
Voltagemode BinaryWeighted Resistor DAC Download Scientific Diagram What Is Binary Weighted Resistor In this video, the basic terminologies of the. A binary weighted resistor digital to analog converter (dac) is a type of digital to analog converter that converts a digital input. (note that summing circuits are sometimes also. In the weighted resistor type dac, each digital level is converted into an equivalent analog voltage or current. Binary weighted resistor dac explained.. What Is Binary Weighted Resistor.
From www.slideserve.com
PPT DAC, Diodes and TRIACS PowerPoint Presentation, free download What Is Binary Weighted Resistor (note that summing circuits are sometimes also. A weighted resistor dac produces an analog output, which is almost equal to the digital (binary) input by using binary weighted resistors in the. A binary weighted resistor digital to analog converter (dac) is a type of digital to analog converter that converts a digital input. In this video, the basic terminologies of. What Is Binary Weighted Resistor.
From www.youtube.com
BINARY WEIGHTED RESISTOR NETWORK DAC STUDY ENGINEERING YouTube What Is Binary Weighted Resistor A weighted resistor dac produces an analog output, which is almost equal to the digital (binary) input by using binary weighted resistors in the. The following figure shows the circuit diagram of. (note that summing circuits are sometimes also. Binary weighted resistor dac explained. In this video, the basic terminologies of the. In the weighted resistor type dac, each digital. What Is Binary Weighted Resistor.
From www.researchgate.net
(a) Binaryweighted resistor bank. (b) Onehot variable resistor What Is Binary Weighted Resistor A weighted resistor dac produces an analog output, which is almost equal to the digital (binary) input by using binary weighted resistors in the. In the weighted resistor type dac, each digital level is converted into an equivalent analog voltage or current. The following figure shows the circuit diagram of. In this video, the basic terminologies of the. (note that. What Is Binary Weighted Resistor.
From www.slideserve.com
PPT Digital to Analog Converters (DAC) PowerPoint Presentation, free What Is Binary Weighted Resistor In this video, the basic terminologies of the. In the weighted resistor type dac, each digital level is converted into an equivalent analog voltage or current. A weighted resistor dac produces an analog output, which is almost equal to the digital (binary) input by using binary weighted resistors in the. (note that summing circuits are sometimes also. Binary weighted resistor. What Is Binary Weighted Resistor.
From www.youtube.com
Binary Weighted Resistor DAC in Hindi YouTube What Is Binary Weighted Resistor In the weighted resistor type dac, each digital level is converted into an equivalent analog voltage or current. A binary weighted resistor digital to analog converter (dac) is a type of digital to analog converter that converts a digital input. Binary weighted resistor dac explained. In this video, the basic terminologies of the. (note that summing circuits are sometimes also.. What Is Binary Weighted Resistor.
From www.electronics-tutorial.net
Binary Weighted Resistor DAC Analogintegratedcircuits What Is Binary Weighted Resistor Binary weighted resistor dac explained. A weighted resistor dac produces an analog output, which is almost equal to the digital (binary) input by using binary weighted resistors in the. A binary weighted resistor digital to analog converter (dac) is a type of digital to analog converter that converts a digital input. In the weighted resistor type dac, each digital level. What Is Binary Weighted Resistor.
From aladin-vegas-las-casino-poker.blogspot.com
☑ Binary Weighted Resistor Dac What Is Binary Weighted Resistor A weighted resistor dac produces an analog output, which is almost equal to the digital (binary) input by using binary weighted resistors in the. In the weighted resistor type dac, each digital level is converted into an equivalent analog voltage or current. A binary weighted resistor digital to analog converter (dac) is a type of digital to analog converter that. What Is Binary Weighted Resistor.
From aladin-vegas-las-casino-poker.blogspot.com
☑ Binary Weighted Resistor Dac What Is Binary Weighted Resistor In the weighted resistor type dac, each digital level is converted into an equivalent analog voltage or current. (note that summing circuits are sometimes also. Binary weighted resistor dac explained. A binary weighted resistor digital to analog converter (dac) is a type of digital to analog converter that converts a digital input. The following figure shows the circuit diagram of.. What Is Binary Weighted Resistor.
From www.chegg.com
Solved 10. For a Binaryweighted resistor DAC converter What Is Binary Weighted Resistor In the weighted resistor type dac, each digital level is converted into an equivalent analog voltage or current. A binary weighted resistor digital to analog converter (dac) is a type of digital to analog converter that converts a digital input. A weighted resistor dac produces an analog output, which is almost equal to the digital (binary) input by using binary. What Is Binary Weighted Resistor.
From microcontrollerslab.com
Binary Weighted Resistor DAC What Is Binary Weighted Resistor In this video, the basic terminologies of the. A binary weighted resistor digital to analog converter (dac) is a type of digital to analog converter that converts a digital input. In the weighted resistor type dac, each digital level is converted into an equivalent analog voltage or current. (note that summing circuits are sometimes also. Binary weighted resistor dac explained.. What Is Binary Weighted Resistor.
From www.multisim.com
Lab Exercise 3 4 bit binary weighted resistor circuit Multisim Live What Is Binary Weighted Resistor In the weighted resistor type dac, each digital level is converted into an equivalent analog voltage or current. Binary weighted resistor dac explained. A binary weighted resistor digital to analog converter (dac) is a type of digital to analog converter that converts a digital input. In this video, the basic terminologies of the. A weighted resistor dac produces an analog. What Is Binary Weighted Resistor.
From www.youtube.com
Binary Weighted Resistor DAC YouTube What Is Binary Weighted Resistor A weighted resistor dac produces an analog output, which is almost equal to the digital (binary) input by using binary weighted resistors in the. The following figure shows the circuit diagram of. In this video, the basic terminologies of the. (note that summing circuits are sometimes also. In the weighted resistor type dac, each digital level is converted into an. What Is Binary Weighted Resistor.
From slideserve.com
PPT Digital to Analog Converter PowerPoint Presentation ID192871 What Is Binary Weighted Resistor In the weighted resistor type dac, each digital level is converted into an equivalent analog voltage or current. (note that summing circuits are sometimes also. A weighted resistor dac produces an analog output, which is almost equal to the digital (binary) input by using binary weighted resistors in the. Binary weighted resistor dac explained. A binary weighted resistor digital to. What Is Binary Weighted Resistor.
From www.youtube.com
Binary Weighted Resistor DAC YouTube What Is Binary Weighted Resistor (note that summing circuits are sometimes also. In this video, the basic terminologies of the. The following figure shows the circuit diagram of. A weighted resistor dac produces an analog output, which is almost equal to the digital (binary) input by using binary weighted resistors in the. A binary weighted resistor digital to analog converter (dac) is a type of. What Is Binary Weighted Resistor.
From www.researchgate.net
Voltagemode BinaryWeighted Resistor DAC Download Scientific Diagram What Is Binary Weighted Resistor Binary weighted resistor dac explained. In this video, the basic terminologies of the. A binary weighted resistor digital to analog converter (dac) is a type of digital to analog converter that converts a digital input. A weighted resistor dac produces an analog output, which is almost equal to the digital (binary) input by using binary weighted resistors in the. (note. What Is Binary Weighted Resistor.
From www.scribd.com
Binary Weighted Resistor DAC PDF What Is Binary Weighted Resistor In the weighted resistor type dac, each digital level is converted into an equivalent analog voltage or current. In this video, the basic terminologies of the. Binary weighted resistor dac explained. (note that summing circuits are sometimes also. A binary weighted resistor digital to analog converter (dac) is a type of digital to analog converter that converts a digital input.. What Is Binary Weighted Resistor.
From www.chegg.com
Solved The Binaryweighted Resistor DAC is typically limited What Is Binary Weighted Resistor (note that summing circuits are sometimes also. A binary weighted resistor digital to analog converter (dac) is a type of digital to analog converter that converts a digital input. Binary weighted resistor dac explained. In this video, the basic terminologies of the. The following figure shows the circuit diagram of. A weighted resistor dac produces an analog output, which is. What Is Binary Weighted Resistor.
From www.slideserve.com
PPT Digital to Analogue Conversion PowerPoint Presentation ID161313 What Is Binary Weighted Resistor A weighted resistor dac produces an analog output, which is almost equal to the digital (binary) input by using binary weighted resistors in the. (note that summing circuits are sometimes also. Binary weighted resistor dac explained. A binary weighted resistor digital to analog converter (dac) is a type of digital to analog converter that converts a digital input. In the. What Is Binary Weighted Resistor.
From www.youtube.com
Digital to Analog Converter Binary Weighted Resistor YouTube What Is Binary Weighted Resistor In this video, the basic terminologies of the. A binary weighted resistor digital to analog converter (dac) is a type of digital to analog converter that converts a digital input. A weighted resistor dac produces an analog output, which is almost equal to the digital (binary) input by using binary weighted resistors in the. Binary weighted resistor dac explained. The. What Is Binary Weighted Resistor.
From www.youtube.com
Binary Weighted Resistor DAC YouTube What Is Binary Weighted Resistor A weighted resistor dac produces an analog output, which is almost equal to the digital (binary) input by using binary weighted resistors in the. (note that summing circuits are sometimes also. A binary weighted resistor digital to analog converter (dac) is a type of digital to analog converter that converts a digital input. The following figure shows the circuit diagram. What Is Binary Weighted Resistor.
From www.youtube.com
Binary weighted Resistor DAC YouTube What Is Binary Weighted Resistor (note that summing circuits are sometimes also. In the weighted resistor type dac, each digital level is converted into an equivalent analog voltage or current. The following figure shows the circuit diagram of. A binary weighted resistor digital to analog converter (dac) is a type of digital to analog converter that converts a digital input. In this video, the basic. What Is Binary Weighted Resistor.
From www.coursehero.com
[Solved] design a 4bit weighted resistor type DAC for the following What Is Binary Weighted Resistor (note that summing circuits are sometimes also. A binary weighted resistor digital to analog converter (dac) is a type of digital to analog converter that converts a digital input. In this video, the basic terminologies of the. Binary weighted resistor dac explained. A weighted resistor dac produces an analog output, which is almost equal to the digital (binary) input by. What Is Binary Weighted Resistor.
From www.slideserve.com
PPT DAC, Diodes and TRIACS PowerPoint Presentation, free download What Is Binary Weighted Resistor (note that summing circuits are sometimes also. The following figure shows the circuit diagram of. Binary weighted resistor dac explained. In the weighted resistor type dac, each digital level is converted into an equivalent analog voltage or current. A binary weighted resistor digital to analog converter (dac) is a type of digital to analog converter that converts a digital input.. What Is Binary Weighted Resistor.
From www.youtube.com
Binary WeightedResistor D/A Converter YouTube What Is Binary Weighted Resistor A weighted resistor dac produces an analog output, which is almost equal to the digital (binary) input by using binary weighted resistors in the. In the weighted resistor type dac, each digital level is converted into an equivalent analog voltage or current. A binary weighted resistor digital to analog converter (dac) is a type of digital to analog converter that. What Is Binary Weighted Resistor.
From www.slideserve.com
PPT Digital to Analog Conversion PowerPoint Presentation, free What Is Binary Weighted Resistor Binary weighted resistor dac explained. The following figure shows the circuit diagram of. A weighted resistor dac produces an analog output, which is almost equal to the digital (binary) input by using binary weighted resistors in the. (note that summing circuits are sometimes also. A binary weighted resistor digital to analog converter (dac) is a type of digital to analog. What Is Binary Weighted Resistor.
From microcontrollerslab.com
Binary Weighted Resistor DAC What Is Binary Weighted Resistor (note that summing circuits are sometimes also. In this video, the basic terminologies of the. A binary weighted resistor digital to analog converter (dac) is a type of digital to analog converter that converts a digital input. A weighted resistor dac produces an analog output, which is almost equal to the digital (binary) input by using binary weighted resistors in. What Is Binary Weighted Resistor.
From www.youtube.com
DAC USING BINARY WEIGHTED RESISTORS YouTube What Is Binary Weighted Resistor A binary weighted resistor digital to analog converter (dac) is a type of digital to analog converter that converts a digital input. In the weighted resistor type dac, each digital level is converted into an equivalent analog voltage or current. In this video, the basic terminologies of the. A weighted resistor dac produces an analog output, which is almost equal. What Is Binary Weighted Resistor.
From www.slideserve.com
PPT DAC, Diodes and TRIACS PowerPoint Presentation, free download What Is Binary Weighted Resistor In this video, the basic terminologies of the. A weighted resistor dac produces an analog output, which is almost equal to the digital (binary) input by using binary weighted resistors in the. In the weighted resistor type dac, each digital level is converted into an equivalent analog voltage or current. The following figure shows the circuit diagram of. Binary weighted. What Is Binary Weighted Resistor.
From akanekatsuragi.blogspot.com
Binary Weighted Resistor Dac Pdf What Is Binary Weighted Resistor A weighted resistor dac produces an analog output, which is almost equal to the digital (binary) input by using binary weighted resistors in the. (note that summing circuits are sometimes also. A binary weighted resistor digital to analog converter (dac) is a type of digital to analog converter that converts a digital input. In the weighted resistor type dac, each. What Is Binary Weighted Resistor.
From www.coursehero.com
[Solved] design a 4bit weighted resistor type DAC for the following What Is Binary Weighted Resistor A weighted resistor dac produces an analog output, which is almost equal to the digital (binary) input by using binary weighted resistors in the. In the weighted resistor type dac, each digital level is converted into an equivalent analog voltage or current. The following figure shows the circuit diagram of. A binary weighted resistor digital to analog converter (dac) is. What Is Binary Weighted Resistor.
From microdigisoft.com
Binary Weighted Resistor DAC Electronics Guide What Is Binary Weighted Resistor In the weighted resistor type dac, each digital level is converted into an equivalent analog voltage or current. A binary weighted resistor digital to analog converter (dac) is a type of digital to analog converter that converts a digital input. A weighted resistor dac produces an analog output, which is almost equal to the digital (binary) input by using binary. What Is Binary Weighted Resistor.
From microdigisoft.com
Binary Weighted Resistor DAC Electronics Guide What Is Binary Weighted Resistor The following figure shows the circuit diagram of. Binary weighted resistor dac explained. A weighted resistor dac produces an analog output, which is almost equal to the digital (binary) input by using binary weighted resistors in the. In the weighted resistor type dac, each digital level is converted into an equivalent analog voltage or current. A binary weighted resistor digital. What Is Binary Weighted Resistor.
From www.youtube.com
BINARY WEIGHTED RESISTORS TYPE DIGITAL TO ANALOG CONVERTER YouTube What Is Binary Weighted Resistor (note that summing circuits are sometimes also. In this video, the basic terminologies of the. In the weighted resistor type dac, each digital level is converted into an equivalent analog voltage or current. The following figure shows the circuit diagram of. Binary weighted resistor dac explained. A weighted resistor dac produces an analog output, which is almost equal to the. What Is Binary Weighted Resistor.
From www.youtube.com
Binary Weighted Resistor DAC Explained YouTube What Is Binary Weighted Resistor A binary weighted resistor digital to analog converter (dac) is a type of digital to analog converter that converts a digital input. Binary weighted resistor dac explained. In the weighted resistor type dac, each digital level is converted into an equivalent analog voltage or current. In this video, the basic terminologies of the. (note that summing circuits are sometimes also.. What Is Binary Weighted Resistor.