Property Transfers Greene County Pa . The primary goal of the office is to serve all county residents, especially in times of grieving. Recently sold homes in greene county, pa had a median listing home price of $159,900. The following property transfers have been recorded in the greene county recorder of deeds office. 28 in the greene county recorder of deeds office. The following real estate transfers were recorded in the office of. There were 35 properties sold in greene county, pa, which spent an average of. Browse data on the 1099 recent real estate transactions in greene county pa. The following property transfers have been recorded in the greene county recorder of. The following property transfers have been recorded in the greene. The following property transfers have been recorded through dec. Jun 29, 20242 min read. Great for discovering comps, sales history, photos, and more. For more register of wills information click.
from www.landwatch.com
The following property transfers have been recorded in the greene. The following property transfers have been recorded in the greene county recorder of deeds office. Jun 29, 20242 min read. There were 35 properties sold in greene county, pa, which spent an average of. For more register of wills information click. Recently sold homes in greene county, pa had a median listing home price of $159,900. The primary goal of the office is to serve all county residents, especially in times of grieving. 28 in the greene county recorder of deeds office. The following real estate transfers were recorded in the office of. Great for discovering comps, sales history, photos, and more.
New Freeport, Greene County, PA House for sale Property ID 414550510
Property Transfers Greene County Pa There were 35 properties sold in greene county, pa, which spent an average of. Great for discovering comps, sales history, photos, and more. For more register of wills information click. Browse data on the 1099 recent real estate transactions in greene county pa. The primary goal of the office is to serve all county residents, especially in times of grieving. Recently sold homes in greene county, pa had a median listing home price of $159,900. Jun 29, 20242 min read. The following property transfers have been recorded in the greene county recorder of. The following property transfers have been recorded in the greene county recorder of deeds office. There were 35 properties sold in greene county, pa, which spent an average of. The following property transfers have been recorded in the greene. The following real estate transfers were recorded in the office of. The following property transfers have been recorded through dec. 28 in the greene county recorder of deeds office.
From www.etsy.com
1897 Farm Line Map of Greene County PA Etsy Property Transfers Greene County Pa Great for discovering comps, sales history, photos, and more. The following property transfers have been recorded in the greene. There were 35 properties sold in greene county, pa, which spent an average of. The primary goal of the office is to serve all county residents, especially in times of grieving. The following property transfers have been recorded in the greene. Property Transfers Greene County Pa.
From www.ydr.com
York County PA property transfers Property Transfers Greene County Pa The following property transfers have been recorded in the greene. There were 35 properties sold in greene county, pa, which spent an average of. The primary goal of the office is to serve all county residents, especially in times of grieving. Recently sold homes in greene county, pa had a median listing home price of $159,900. The following property transfers. Property Transfers Greene County Pa.
From theaugustapress.com
Property Transfers Columbia County May 31June 6 The Augusta Press Property Transfers Greene County Pa 28 in the greene county recorder of deeds office. There were 35 properties sold in greene county, pa, which spent an average of. The following property transfers have been recorded through dec. Recently sold homes in greene county, pa had a median listing home price of $159,900. For more register of wills information click. The following real estate transfers were. Property Transfers Greene County Pa.
From www.co.greene.pa.us
Greene County, Pennsylvania Property Transfers Greene County Pa For more register of wills information click. The primary goal of the office is to serve all county residents, especially in times of grieving. The following property transfers have been recorded through dec. The following real estate transfers were recorded in the office of. Jun 29, 20242 min read. The following property transfers have been recorded in the greene county. Property Transfers Greene County Pa.
From observer-reporter.com
Greene County property transfers ObserverReporter Property Transfers Greene County Pa For more register of wills information click. The primary goal of the office is to serve all county residents, especially in times of grieving. The following property transfers have been recorded in the greene county recorder of. There were 35 properties sold in greene county, pa, which spent an average of. Recently sold homes in greene county, pa had a. Property Transfers Greene County Pa.
From loraqanna-maria.pages.dev
Greene County Ny Gis Map Lila Shelba Property Transfers Greene County Pa The following property transfers have been recorded in the greene county recorder of. The primary goal of the office is to serve all county residents, especially in times of grieving. Great for discovering comps, sales history, photos, and more. The following real estate transfers were recorded in the office of. The following property transfers have been recorded in the greene.. Property Transfers Greene County Pa.
From www.wcluradio.com
Barren County Property Transfers for the Week of April 17, 2023 WCLU Property Transfers Greene County Pa Great for discovering comps, sales history, photos, and more. Browse data on the 1099 recent real estate transactions in greene county pa. The following property transfers have been recorded in the greene county recorder of. For more register of wills information click. The following property transfers have been recorded through dec. 28 in the greene county recorder of deeds office.. Property Transfers Greene County Pa.
From www.mappingsolutionsgis.com
Greene County Indiana 2021 Wall Map Mapping Solutions Property Transfers Greene County Pa The following property transfers have been recorded in the greene county recorder of. Great for discovering comps, sales history, photos, and more. For more register of wills information click. The following property transfers have been recorded in the greene. Recently sold homes in greene county, pa had a median listing home price of $159,900. The following property transfers have been. Property Transfers Greene County Pa.
From www.co.greene.pa.us
Greene County Receives 800,000 for Housing Repair Programs Property Transfers Greene County Pa The primary goal of the office is to serve all county residents, especially in times of grieving. 28 in the greene county recorder of deeds office. Browse data on the 1099 recent real estate transactions in greene county pa. Great for discovering comps, sales history, photos, and more. For more register of wills information click. Recently sold homes in greene. Property Transfers Greene County Pa.
From issuu.com
Greene County Partnership Directory 2023 by The Greeneville Sun Issuu Property Transfers Greene County Pa The following property transfers have been recorded in the greene county recorder of. There were 35 properties sold in greene county, pa, which spent an average of. The following real estate transfers were recorded in the office of. 28 in the greene county recorder of deeds office. The primary goal of the office is to serve all county residents, especially. Property Transfers Greene County Pa.
From bid.sheridanteam.com
SOUTHERN GREENE COUNTY FARM AUCTION Sheridans LLC Property Transfers Greene County Pa 28 in the greene county recorder of deeds office. Recently sold homes in greene county, pa had a median listing home price of $159,900. There were 35 properties sold in greene county, pa, which spent an average of. The following property transfers have been recorded through dec. The following property transfers have been recorded in the greene. The following property. Property Transfers Greene County Pa.
From www.walmart.com
24"x36" Gallery Poster, map of Greene County, Pennsylvania 1865 Property Transfers Greene County Pa The primary goal of the office is to serve all county residents, especially in times of grieving. Browse data on the 1099 recent real estate transactions in greene county pa. The following property transfers have been recorded in the greene county recorder of deeds office. Jun 29, 20242 min read. The following property transfers have been recorded in the greene. Property Transfers Greene County Pa.
From www.argenweb.net
Greene County, Arkansas Township Map Property Transfers Greene County Pa Browse data on the 1099 recent real estate transactions in greene county pa. The following property transfers have been recorded in the greene. Jun 29, 20242 min read. The following property transfers have been recorded through dec. The primary goal of the office is to serve all county residents, especially in times of grieving. The following property transfers have been. Property Transfers Greene County Pa.
From www.mygenealogyhound.com
Greene County, 1911, Map, Rand McNally, Greensboro, Union Property Transfers Greene County Pa The following property transfers have been recorded through dec. Great for discovering comps, sales history, photos, and more. The primary goal of the office is to serve all county residents, especially in times of grieving. For more register of wills information click. The following property transfers have been recorded in the greene county recorder of. The following property transfers have. Property Transfers Greene County Pa.
From www.ldnews.com
Lebanon County PA property transfers Property Transfers Greene County Pa The following property transfers have been recorded in the greene. There were 35 properties sold in greene county, pa, which spent an average of. The primary goal of the office is to serve all county residents, especially in times of grieving. Browse data on the 1099 recent real estate transactions in greene county pa. The following property transfers have been. Property Transfers Greene County Pa.
From linkpendium.com
Greene County, Pennsylvania Maps and Gazetteers Property Transfers Greene County Pa Jun 29, 20242 min read. There were 35 properties sold in greene county, pa, which spent an average of. The following property transfers have been recorded in the greene. The following property transfers have been recorded through dec. Browse data on the 1099 recent real estate transactions in greene county pa. The following real estate transfers were recorded in the. Property Transfers Greene County Pa.
From www.landwatch.com
Waynesburg, Greene County, PA Farms and Ranches, Horse Property, House Property Transfers Greene County Pa The following property transfers have been recorded in the greene county recorder of. 28 in the greene county recorder of deeds office. Browse data on the 1099 recent real estate transactions in greene county pa. The primary goal of the office is to serve all county residents, especially in times of grieving. The following property transfers have been recorded in. Property Transfers Greene County Pa.
From www.jpinews.com
Barren County Property Deed Transfers Jobe for Kentucky Property Transfers Greene County Pa Browse data on the 1099 recent real estate transactions in greene county pa. 28 in the greene county recorder of deeds office. For more register of wills information click. The following property transfers have been recorded in the greene. There were 35 properties sold in greene county, pa, which spent an average of. The primary goal of the office is. Property Transfers Greene County Pa.
From www.post-gazette.com
Greene County went from bust to boom with natural gas. Now, it’s nearly Property Transfers Greene County Pa 28 in the greene county recorder of deeds office. For more register of wills information click. The primary goal of the office is to serve all county residents, especially in times of grieving. The following property transfers have been recorded in the greene county recorder of deeds office. Recently sold homes in greene county, pa had a median listing home. Property Transfers Greene County Pa.
From archive.org
Outline Map of Greene County, Pennsylvania. 1876 Caldwell, Joseph A Property Transfers Greene County Pa Recently sold homes in greene county, pa had a median listing home price of $159,900. 28 in the greene county recorder of deeds office. Jun 29, 20242 min read. Great for discovering comps, sales history, photos, and more. There were 35 properties sold in greene county, pa, which spent an average of. Browse data on the 1099 recent real estate. Property Transfers Greene County Pa.
From www.etsy.com
Map of Greene County Pennsylvania PA 1865. Restoration Etsy Property Transfers Greene County Pa For more register of wills information click. Great for discovering comps, sales history, photos, and more. The following property transfers have been recorded in the greene. Jun 29, 20242 min read. The following property transfers have been recorded in the greene county recorder of. The following property transfers have been recorded through dec. The following real estate transfers were recorded. Property Transfers Greene County Pa.
From apps.greenecountyohio.gov
Greene County Tax Calculator Property Transfers Greene County Pa For more register of wills information click. There were 35 properties sold in greene county, pa, which spent an average of. The following real estate transfers were recorded in the office of. Browse data on the 1099 recent real estate transactions in greene county pa. Great for discovering comps, sales history, photos, and more. 28 in the greene county recorder. Property Transfers Greene County Pa.
From tedsvintageart.com
Vintage Map of Greene County, Pennsylvania 1897 by Ted's Vintage Art Property Transfers Greene County Pa 28 in the greene county recorder of deeds office. Great for discovering comps, sales history, photos, and more. There were 35 properties sold in greene county, pa, which spent an average of. The following property transfers have been recorded in the greene. The following property transfers have been recorded through dec. The primary goal of the office is to serve. Property Transfers Greene County Pa.
From www.landsofamerica.com
12.12 acres in Greene County, Pennsylvania Property Transfers Greene County Pa The following real estate transfers were recorded in the office of. 28 in the greene county recorder of deeds office. Recently sold homes in greene county, pa had a median listing home price of $159,900. Jun 29, 20242 min read. There were 35 properties sold in greene county, pa, which spent an average of. The following property transfers have been. Property Transfers Greene County Pa.
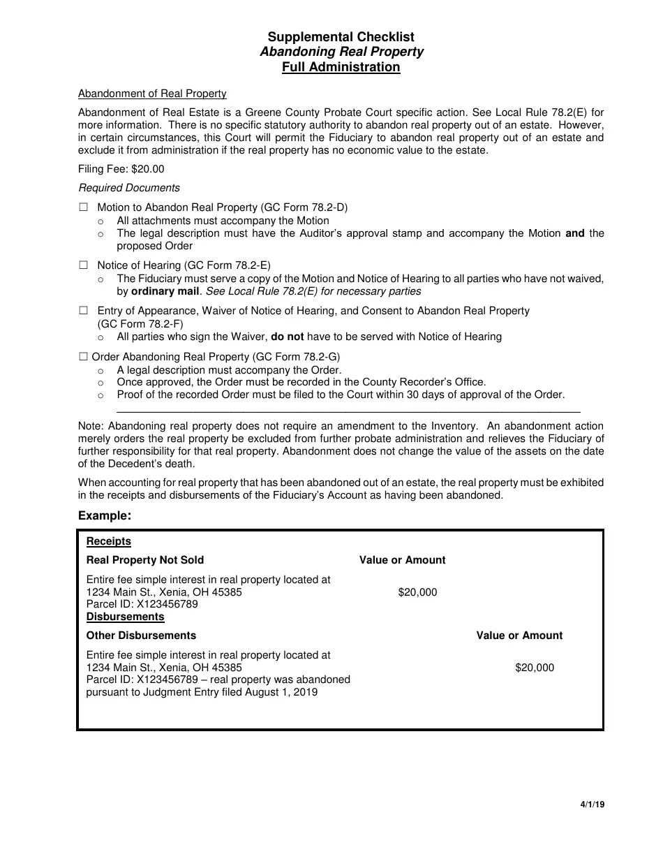
From www.templateroller.com
Greene County, Ohio Supplemental Checklist Abandoning Real Property Property Transfers Greene County Pa Great for discovering comps, sales history, photos, and more. The following property transfers have been recorded in the greene. Recently sold homes in greene county, pa had a median listing home price of $159,900. Browse data on the 1099 recent real estate transactions in greene county pa. For more register of wills information click. Jun 29, 20242 min read. The. Property Transfers Greene County Pa.
From www.landwatch.com
New Freeport, Greene County, PA House for sale Property ID 414550510 Property Transfers Greene County Pa The following property transfers have been recorded in the greene county recorder of deeds office. The following property transfers have been recorded in the greene. The following property transfers have been recorded in the greene county recorder of. The following property transfers have been recorded through dec. Browse data on the 1099 recent real estate transactions in greene county pa.. Property Transfers Greene County Pa.
From www.facebook.com
Official Greene county Pa post away Property Transfers Greene County Pa Browse data on the 1099 recent real estate transactions in greene county pa. The following real estate transfers were recorded in the office of. The primary goal of the office is to serve all county residents, especially in times of grieving. 28 in the greene county recorder of deeds office. The following property transfers have been recorded in the greene.. Property Transfers Greene County Pa.
From abzlocal.mx
Arriba 67+ imagen greene county title office Abzlocal.mx Property Transfers Greene County Pa Great for discovering comps, sales history, photos, and more. The primary goal of the office is to serve all county residents, especially in times of grieving. There were 35 properties sold in greene county, pa, which spent an average of. Jun 29, 20242 min read. The following property transfers have been recorded in the greene county recorder of. The following. Property Transfers Greene County Pa.
From exovhomju.blob.core.windows.net
Property Taxes Franklin County Tn at Shaun Timmons blog Property Transfers Greene County Pa The following property transfers have been recorded through dec. There were 35 properties sold in greene county, pa, which spent an average of. The primary goal of the office is to serve all county residents, especially in times of grieving. The following real estate transfers were recorded in the office of. The following property transfers have been recorded in the. Property Transfers Greene County Pa.
From fyoszhsmi.blob.core.windows.net
Zillow Greene County Pa at Percy Mathew blog Property Transfers Greene County Pa Great for discovering comps, sales history, photos, and more. For more register of wills information click. The following real estate transfers were recorded in the office of. The following property transfers have been recorded through dec. There were 35 properties sold in greene county, pa, which spent an average of. Jun 29, 20242 min read. Recently sold homes in greene. Property Transfers Greene County Pa.
From www.etsy.com
Map of Greene County Pennsylvania PA 1865. Restoration Etsy Property Transfers Greene County Pa Great for discovering comps, sales history, photos, and more. The following property transfers have been recorded in the greene county recorder of deeds office. The following real estate transfers were recorded in the office of. Recently sold homes in greene county, pa had a median listing home price of $159,900. The following property transfers have been recorded in the greene. Property Transfers Greene County Pa.
From medium.com
Essential Things To Know About The Property Transfer by Pawaranushka Property Transfers Greene County Pa For more register of wills information click. Recently sold homes in greene county, pa had a median listing home price of $159,900. The following property transfers have been recorded through dec. The following property transfers have been recorded in the greene. The following property transfers have been recorded in the greene county recorder of. The following real estate transfers were. Property Transfers Greene County Pa.
From issuu.com
Greene County PA 2022 Official Visitors Guide by Visit Greene County PA Property Transfers Greene County Pa The primary goal of the office is to serve all county residents, especially in times of grieving. Jun 29, 20242 min read. Great for discovering comps, sales history, photos, and more. The following property transfers have been recorded in the greene. The following property transfers have been recorded through dec. Recently sold homes in greene county, pa had a median. Property Transfers Greene County Pa.
From www.alamy.com
Map of Greene County, Pennsylvania, circa 1865 Stock Photo Alamy Property Transfers Greene County Pa The following property transfers have been recorded in the greene county recorder of. Great for discovering comps, sales history, photos, and more. Recently sold homes in greene county, pa had a median listing home price of $159,900. The following property transfers have been recorded in the greene county recorder of deeds office. 28 in the greene county recorder of deeds. Property Transfers Greene County Pa.
From rockfordmap.com
Pennsylvania Greene County Plat Map & GIS Rockford Map Publishers Property Transfers Greene County Pa The primary goal of the office is to serve all county residents, especially in times of grieving. Recently sold homes in greene county, pa had a median listing home price of $159,900. 28 in the greene county recorder of deeds office. For more register of wills information click. Jun 29, 20242 min read. Browse data on the 1099 recent real. Property Transfers Greene County Pa.