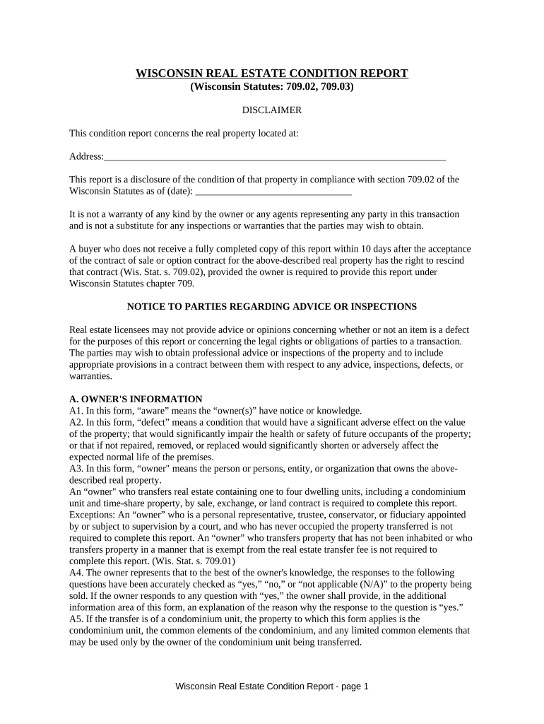
Vermont Real Estate Disclosure Laws . According to vermont’s property disclosure law, all sellers of. Vermont real estate disclosure requirements state real estate disclosures. This form covers a wide range of topics,. In this post, we will explore vermont’s real estate disclosure laws, which are designed to ensure transparency and protect. The real estate commission, together with the secretary of state’s office of professional regulation (opr), provide governance, oversight. This blog post aims to guide sellers through this process, highlighting why disclosures are essential and how they can prevent future legal issues. When selling a property in vermont, understanding the importance of disclosures to prospective buyers is crucial. (this is not a contract) this mandatory disclosure shall be given to the. We've summarized the key questions you'll have to answer on your seller's disclosure statement below, grouped by topic. What are vermont regulations for real estate property disclosure laws? In vermont, sellers are required to complete a residential property disclosure form, which is provided by the vermont association of realtors. Vermont requires sellers to disclose basic information, like how long you've owned the property, plus detailed specifics about the property.
from www.jenkslawyer.com
In vermont, sellers are required to complete a residential property disclosure form, which is provided by the vermont association of realtors. We've summarized the key questions you'll have to answer on your seller's disclosure statement below, grouped by topic. Vermont real estate disclosure requirements state real estate disclosures. In this post, we will explore vermont’s real estate disclosure laws, which are designed to ensure transparency and protect. According to vermont’s property disclosure law, all sellers of. Vermont requires sellers to disclose basic information, like how long you've owned the property, plus detailed specifics about the property. This blog post aims to guide sellers through this process, highlighting why disclosures are essential and how they can prevent future legal issues. This form covers a wide range of topics,. (this is not a contract) this mandatory disclosure shall be given to the. The real estate commission, together with the secretary of state’s office of professional regulation (opr), provide governance, oversight.
Real Estate Disclosure Defense Lawyer Tulsa, Oklahoma
Vermont Real Estate Disclosure Laws Vermont real estate disclosure requirements state real estate disclosures. Vermont real estate disclosure requirements state real estate disclosures. When selling a property in vermont, understanding the importance of disclosures to prospective buyers is crucial. According to vermont’s property disclosure law, all sellers of. (this is not a contract) this mandatory disclosure shall be given to the. The real estate commission, together with the secretary of state’s office of professional regulation (opr), provide governance, oversight. In vermont, sellers are required to complete a residential property disclosure form, which is provided by the vermont association of realtors. We've summarized the key questions you'll have to answer on your seller's disclosure statement below, grouped by topic. Vermont requires sellers to disclose basic information, like how long you've owned the property, plus detailed specifics about the property. This form covers a wide range of topics,. In this post, we will explore vermont’s real estate disclosure laws, which are designed to ensure transparency and protect. What are vermont regulations for real estate property disclosure laws? This blog post aims to guide sellers through this process, highlighting why disclosures are essential and how they can prevent future legal issues.
From blogs.law.columbia.edu
State Disclosure Laws Leave Homebuyers in the Dark about Flood Risks Vermont Real Estate Disclosure Laws We've summarized the key questions you'll have to answer on your seller's disclosure statement below, grouped by topic. Vermont requires sellers to disclose basic information, like how long you've owned the property, plus detailed specifics about the property. The real estate commission, together with the secretary of state’s office of professional regulation (opr), provide governance, oversight. In vermont, sellers are. Vermont Real Estate Disclosure Laws.
From www.orhp.com
Disclosure Law 4 Things Your Sellers Need to Know Vermont Real Estate Disclosure Laws We've summarized the key questions you'll have to answer on your seller's disclosure statement below, grouped by topic. This form covers a wide range of topics,. Vermont real estate disclosure requirements state real estate disclosures. The real estate commission, together with the secretary of state’s office of professional regulation (opr), provide governance, oversight. In vermont, sellers are required to complete. Vermont Real Estate Disclosure Laws.
From www.signnow.com
Vermont Agency Disclosure Form Made Fillable by EForms Fill Out and Vermont Real Estate Disclosure Laws Vermont requires sellers to disclose basic information, like how long you've owned the property, plus detailed specifics about the property. The real estate commission, together with the secretary of state’s office of professional regulation (opr), provide governance, oversight. When selling a property in vermont, understanding the importance of disclosures to prospective buyers is crucial. What are vermont regulations for real. Vermont Real Estate Disclosure Laws.
From nap.nationalacademies.org
APPENDIX A REAL ESTATE FAIR DISCLOSURE LAW Fair Disclosure and Vermont Real Estate Disclosure Laws Vermont real estate disclosure requirements state real estate disclosures. What are vermont regulations for real estate property disclosure laws? When selling a property in vermont, understanding the importance of disclosures to prospective buyers is crucial. In this post, we will explore vermont’s real estate disclosure laws, which are designed to ensure transparency and protect. The real estate commission, together with. Vermont Real Estate Disclosure Laws.
From newventureescrow.com
What Do You Have to Disclose When Selling a House in California Vermont Real Estate Disclosure Laws (this is not a contract) this mandatory disclosure shall be given to the. The real estate commission, together with the secretary of state’s office of professional regulation (opr), provide governance, oversight. What are vermont regulations for real estate property disclosure laws? In vermont, sellers are required to complete a residential property disclosure form, which is provided by the vermont association. Vermont Real Estate Disclosure Laws.
From blurealtyservices.com
Haunted Houses and Real Estate Disclosure Laws in Florida What You Vermont Real Estate Disclosure Laws Vermont requires sellers to disclose basic information, like how long you've owned the property, plus detailed specifics about the property. This form covers a wide range of topics,. (this is not a contract) this mandatory disclosure shall be given to the. What are vermont regulations for real estate property disclosure laws? According to vermont’s property disclosure law, all sellers of.. Vermont Real Estate Disclosure Laws.
From www.signnow.com
Maine Real Estate Brokerage Relationship Disclosure Form Fill Out and Vermont Real Estate Disclosure Laws According to vermont’s property disclosure law, all sellers of. In this post, we will explore vermont’s real estate disclosure laws, which are designed to ensure transparency and protect. (this is not a contract) this mandatory disclosure shall be given to the. This form covers a wide range of topics,. Vermont requires sellers to disclose basic information, like how long you've. Vermont Real Estate Disclosure Laws.
From thechicagolandlawyer.com
Real Estate Disclosures in Illinois, 2022 Form + FSBO Law Vermont Real Estate Disclosure Laws What are vermont regulations for real estate property disclosure laws? According to vermont’s property disclosure law, all sellers of. Vermont real estate disclosure requirements state real estate disclosures. The real estate commission, together with the secretary of state’s office of professional regulation (opr), provide governance, oversight. When selling a property in vermont, understanding the importance of disclosures to prospective buyers. Vermont Real Estate Disclosure Laws.
From www.uslegalforms.com
Vermont Residential Real Estate Sales Disclosure Statement Vermont Vermont Real Estate Disclosure Laws (this is not a contract) this mandatory disclosure shall be given to the. The real estate commission, together with the secretary of state’s office of professional regulation (opr), provide governance, oversight. This blog post aims to guide sellers through this process, highlighting why disclosures are essential and how they can prevent future legal issues. According to vermont’s property disclosure law,. Vermont Real Estate Disclosure Laws.
From www.templateroller.com
Vermont Vermont Lead Law Disclosure and IRC Practices Verification Form Vermont Real Estate Disclosure Laws This form covers a wide range of topics,. In vermont, sellers are required to complete a residential property disclosure form, which is provided by the vermont association of realtors. In this post, we will explore vermont’s real estate disclosure laws, which are designed to ensure transparency and protect. This blog post aims to guide sellers through this process, highlighting why. Vermont Real Estate Disclosure Laws.
From esign.com
Free Virginia Property Disclosure Statement PDF Word Vermont Real Estate Disclosure Laws (this is not a contract) this mandatory disclosure shall be given to the. The real estate commission, together with the secretary of state’s office of professional regulation (opr), provide governance, oversight. This blog post aims to guide sellers through this process, highlighting why disclosures are essential and how they can prevent future legal issues. Vermont real estate disclosure requirements state. Vermont Real Estate Disclosure Laws.
From www.uslegalforms.com
Mississippi Real Estate Disclosure Law Withholding US Legal Forms Vermont Real Estate Disclosure Laws This blog post aims to guide sellers through this process, highlighting why disclosures are essential and how they can prevent future legal issues. According to vermont’s property disclosure law, all sellers of. When selling a property in vermont, understanding the importance of disclosures to prospective buyers is crucial. In this post, we will explore vermont’s real estate disclosure laws, which. Vermont Real Estate Disclosure Laws.
From www.sampleforms.com
FREE 10+ Sample Real Estate Disclosure Forms in PDF MS Word Vermont Real Estate Disclosure Laws In this post, we will explore vermont’s real estate disclosure laws, which are designed to ensure transparency and protect. Vermont requires sellers to disclose basic information, like how long you've owned the property, plus detailed specifics about the property. The real estate commission, together with the secretary of state’s office of professional regulation (opr), provide governance, oversight. We've summarized the. Vermont Real Estate Disclosure Laws.
From www.pdffiller.com
Vermont Lead Law Real Estate Transaction Fill Online, Printable Vermont Real Estate Disclosure Laws (this is not a contract) this mandatory disclosure shall be given to the. This blog post aims to guide sellers through this process, highlighting why disclosures are essential and how they can prevent future legal issues. In this post, we will explore vermont’s real estate disclosure laws, which are designed to ensure transparency and protect. We've summarized the key questions. Vermont Real Estate Disclosure Laws.
From www.dochub.com
Wisconsin real estate disclosure laws Fill out & sign online DocHub Vermont Real Estate Disclosure Laws We've summarized the key questions you'll have to answer on your seller's disclosure statement below, grouped by topic. This form covers a wide range of topics,. This blog post aims to guide sellers through this process, highlighting why disclosures are essential and how they can prevent future legal issues. The real estate commission, together with the secretary of state’s office. Vermont Real Estate Disclosure Laws.
From www.uslegalforms.com
Texas Residential Real Estate Sales Disclosure Statement US Legal Forms Vermont Real Estate Disclosure Laws What are vermont regulations for real estate property disclosure laws? (this is not a contract) this mandatory disclosure shall be given to the. This form covers a wide range of topics,. Vermont real estate disclosure requirements state real estate disclosures. According to vermont’s property disclosure law, all sellers of. When selling a property in vermont, understanding the importance of disclosures. Vermont Real Estate Disclosure Laws.
From exoetedch.blob.core.windows.net
Canada Real Estate Disclosure Laws at Kevin Atkins blog Vermont Real Estate Disclosure Laws When selling a property in vermont, understanding the importance of disclosures to prospective buyers is crucial. This blog post aims to guide sellers through this process, highlighting why disclosures are essential and how they can prevent future legal issues. This form covers a wide range of topics,. We've summarized the key questions you'll have to answer on your seller's disclosure. Vermont Real Estate Disclosure Laws.
From speedypaper.com
📚 Essay Sample on Real Estate Disclosure Laws Vermont Real Estate Disclosure Laws We've summarized the key questions you'll have to answer on your seller's disclosure statement below, grouped by topic. Vermont requires sellers to disclose basic information, like how long you've owned the property, plus detailed specifics about the property. According to vermont’s property disclosure law, all sellers of. The real estate commission, together with the secretary of state’s office of professional. Vermont Real Estate Disclosure Laws.
From richr.com
The Ultimate Guide to Seller Disclosures in Vermont Mastering the Vermont Real Estate Disclosure Laws This blog post aims to guide sellers through this process, highlighting why disclosures are essential and how they can prevent future legal issues. Vermont real estate disclosure requirements state real estate disclosures. According to vermont’s property disclosure law, all sellers of. In vermont, sellers are required to complete a residential property disclosure form, which is provided by the vermont association. Vermont Real Estate Disclosure Laws.
From www.linkedin.com
Erin Ethridge on LinkedIn Understanding Real Estate Disclosure Laws Vermont Real Estate Disclosure Laws We've summarized the key questions you'll have to answer on your seller's disclosure statement below, grouped by topic. In vermont, sellers are required to complete a residential property disclosure form, which is provided by the vermont association of realtors. What are vermont regulations for real estate property disclosure laws? This form covers a wide range of topics,. In this post,. Vermont Real Estate Disclosure Laws.
From prosperopedia.com
What Are Real Estate Disclosure Laws? The Handbook of Prosperity Vermont Real Estate Disclosure Laws In this post, we will explore vermont’s real estate disclosure laws, which are designed to ensure transparency and protect. Vermont requires sellers to disclose basic information, like how long you've owned the property, plus detailed specifics about the property. (this is not a contract) this mandatory disclosure shall be given to the. According to vermont’s property disclosure law, all sellers. Vermont Real Estate Disclosure Laws.
From www.propertiesinjuneau.com
Residential Property Disclosures Latitude 58 Real Estate Group Vermont Real Estate Disclosure Laws This form covers a wide range of topics,. In vermont, sellers are required to complete a residential property disclosure form, which is provided by the vermont association of realtors. In this post, we will explore vermont’s real estate disclosure laws, which are designed to ensure transparency and protect. Vermont real estate disclosure requirements state real estate disclosures. When selling a. Vermont Real Estate Disclosure Laws.
From www.uslegalforms.com
Vermont Residential Real Estate Sales Disclosure Statement Property Vermont Real Estate Disclosure Laws We've summarized the key questions you'll have to answer on your seller's disclosure statement below, grouped by topic. This blog post aims to guide sellers through this process, highlighting why disclosures are essential and how they can prevent future legal issues. In vermont, sellers are required to complete a residential property disclosure form, which is provided by the vermont association. Vermont Real Estate Disclosure Laws.
From www.ramseysolutions.com
Vermont Real Estate Agents Ramsey Vermont Real Estate Disclosure Laws This blog post aims to guide sellers through this process, highlighting why disclosures are essential and how they can prevent future legal issues. We've summarized the key questions you'll have to answer on your seller's disclosure statement below, grouped by topic. This form covers a wide range of topics,. In vermont, sellers are required to complete a residential property disclosure. Vermont Real Estate Disclosure Laws.
From exoxnvyiz.blob.core.windows.net
Colorado Real Estate Disclosure Laws at Rodney Bruce blog Vermont Real Estate Disclosure Laws (this is not a contract) this mandatory disclosure shall be given to the. In this post, we will explore vermont’s real estate disclosure laws, which are designed to ensure transparency and protect. According to vermont’s property disclosure law, all sellers of. Vermont requires sellers to disclose basic information, like how long you've owned the property, plus detailed specifics about the. Vermont Real Estate Disclosure Laws.
From www.templateroller.com
Vermont Vermont Lead Law Disclosure and IRC Practices Verification Form Vermont Real Estate Disclosure Laws The real estate commission, together with the secretary of state’s office of professional regulation (opr), provide governance, oversight. We've summarized the key questions you'll have to answer on your seller's disclosure statement below, grouped by topic. This blog post aims to guide sellers through this process, highlighting why disclosures are essential and how they can prevent future legal issues. When. Vermont Real Estate Disclosure Laws.
From exoxnvyiz.blob.core.windows.net
Colorado Real Estate Disclosure Laws at Rodney Bruce blog Vermont Real Estate Disclosure Laws This blog post aims to guide sellers through this process, highlighting why disclosures are essential and how they can prevent future legal issues. In this post, we will explore vermont’s real estate disclosure laws, which are designed to ensure transparency and protect. In vermont, sellers are required to complete a residential property disclosure form, which is provided by the vermont. Vermont Real Estate Disclosure Laws.
From buildingbetteragents.com
Protect Your Client And Yourself Understand Real Estate Disclosure Vermont Real Estate Disclosure Laws Vermont requires sellers to disclose basic information, like how long you've owned the property, plus detailed specifics about the property. The real estate commission, together with the secretary of state’s office of professional regulation (opr), provide governance, oversight. What are vermont regulations for real estate property disclosure laws? In this post, we will explore vermont’s real estate disclosure laws, which. Vermont Real Estate Disclosure Laws.
From www.virtuslaw.com
Minnesota Real Estate Disclosure Laws Virtus Law Vermont Real Estate Disclosure Laws When selling a property in vermont, understanding the importance of disclosures to prospective buyers is crucial. This blog post aims to guide sellers through this process, highlighting why disclosures are essential and how they can prevent future legal issues. According to vermont’s property disclosure law, all sellers of. This form covers a wide range of topics,. What are vermont regulations. Vermont Real Estate Disclosure Laws.
From www.jenkslawyer.com
Real Estate Disclosure Defense Lawyer Tulsa, Oklahoma Vermont Real Estate Disclosure Laws (this is not a contract) this mandatory disclosure shall be given to the. The real estate commission, together with the secretary of state’s office of professional regulation (opr), provide governance, oversight. In vermont, sellers are required to complete a residential property disclosure form, which is provided by the vermont association of realtors. Vermont real estate disclosure requirements state real estate. Vermont Real Estate Disclosure Laws.
From www.uslegalforms.com
Kansas Residential Real Estate Sales Disclosure Statement Real Estate Vermont Real Estate Disclosure Laws The real estate commission, together with the secretary of state’s office of professional regulation (opr), provide governance, oversight. What are vermont regulations for real estate property disclosure laws? In this post, we will explore vermont’s real estate disclosure laws, which are designed to ensure transparency and protect. In vermont, sellers are required to complete a residential property disclosure form, which. Vermont Real Estate Disclosure Laws.
From www.uslegalforms.com
Wilmington North Carolina Residential Real Estate Sales Disclosure Vermont Real Estate Disclosure Laws According to vermont’s property disclosure law, all sellers of. Vermont requires sellers to disclose basic information, like how long you've owned the property, plus detailed specifics about the property. We've summarized the key questions you'll have to answer on your seller's disclosure statement below, grouped by topic. Vermont real estate disclosure requirements state real estate disclosures. What are vermont regulations. Vermont Real Estate Disclosure Laws.
From gottlieblawaz.com
Understanding Real Estate Disclosure Laws in Arizona When Selling a Vermont Real Estate Disclosure Laws We've summarized the key questions you'll have to answer on your seller's disclosure statement below, grouped by topic. When selling a property in vermont, understanding the importance of disclosures to prospective buyers is crucial. According to vermont’s property disclosure law, all sellers of. Vermont real estate disclosure requirements state real estate disclosures. Vermont requires sellers to disclose basic information, like. Vermont Real Estate Disclosure Laws.
From www.vermontrealtors.com
A Review of Vermont Real Estate Law Dec. 11 Vermont Association of Vermont Real Estate Disclosure Laws In vermont, sellers are required to complete a residential property disclosure form, which is provided by the vermont association of realtors. In this post, we will explore vermont’s real estate disclosure laws, which are designed to ensure transparency and protect. Vermont requires sellers to disclose basic information, like how long you've owned the property, plus detailed specifics about the property.. Vermont Real Estate Disclosure Laws.
From www.pdffiller.com
Real Estate Statement Fill Online, Printable, Fillable, Blank pdfFiller Vermont Real Estate Disclosure Laws What are vermont regulations for real estate property disclosure laws? (this is not a contract) this mandatory disclosure shall be given to the. In this post, we will explore vermont’s real estate disclosure laws, which are designed to ensure transparency and protect. In vermont, sellers are required to complete a residential property disclosure form, which is provided by the vermont. Vermont Real Estate Disclosure Laws.