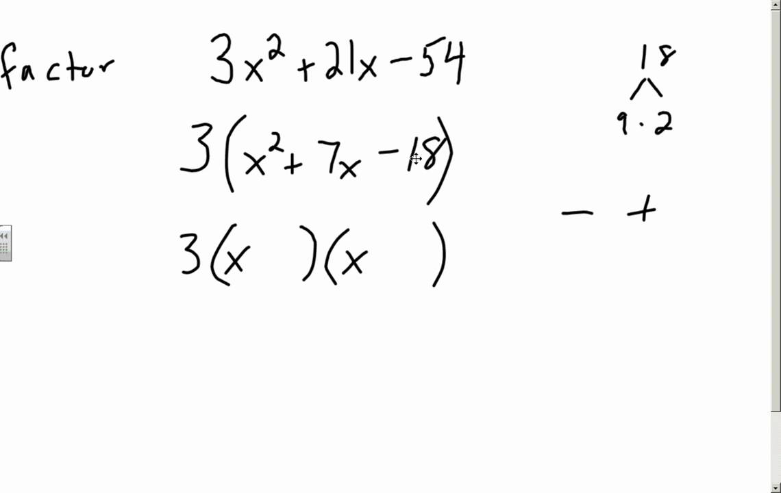
Factoring Basic Trinomials . factor trinomials with a common factor. how to factor trinomials step by step tutorial. strategy for factoring trinomials of the form x^2+bx+c: this math video tutorial shows you how to factor trinomials the easy fast way. in short, if the leading coefficient of a factorable trinomial is 1, then the factors of the last term must add up to the. When we factor a trinomial, we look at the signs of its terms first to. Factoring trinomials of the form ax2 + bx + c can be challenging. to factor a trinomial in the form \displaystyle ax^ {2}+bx+c ax2 + bx + c, find two integers, r and s, whose sum is b and.
from www.youtube.com
strategy for factoring trinomials of the form x^2+bx+c: to factor a trinomial in the form \displaystyle ax^ {2}+bx+c ax2 + bx + c, find two integers, r and s, whose sum is b and. factor trinomials with a common factor. When we factor a trinomial, we look at the signs of its terms first to. how to factor trinomials step by step tutorial. this math video tutorial shows you how to factor trinomials the easy fast way. Factoring trinomials of the form ax2 + bx + c can be challenging. in short, if the leading coefficient of a factorable trinomial is 1, then the factors of the last term must add up to the.
Factoring Basic Trinomials YouTube
Factoring Basic Trinomials how to factor trinomials step by step tutorial. this math video tutorial shows you how to factor trinomials the easy fast way. how to factor trinomials step by step tutorial. factor trinomials with a common factor. When we factor a trinomial, we look at the signs of its terms first to. to factor a trinomial in the form \displaystyle ax^ {2}+bx+c ax2 + bx + c, find two integers, r and s, whose sum is b and. Factoring trinomials of the form ax2 + bx + c can be challenging. in short, if the leading coefficient of a factorable trinomial is 1, then the factors of the last term must add up to the. strategy for factoring trinomials of the form x^2+bx+c:
From www.teachertube.com
Factoring Basic Quadratic Trinomials Factoring Basic Trinomials how to factor trinomials step by step tutorial. When we factor a trinomial, we look at the signs of its terms first to. this math video tutorial shows you how to factor trinomials the easy fast way. to factor a trinomial in the form \displaystyle ax^ {2}+bx+c ax2 + bx + c, find two integers, r and. Factoring Basic Trinomials.
From www.showme.com
Factoring Trinomials Math ShowMe Factoring Basic Trinomials this math video tutorial shows you how to factor trinomials the easy fast way. to factor a trinomial in the form \displaystyle ax^ {2}+bx+c ax2 + bx + c, find two integers, r and s, whose sum is b and. When we factor a trinomial, we look at the signs of its terms first to. in short,. Factoring Basic Trinomials.
From www.youtube.com
Common Core Math Factoring Basic Trinomials YouTube Factoring Basic Trinomials to factor a trinomial in the form \displaystyle ax^ {2}+bx+c ax2 + bx + c, find two integers, r and s, whose sum is b and. When we factor a trinomial, we look at the signs of its terms first to. factor trinomials with a common factor. how to factor trinomials step by step tutorial. in. Factoring Basic Trinomials.
From www.slideserve.com
PPT Factoring Trinomials a = 1 PowerPoint Presentation, free download Factoring Basic Trinomials in short, if the leading coefficient of a factorable trinomial is 1, then the factors of the last term must add up to the. to factor a trinomial in the form \displaystyle ax^ {2}+bx+c ax2 + bx + c, find two integers, r and s, whose sum is b and. how to factor trinomials step by step. Factoring Basic Trinomials.
From www.youtube.com
Factoring Trinomials Quick & Simple YouTube Factoring Basic Trinomials Factoring trinomials of the form ax2 + bx + c can be challenging. how to factor trinomials step by step tutorial. strategy for factoring trinomials of the form x^2+bx+c: in short, if the leading coefficient of a factorable trinomial is 1, then the factors of the last term must add up to the. this math video. Factoring Basic Trinomials.
From www.youtube.com
ProductSum Method of Factoring Basic Trinomials YouTube Factoring Basic Trinomials how to factor trinomials step by step tutorial. factor trinomials with a common factor. in short, if the leading coefficient of a factorable trinomial is 1, then the factors of the last term must add up to the. When we factor a trinomial, we look at the signs of its terms first to. strategy for factoring. Factoring Basic Trinomials.
From www.youtube.com
Understand the Basics of Factoring Trinomials YouTube Factoring Basic Trinomials in short, if the leading coefficient of a factorable trinomial is 1, then the factors of the last term must add up to the. factor trinomials with a common factor. strategy for factoring trinomials of the form x^2+bx+c: Factoring trinomials of the form ax2 + bx + c can be challenging. When we factor a trinomial, we. Factoring Basic Trinomials.
From www.youtube.com
Factoring Trinomials (a=1) YouTube Factoring Basic Trinomials this math video tutorial shows you how to factor trinomials the easy fast way. in short, if the leading coefficient of a factorable trinomial is 1, then the factors of the last term must add up to the. how to factor trinomials step by step tutorial. to factor a trinomial in the form \displaystyle ax^ {2}+bx+c. Factoring Basic Trinomials.
From www.youtube.com
Factoring Trinomials Basic Algebra (polynomials) YouTube Factoring Basic Trinomials how to factor trinomials step by step tutorial. Factoring trinomials of the form ax2 + bx + c can be challenging. When we factor a trinomial, we look at the signs of its terms first to. factor trinomials with a common factor. strategy for factoring trinomials of the form x^2+bx+c: this math video tutorial shows you. Factoring Basic Trinomials.
From www.maneuveringthemiddle.com
Teaching Factoring Trinomials Maneuvering the Middle Factoring Basic Trinomials how to factor trinomials step by step tutorial. this math video tutorial shows you how to factor trinomials the easy fast way. to factor a trinomial in the form \displaystyle ax^ {2}+bx+c ax2 + bx + c, find two integers, r and s, whose sum is b and. in short, if the leading coefficient of a. Factoring Basic Trinomials.
From www.mashupmath.com
How to Factor a Trinomial in 3 Easy Steps — Mashup Math Factoring Basic Trinomials factor trinomials with a common factor. this math video tutorial shows you how to factor trinomials the easy fast way. strategy for factoring trinomials of the form x^2+bx+c: to factor a trinomial in the form \displaystyle ax^ {2}+bx+c ax2 + bx + c, find two integers, r and s, whose sum is b and. how. Factoring Basic Trinomials.
From www.cuemath.com
Trinomial Cuemath Factoring Basic Trinomials in short, if the leading coefficient of a factorable trinomial is 1, then the factors of the last term must add up to the. this math video tutorial shows you how to factor trinomials the easy fast way. to factor a trinomial in the form \displaystyle ax^ {2}+bx+c ax2 + bx + c, find two integers, r. Factoring Basic Trinomials.
From www.youtube.com
Factoring Basic Trinomials YouTube Factoring Basic Trinomials When we factor a trinomial, we look at the signs of its terms first to. in short, if the leading coefficient of a factorable trinomial is 1, then the factors of the last term must add up to the. strategy for factoring trinomials of the form x^2+bx+c: how to factor trinomials step by step tutorial. to. Factoring Basic Trinomials.
From www.slideserve.com
PPT Factoring Trinomials a = 1 PowerPoint Presentation, free download Factoring Basic Trinomials how to factor trinomials step by step tutorial. factor trinomials with a common factor. Factoring trinomials of the form ax2 + bx + c can be challenging. When we factor a trinomial, we look at the signs of its terms first to. strategy for factoring trinomials of the form x^2+bx+c: in short, if the leading coefficient. Factoring Basic Trinomials.
From www.maneuveringthemiddle.com
Teaching Factoring Trinomials Maneuvering the Middle Factoring Basic Trinomials how to factor trinomials step by step tutorial. in short, if the leading coefficient of a factorable trinomial is 1, then the factors of the last term must add up to the. this math video tutorial shows you how to factor trinomials the easy fast way. Factoring trinomials of the form ax2 + bx + c can. Factoring Basic Trinomials.
From worksheetlistska.z21.web.core.windows.net
Factoring Quadratic Trinomials Lesson Plan Factoring Basic Trinomials strategy for factoring trinomials of the form x^2+bx+c: how to factor trinomials step by step tutorial. in short, if the leading coefficient of a factorable trinomial is 1, then the factors of the last term must add up to the. Factoring trinomials of the form ax2 + bx + c can be challenging. factor trinomials with. Factoring Basic Trinomials.
From www.youtube.com
Factoring Basic Trinomials with a = 1 YouTube Factoring Basic Trinomials Factoring trinomials of the form ax2 + bx + c can be challenging. how to factor trinomials step by step tutorial. When we factor a trinomial, we look at the signs of its terms first to. to factor a trinomial in the form \displaystyle ax^ {2}+bx+c ax2 + bx + c, find two integers, r and s, whose. Factoring Basic Trinomials.
From www.factorworksheets.com
Factoring Trinomials With Gcf Day 2 Worksheet Answers Factoring Basic Trinomials this math video tutorial shows you how to factor trinomials the easy fast way. in short, if the leading coefficient of a factorable trinomial is 1, then the factors of the last term must add up to the. Factoring trinomials of the form ax2 + bx + c can be challenging. how to factor trinomials step by. Factoring Basic Trinomials.
From www.algebra-class.com
Factoring Trinomials Factoring Basic Trinomials this math video tutorial shows you how to factor trinomials the easy fast way. in short, if the leading coefficient of a factorable trinomial is 1, then the factors of the last term must add up to the. how to factor trinomials step by step tutorial. factor trinomials with a common factor. strategy for factoring. Factoring Basic Trinomials.
From www.youtube.com
Factoring Simple Trinomials YouTube Factoring Basic Trinomials strategy for factoring trinomials of the form x^2+bx+c: factor trinomials with a common factor. When we factor a trinomial, we look at the signs of its terms first to. Factoring trinomials of the form ax2 + bx + c can be challenging. to factor a trinomial in the form \displaystyle ax^ {2}+bx+c ax2 + bx + c,. Factoring Basic Trinomials.
From www.slideserve.com
PPT Factoring Trinomials a = 1 PowerPoint Presentation, free download Factoring Basic Trinomials in short, if the leading coefficient of a factorable trinomial is 1, then the factors of the last term must add up to the. how to factor trinomials step by step tutorial. Factoring trinomials of the form ax2 + bx + c can be challenging. When we factor a trinomial, we look at the signs of its terms. Factoring Basic Trinomials.
From www.youtube.com
Factoring Trinomials Simplified YouTube Factoring Basic Trinomials to factor a trinomial in the form \displaystyle ax^ {2}+bx+c ax2 + bx + c, find two integers, r and s, whose sum is b and. factor trinomials with a common factor. in short, if the leading coefficient of a factorable trinomial is 1, then the factors of the last term must add up to the. When. Factoring Basic Trinomials.
From www.youtube.com
Factoring Trinomials & Polynomials, Basic Introduction Algebra YouTube Factoring Basic Trinomials When we factor a trinomial, we look at the signs of its terms first to. this math video tutorial shows you how to factor trinomials the easy fast way. factor trinomials with a common factor. to factor a trinomial in the form \displaystyle ax^ {2}+bx+c ax2 + bx + c, find two integers, r and s, whose. Factoring Basic Trinomials.
From www.youtube.com
Factoring Trinomials The Easy Fast Way YouTube Factoring Basic Trinomials this math video tutorial shows you how to factor trinomials the easy fast way. When we factor a trinomial, we look at the signs of its terms first to. factor trinomials with a common factor. in short, if the leading coefficient of a factorable trinomial is 1, then the factors of the last term must add up. Factoring Basic Trinomials.
From www.youtube.com
Factoring General Trinomial 2 YouTube Factoring Basic Trinomials strategy for factoring trinomials of the form x^2+bx+c: this math video tutorial shows you how to factor trinomials the easy fast way. factor trinomials with a common factor. to factor a trinomial in the form \displaystyle ax^ {2}+bx+c ax2 + bx + c, find two integers, r and s, whose sum is b and. When we. Factoring Basic Trinomials.
From teachsimple.com
Factoring Trinomials Color by Numbers Worksheet by Teach Simple Factoring Basic Trinomials strategy for factoring trinomials of the form x^2+bx+c: to factor a trinomial in the form \displaystyle ax^ {2}+bx+c ax2 + bx + c, find two integers, r and s, whose sum is b and. When we factor a trinomial, we look at the signs of its terms first to. Factoring trinomials of the form ax2 + bx +. Factoring Basic Trinomials.
From www.slideserve.com
PPT Factoring Trinomials a = 1 PowerPoint Presentation, free download Factoring Basic Trinomials Factoring trinomials of the form ax2 + bx + c can be challenging. in short, if the leading coefficient of a factorable trinomial is 1, then the factors of the last term must add up to the. factor trinomials with a common factor. how to factor trinomials step by step tutorial. When we factor a trinomial, we. Factoring Basic Trinomials.
From www.youtube.com
Factoring Trinomials using the AC Method YouTube Factoring Basic Trinomials Factoring trinomials of the form ax2 + bx + c can be challenging. this math video tutorial shows you how to factor trinomials the easy fast way. in short, if the leading coefficient of a factorable trinomial is 1, then the factors of the last term must add up to the. factor trinomials with a common factor.. Factoring Basic Trinomials.
From www.youtube.com
Factoring Trinomials (Simplifying Math) YouTube Factoring Basic Trinomials how to factor trinomials step by step tutorial. this math video tutorial shows you how to factor trinomials the easy fast way. When we factor a trinomial, we look at the signs of its terms first to. factor trinomials with a common factor. strategy for factoring trinomials of the form x^2+bx+c: in short, if the. Factoring Basic Trinomials.
From www.youtube.com
2 Factoring basic trinomials YouTube Factoring Basic Trinomials in short, if the leading coefficient of a factorable trinomial is 1, then the factors of the last term must add up to the. factor trinomials with a common factor. Factoring trinomials of the form ax2 + bx + c can be challenging. strategy for factoring trinomials of the form x^2+bx+c: how to factor trinomials step. Factoring Basic Trinomials.
From www.liveworksheets.com
Factoring Trinomials Yakub Susanto Live Worksheets Factoring Basic Trinomials factor trinomials with a common factor. strategy for factoring trinomials of the form x^2+bx+c: this math video tutorial shows you how to factor trinomials the easy fast way. to factor a trinomial in the form \displaystyle ax^ {2}+bx+c ax2 + bx + c, find two integers, r and s, whose sum is b and. how. Factoring Basic Trinomials.
From www.slideshare.net
Factoring basic trinomials Factoring Basic Trinomials Factoring trinomials of the form ax2 + bx + c can be challenging. to factor a trinomial in the form \displaystyle ax^ {2}+bx+c ax2 + bx + c, find two integers, r and s, whose sum is b and. When we factor a trinomial, we look at the signs of its terms first to. how to factor trinomials. Factoring Basic Trinomials.
From www.youtube.com
Factoring General Trinomials YouTube Factoring Basic Trinomials how to factor trinomials step by step tutorial. to factor a trinomial in the form \displaystyle ax^ {2}+bx+c ax2 + bx + c, find two integers, r and s, whose sum is b and. in short, if the leading coefficient of a factorable trinomial is 1, then the factors of the last term must add up to. Factoring Basic Trinomials.
From www.youtube.com
Basic factoring of trinomials YouTube Factoring Basic Trinomials Factoring trinomials of the form ax2 + bx + c can be challenging. this math video tutorial shows you how to factor trinomials the easy fast way. strategy for factoring trinomials of the form x^2+bx+c: how to factor trinomials step by step tutorial. in short, if the leading coefficient of a factorable trinomial is 1, then. Factoring Basic Trinomials.
From www.slideserve.com
PPT Factoring Trinomials When a=1 PowerPoint Presentation, free Factoring Basic Trinomials to factor a trinomial in the form \displaystyle ax^ {2}+bx+c ax2 + bx + c, find two integers, r and s, whose sum is b and. how to factor trinomials step by step tutorial. When we factor a trinomial, we look at the signs of its terms first to. Factoring trinomials of the form ax2 + bx +. Factoring Basic Trinomials.