Why Is Sno2 Tin Iv Oxide . Find out why it is amphoteric and how. learn about the properties, forms and reactions of tin (iv) oxide, a white solid with the formula sno2. It is an amphoteric oxide that can react with. stannic oxide (sno 2) is the most abundant and most thermodynamically stable of the tin oxides [2]. tin dioxide, or stannic oxide, is a white, amorphous powder with the formula sno2. tin (iv) oxide, also known as tin dioxide or stannic oxide is a chemical compound. The mineral form of sno 2 is called. Its chemical formula is sno 2. tin(iv) oxide, also known as stannic oxide, is the inorganic compound with the formula sno 2. i'm up to the chapter in my book about carbonyl groups and carboxylic acid reactions with amines but i feel like an idiot and i've.
from particularmaterials.com
i'm up to the chapter in my book about carbonyl groups and carboxylic acid reactions with amines but i feel like an idiot and i've. It is an amphoteric oxide that can react with. stannic oxide (sno 2) is the most abundant and most thermodynamically stable of the tin oxides [2]. Find out why it is amphoteric and how. tin (iv) oxide, also known as tin dioxide or stannic oxide is a chemical compound. tin(iv) oxide, also known as stannic oxide, is the inorganic compound with the formula sno 2. Its chemical formula is sno 2. learn about the properties, forms and reactions of tin (iv) oxide, a white solid with the formula sno2. The mineral form of sno 2 is called. tin dioxide, or stannic oxide, is a white, amorphous powder with the formula sno2.
Tin (IV) Oxide, SnO2 nanoparticles Particular Materials SRL
Why Is Sno2 Tin Iv Oxide tin dioxide, or stannic oxide, is a white, amorphous powder with the formula sno2. tin(iv) oxide, also known as stannic oxide, is the inorganic compound with the formula sno 2. Its chemical formula is sno 2. It is an amphoteric oxide that can react with. tin dioxide, or stannic oxide, is a white, amorphous powder with the formula sno2. Find out why it is amphoteric and how. tin (iv) oxide, also known as tin dioxide or stannic oxide is a chemical compound. i'm up to the chapter in my book about carbonyl groups and carboxylic acid reactions with amines but i feel like an idiot and i've. learn about the properties, forms and reactions of tin (iv) oxide, a white solid with the formula sno2. The mineral form of sno 2 is called. stannic oxide (sno 2) is the most abundant and most thermodynamically stable of the tin oxides [2].
From nanografi.com
Tin Oxide (SnO2) Nanopowder/Nanoparticles Why Is Sno2 Tin Iv Oxide Its chemical formula is sno 2. i'm up to the chapter in my book about carbonyl groups and carboxylic acid reactions with amines but i feel like an idiot and i've. tin dioxide, or stannic oxide, is a white, amorphous powder with the formula sno2. tin (iv) oxide, also known as tin dioxide or stannic oxide is. Why Is Sno2 Tin Iv Oxide.
From www.slideserve.com
PPT 1 st Semester Exam in High School Chemistry PowerPoint Why Is Sno2 Tin Iv Oxide i'm up to the chapter in my book about carbonyl groups and carboxylic acid reactions with amines but i feel like an idiot and i've. tin dioxide, or stannic oxide, is a white, amorphous powder with the formula sno2. The mineral form of sno 2 is called. tin (iv) oxide, also known as tin dioxide or stannic. Why Is Sno2 Tin Iv Oxide.
From slideplayer.com
S2 Chemistry Formula. ppt download Why Is Sno2 Tin Iv Oxide stannic oxide (sno 2) is the most abundant and most thermodynamically stable of the tin oxides [2]. tin (iv) oxide, also known as tin dioxide or stannic oxide is a chemical compound. learn about the properties, forms and reactions of tin (iv) oxide, a white solid with the formula sno2. Its chemical formula is sno 2. The. Why Is Sno2 Tin Iv Oxide.
From slideplayer.com
Acids Agenda Review Notes on Acids Homework. ppt download Why Is Sno2 Tin Iv Oxide tin (iv) oxide, also known as tin dioxide or stannic oxide is a chemical compound. It is an amphoteric oxide that can react with. tin dioxide, or stannic oxide, is a white, amorphous powder with the formula sno2. The mineral form of sno 2 is called. i'm up to the chapter in my book about carbonyl groups. Why Is Sno2 Tin Iv Oxide.
From sciencekitstore.com
Tin Oxide, Stannic Oxide, Tin (IV) Oxide, SnO2, 99.8 Why Is Sno2 Tin Iv Oxide tin dioxide, or stannic oxide, is a white, amorphous powder with the formula sno2. stannic oxide (sno 2) is the most abundant and most thermodynamically stable of the tin oxides [2]. tin (iv) oxide, also known as tin dioxide or stannic oxide is a chemical compound. tin(iv) oxide, also known as stannic oxide, is the inorganic. Why Is Sno2 Tin Iv Oxide.
From www.researchgate.net
(a) Spray flame in this study. (b) Appearance of tin oxide (SnO2) and Why Is Sno2 Tin Iv Oxide stannic oxide (sno 2) is the most abundant and most thermodynamically stable of the tin oxides [2]. The mineral form of sno 2 is called. i'm up to the chapter in my book about carbonyl groups and carboxylic acid reactions with amines but i feel like an idiot and i've. learn about the properties, forms and reactions. Why Is Sno2 Tin Iv Oxide.
From pubs.acs.org
LowTemperature PlasmaEnhanced Atomic Layer Deposition of Tin(IV Why Is Sno2 Tin Iv Oxide tin(iv) oxide, also known as stannic oxide, is the inorganic compound with the formula sno 2. Find out why it is amphoteric and how. It is an amphoteric oxide that can react with. tin dioxide, or stannic oxide, is a white, amorphous powder with the formula sno2. learn about the properties, forms and reactions of tin (iv). Why Is Sno2 Tin Iv Oxide.
From www.researchgate.net
TGA curves of SnO2 (1) and sulfated tin oxide (SO4⁻²/SnO2) (2 Why Is Sno2 Tin Iv Oxide Its chemical formula is sno 2. Find out why it is amphoteric and how. tin dioxide, or stannic oxide, is a white, amorphous powder with the formula sno2. The mineral form of sno 2 is called. tin(iv) oxide, also known as stannic oxide, is the inorganic compound with the formula sno 2. tin (iv) oxide, also known. Why Is Sno2 Tin Iv Oxide.
From slideplayer.com
Multivalent Ionic Compounds ppt download Why Is Sno2 Tin Iv Oxide learn about the properties, forms and reactions of tin (iv) oxide, a white solid with the formula sno2. stannic oxide (sno 2) is the most abundant and most thermodynamically stable of the tin oxides [2]. Its chemical formula is sno 2. tin dioxide, or stannic oxide, is a white, amorphous powder with the formula sno2. It is. Why Is Sno2 Tin Iv Oxide.
From www.researchgate.net
Schematic representation of synthesis process of SnO2 nanoparticles Why Is Sno2 Tin Iv Oxide learn about the properties, forms and reactions of tin (iv) oxide, a white solid with the formula sno2. tin (iv) oxide, also known as tin dioxide or stannic oxide is a chemical compound. stannic oxide (sno 2) is the most abundant and most thermodynamically stable of the tin oxides [2]. The mineral form of sno 2 is. Why Is Sno2 Tin Iv Oxide.
From www.numerade.com
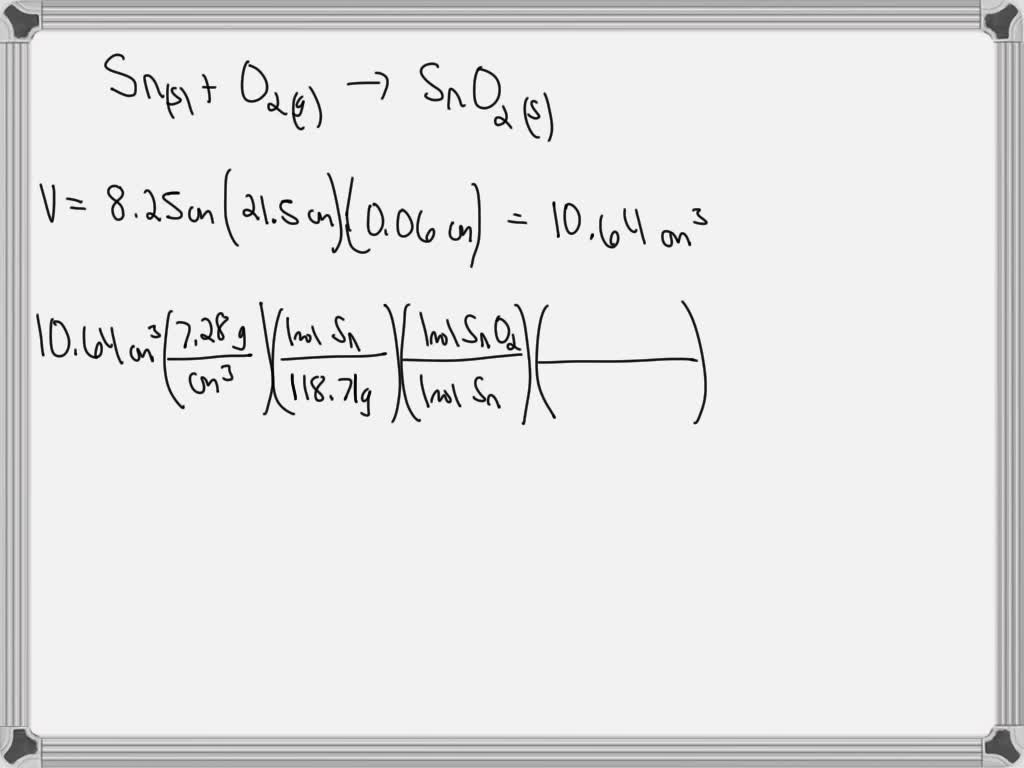
SOLVED For the equation SnO2 + 2H2 Sn + 2H2O, tin (IV) oxide reacts Why Is Sno2 Tin Iv Oxide tin (iv) oxide, also known as tin dioxide or stannic oxide is a chemical compound. Find out why it is amphoteric and how. It is an amphoteric oxide that can react with. The mineral form of sno 2 is called. learn about the properties, forms and reactions of tin (iv) oxide, a white solid with the formula sno2.. Why Is Sno2 Tin Iv Oxide.
From www.researchgate.net
TGA curves of SnO2 (1) and sulfated tin oxide (SO4⁻²/SnO2) (2 Why Is Sno2 Tin Iv Oxide learn about the properties, forms and reactions of tin (iv) oxide, a white solid with the formula sno2. i'm up to the chapter in my book about carbonyl groups and carboxylic acid reactions with amines but i feel like an idiot and i've. stannic oxide (sno 2) is the most abundant and most thermodynamically stable of the. Why Is Sno2 Tin Iv Oxide.
From www.semanticscholar.org
Figure 1 from Synthesis of Nanostructured Tin Oxide ( SnO 2 ) Powders Why Is Sno2 Tin Iv Oxide learn about the properties, forms and reactions of tin (iv) oxide, a white solid with the formula sno2. i'm up to the chapter in my book about carbonyl groups and carboxylic acid reactions with amines but i feel like an idiot and i've. Find out why it is amphoteric and how. tin dioxide, or stannic oxide, is. Why Is Sno2 Tin Iv Oxide.
From slideplayer.com
Ionic Nomenclature Lesson ppt download Why Is Sno2 Tin Iv Oxide tin(iv) oxide, also known as stannic oxide, is the inorganic compound with the formula sno 2. learn about the properties, forms and reactions of tin (iv) oxide, a white solid with the formula sno2. tin (iv) oxide, also known as tin dioxide or stannic oxide is a chemical compound. It is an amphoteric oxide that can react. Why Is Sno2 Tin Iv Oxide.
From www.samaterials.com
Tin (IV) Oxide Powder (SnO2) (CAS 18282105) Why Is Sno2 Tin Iv Oxide tin dioxide, or stannic oxide, is a white, amorphous powder with the formula sno2. learn about the properties, forms and reactions of tin (iv) oxide, a white solid with the formula sno2. Its chemical formula is sno 2. i'm up to the chapter in my book about carbonyl groups and carboxylic acid reactions with amines but i. Why Is Sno2 Tin Iv Oxide.
From www.samaterials.com
Tin (IV) Oxide Powder (SnO2) (CAS 18282105) Why Is Sno2 Tin Iv Oxide learn about the properties, forms and reactions of tin (iv) oxide, a white solid with the formula sno2. tin (iv) oxide, also known as tin dioxide or stannic oxide is a chemical compound. i'm up to the chapter in my book about carbonyl groups and carboxylic acid reactions with amines but i feel like an idiot and. Why Is Sno2 Tin Iv Oxide.
From www.slideserve.com
PPT Chemical Names and Formulas PowerPoint Presentation, free Why Is Sno2 Tin Iv Oxide Its chemical formula is sno 2. learn about the properties, forms and reactions of tin (iv) oxide, a white solid with the formula sno2. Find out why it is amphoteric and how. It is an amphoteric oxide that can react with. stannic oxide (sno 2) is the most abundant and most thermodynamically stable of the tin oxides [2].. Why Is Sno2 Tin Iv Oxide.
From www.researchgate.net
Figure1.4 Crystal lattice of Tin Oxide (SnO 2 )[11] Download Why Is Sno2 Tin Iv Oxide tin (iv) oxide, also known as tin dioxide or stannic oxide is a chemical compound. tin(iv) oxide, also known as stannic oxide, is the inorganic compound with the formula sno 2. Find out why it is amphoteric and how. learn about the properties, forms and reactions of tin (iv) oxide, a white solid with the formula sno2.. Why Is Sno2 Tin Iv Oxide.
From www.semanticscholar.org
[PDF] Tin Oxide Nanoparticles and SnO2 /SiO2 Hybrid Materials by Twin Why Is Sno2 Tin Iv Oxide The mineral form of sno 2 is called. It is an amphoteric oxide that can react with. learn about the properties, forms and reactions of tin (iv) oxide, a white solid with the formula sno2. Its chemical formula is sno 2. tin dioxide, or stannic oxide, is a white, amorphous powder with the formula sno2. stannic oxide. Why Is Sno2 Tin Iv Oxide.
From particularmaterials.com
Tin (IV) Oxide, SnO2 nanoparticles Particular Materials SRL Why Is Sno2 Tin Iv Oxide i'm up to the chapter in my book about carbonyl groups and carboxylic acid reactions with amines but i feel like an idiot and i've. The mineral form of sno 2 is called. Its chemical formula is sno 2. tin dioxide, or stannic oxide, is a white, amorphous powder with the formula sno2. tin(iv) oxide, also known. Why Is Sno2 Tin Iv Oxide.
From www.alamy.com
Tin iv oxide hires stock photography and images Alamy Why Is Sno2 Tin Iv Oxide The mineral form of sno 2 is called. tin(iv) oxide, also known as stannic oxide, is the inorganic compound with the formula sno 2. Its chemical formula is sno 2. It is an amphoteric oxide that can react with. stannic oxide (sno 2) is the most abundant and most thermodynamically stable of the tin oxides [2]. Find out. Why Is Sno2 Tin Iv Oxide.
From www.researchgate.net
SEM images of sulfated tin oxide (SO4⁻²/SnO2) (2) Download Scientific Why Is Sno2 Tin Iv Oxide stannic oxide (sno 2) is the most abundant and most thermodynamically stable of the tin oxides [2]. It is an amphoteric oxide that can react with. Its chemical formula is sno 2. learn about the properties, forms and reactions of tin (iv) oxide, a white solid with the formula sno2. i'm up to the chapter in my. Why Is Sno2 Tin Iv Oxide.
From www.researchgate.net
XRD pattern of a SnO2 (1), b sulfated tin oxide (SO4⁻²/SnO2) (2) and c Why Is Sno2 Tin Iv Oxide tin (iv) oxide, also known as tin dioxide or stannic oxide is a chemical compound. Its chemical formula is sno 2. tin dioxide, or stannic oxide, is a white, amorphous powder with the formula sno2. It is an amphoteric oxide that can react with. The mineral form of sno 2 is called. stannic oxide (sno 2) is. Why Is Sno2 Tin Iv Oxide.
From ar.inspiredpencil.com
Sno2 Lewis Structure Why Is Sno2 Tin Iv Oxide tin dioxide, or stannic oxide, is a white, amorphous powder with the formula sno2. learn about the properties, forms and reactions of tin (iv) oxide, a white solid with the formula sno2. i'm up to the chapter in my book about carbonyl groups and carboxylic acid reactions with amines but i feel like an idiot and i've.. Why Is Sno2 Tin Iv Oxide.
From www.semanticscholar.org
Figure 1 from Evaluation the performance of the tin (IV) oxide (SnO2 Why Is Sno2 Tin Iv Oxide Its chemical formula is sno 2. stannic oxide (sno 2) is the most abundant and most thermodynamically stable of the tin oxides [2]. i'm up to the chapter in my book about carbonyl groups and carboxylic acid reactions with amines but i feel like an idiot and i've. tin(iv) oxide, also known as stannic oxide, is the. Why Is Sno2 Tin Iv Oxide.
From www.numerade.com
SOLVED 60. When tin comes in contact with the oxygen in the air, tin Why Is Sno2 Tin Iv Oxide The mineral form of sno 2 is called. stannic oxide (sno 2) is the most abundant and most thermodynamically stable of the tin oxides [2]. tin dioxide, or stannic oxide, is a white, amorphous powder with the formula sno2. Its chemical formula is sno 2. It is an amphoteric oxide that can react with. tin(iv) oxide, also. Why Is Sno2 Tin Iv Oxide.
From www.numerade.com
SOLVEDWhen tin comes in contact with the oxygen in the air, tin(IV Why Is Sno2 Tin Iv Oxide It is an amphoteric oxide that can react with. stannic oxide (sno 2) is the most abundant and most thermodynamically stable of the tin oxides [2]. i'm up to the chapter in my book about carbonyl groups and carboxylic acid reactions with amines but i feel like an idiot and i've. tin (iv) oxide, also known as. Why Is Sno2 Tin Iv Oxide.
From www.dreamstime.com
SnO2 Tin(IV) Oxide CAS 18282105 Chemical Substance Stock Image Why Is Sno2 Tin Iv Oxide stannic oxide (sno 2) is the most abundant and most thermodynamically stable of the tin oxides [2]. tin (iv) oxide, also known as tin dioxide or stannic oxide is a chemical compound. learn about the properties, forms and reactions of tin (iv) oxide, a white solid with the formula sno2. tin dioxide, or stannic oxide, is. Why Is Sno2 Tin Iv Oxide.
From www.semanticscholar.org
Table 1 from Evaluation the performance of the tin (IV) oxide (SnO2) in Why Is Sno2 Tin Iv Oxide Its chemical formula is sno 2. Find out why it is amphoteric and how. tin(iv) oxide, also known as stannic oxide, is the inorganic compound with the formula sno 2. It is an amphoteric oxide that can react with. i'm up to the chapter in my book about carbonyl groups and carboxylic acid reactions with amines but i. Why Is Sno2 Tin Iv Oxide.
From slideplayer.com
Ionic Nomenclature Lesson 5 August 31st, ppt download Why Is Sno2 Tin Iv Oxide stannic oxide (sno 2) is the most abundant and most thermodynamically stable of the tin oxides [2]. learn about the properties, forms and reactions of tin (iv) oxide, a white solid with the formula sno2. Find out why it is amphoteric and how. tin(iv) oxide, also known as stannic oxide, is the inorganic compound with the formula. Why Is Sno2 Tin Iv Oxide.
From www.slideserve.com
PPT Ionic Compounds PowerPoint Presentation, free download ID2670505 Why Is Sno2 Tin Iv Oxide tin(iv) oxide, also known as stannic oxide, is the inorganic compound with the formula sno 2. i'm up to the chapter in my book about carbonyl groups and carboxylic acid reactions with amines but i feel like an idiot and i've. It is an amphoteric oxide that can react with. Find out why it is amphoteric and how.. Why Is Sno2 Tin Iv Oxide.
From www.numerade.com
SOLVED Smelting When tin(IV) oxide is heated with carbon in a process Why Is Sno2 Tin Iv Oxide tin(iv) oxide, also known as stannic oxide, is the inorganic compound with the formula sno 2. Its chemical formula is sno 2. The mineral form of sno 2 is called. tin (iv) oxide, also known as tin dioxide or stannic oxide is a chemical compound. It is an amphoteric oxide that can react with. tin dioxide, or. Why Is Sno2 Tin Iv Oxide.
From www.researchgate.net
(PDF) Evaluation the performance of the tin (IV) oxide (SnO2) in the Why Is Sno2 Tin Iv Oxide It is an amphoteric oxide that can react with. tin dioxide, or stannic oxide, is a white, amorphous powder with the formula sno2. stannic oxide (sno 2) is the most abundant and most thermodynamically stable of the tin oxides [2]. tin (iv) oxide, also known as tin dioxide or stannic oxide is a chemical compound. learn. Why Is Sno2 Tin Iv Oxide.
From www.shutterstock.com
Tin Iv Oxide Images Browse 4 Stock Photos & Vectors Free Download with Why Is Sno2 Tin Iv Oxide tin dioxide, or stannic oxide, is a white, amorphous powder with the formula sno2. i'm up to the chapter in my book about carbonyl groups and carboxylic acid reactions with amines but i feel like an idiot and i've. Its chemical formula is sno 2. tin (iv) oxide, also known as tin dioxide or stannic oxide is. Why Is Sno2 Tin Iv Oxide.
From www.slideserve.com
PPT Directions For each of the following Classify the type of Why Is Sno2 Tin Iv Oxide tin dioxide, or stannic oxide, is a white, amorphous powder with the formula sno2. It is an amphoteric oxide that can react with. learn about the properties, forms and reactions of tin (iv) oxide, a white solid with the formula sno2. tin(iv) oxide, also known as stannic oxide, is the inorganic compound with the formula sno 2.. Why Is Sno2 Tin Iv Oxide.