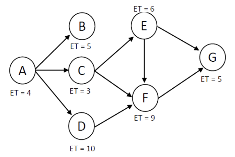
Network Diagram Calculator . With a completed network diagram and an activity estimate you can now identify your critical path. To calculate the critical path we will follow the following steps: Make a list of all the activities of the project along. All you need is select a diagram template for your use,. Once you have entered all the tasks, their dependencies, and the estimates, please click below to find the critical path. You can do this by identifying the longest path through the network or the longest sequence of.
from www.softwaretestinghelp.com
Make a list of all the activities of the project along. You can do this by identifying the longest path through the network or the longest sequence of. Once you have entered all the tasks, their dependencies, and the estimates, please click below to find the critical path. All you need is select a diagram template for your use,. With a completed network diagram and an activity estimate you can now identify your critical path. To calculate the critical path we will follow the following steps:
Guide to Mask & IP Calculator
Network Diagram Calculator You can do this by identifying the longest path through the network or the longest sequence of. All you need is select a diagram template for your use,. You can do this by identifying the longest path through the network or the longest sequence of. With a completed network diagram and an activity estimate you can now identify your critical path. To calculate the critical path we will follow the following steps: Make a list of all the activities of the project along. Once you have entered all the tasks, their dependencies, and the estimates, please click below to find the critical path.
From superuser.com
networking How to determine the number of needed Super User Network Diagram Calculator All you need is select a diagram template for your use,. With a completed network diagram and an activity estimate you can now identify your critical path. Make a list of all the activities of the project along. You can do this by identifying the longest path through the network or the longest sequence of. Once you have entered all. Network Diagram Calculator.
From www.researchgate.net
Calculator Architecture diagram Download Scientific Diagram Network Diagram Calculator All you need is select a diagram template for your use,. Once you have entered all the tasks, their dependencies, and the estimates, please click below to find the critical path. To calculate the critical path we will follow the following steps: You can do this by identifying the longest path through the network or the longest sequence of. With. Network Diagram Calculator.
From www.chegg.com
Solved I Create a Network Diagram m. Calculate ES, EF, LS, Network Diagram Calculator Make a list of all the activities of the project along. You can do this by identifying the longest path through the network or the longest sequence of. With a completed network diagram and an activity estimate you can now identify your critical path. All you need is select a diagram template for your use,. Once you have entered all. Network Diagram Calculator.
From guidedehartchoultries.z21.web.core.windows.net
Network Diagram Critical Path Calculator Network Diagram Calculator All you need is select a diagram template for your use,. To calculate the critical path we will follow the following steps: Once you have entered all the tasks, their dependencies, and the estimates, please click below to find the critical path. With a completed network diagram and an activity estimate you can now identify your critical path. You can. Network Diagram Calculator.
From enginedatanichered.z21.web.core.windows.net
Network Diagram Calculator Network Diagram Calculator Once you have entered all the tasks, their dependencies, and the estimates, please click below to find the critical path. Make a list of all the activities of the project along. To calculate the critical path we will follow the following steps: All you need is select a diagram template for your use,. You can do this by identifying the. Network Diagram Calculator.
From www.numerade.com
SOLVED For Numbers 15 (each representing a project), complete the Network Diagram Calculator Once you have entered all the tasks, their dependencies, and the estimates, please click below to find the critical path. Make a list of all the activities of the project along. With a completed network diagram and an activity estimate you can now identify your critical path. All you need is select a diagram template for your use,. You can. Network Diagram Calculator.
From www.chegg.com
Solved Using the above network diagram, calculate the Network Diagram Calculator To calculate the critical path we will follow the following steps: Make a list of all the activities of the project along. With a completed network diagram and an activity estimate you can now identify your critical path. All you need is select a diagram template for your use,. Once you have entered all the tasks, their dependencies, and the. Network Diagram Calculator.
From tarannae0schematic.z4.web.core.windows.net
Network Diagram Critical Path Calculator Network Diagram Calculator All you need is select a diagram template for your use,. You can do this by identifying the longest path through the network or the longest sequence of. Once you have entered all the tasks, their dependencies, and the estimates, please click below to find the critical path. Make a list of all the activities of the project along. With. Network Diagram Calculator.
From www.youtube.com
Project Management AON Project Network III & ES/EF/LS/LF YouTube Network Diagram Calculator To calculate the critical path we will follow the following steps: All you need is select a diagram template for your use,. Make a list of all the activities of the project along. Once you have entered all the tasks, their dependencies, and the estimates, please click below to find the critical path. You can do this by identifying the. Network Diagram Calculator.
From www.softwaretestinghelp.com
Guide to Mask & IP Calculator Network Diagram Calculator Make a list of all the activities of the project along. Once you have entered all the tasks, their dependencies, and the estimates, please click below to find the critical path. With a completed network diagram and an activity estimate you can now identify your critical path. You can do this by identifying the longest path through the network or. Network Diagram Calculator.
From www.visme.co
Calculator State Diagram Template Visme Network Diagram Calculator To calculate the critical path we will follow the following steps: You can do this by identifying the longest path through the network or the longest sequence of. Make a list of all the activities of the project along. All you need is select a diagram template for your use,. Once you have entered all the tasks, their dependencies, and. Network Diagram Calculator.
From www.deepfriedbrainproject.com
Critical Path Forward Pass Calculation Start at Day Zero or One Network Diagram Calculator Make a list of all the activities of the project along. Once you have entered all the tasks, their dependencies, and the estimates, please click below to find the critical path. You can do this by identifying the longest path through the network or the longest sequence of. All you need is select a diagram template for your use,. To. Network Diagram Calculator.
From www.chegg.com
Solved Given the following partially completed Project Network Diagram Calculator Once you have entered all the tasks, their dependencies, and the estimates, please click below to find the critical path. You can do this by identifying the longest path through the network or the longest sequence of. All you need is select a diagram template for your use,. To calculate the critical path we will follow the following steps: With. Network Diagram Calculator.
From projectnetworkdiagram.netlify.app
Calculate Project Duration Network Diagram Network Diagram Calculator Once you have entered all the tasks, their dependencies, and the estimates, please click below to find the critical path. You can do this by identifying the longest path through the network or the longest sequence of. Make a list of all the activities of the project along. To calculate the critical path we will follow the following steps: All. Network Diagram Calculator.
From bitcoincpmadnetworkwofukama.blogspot.com
Bitcoin Cpm Ad Network Calculate Slack Time Network Diagram Network Diagram Calculator With a completed network diagram and an activity estimate you can now identify your critical path. Once you have entered all the tasks, their dependencies, and the estimates, please click below to find the critical path. To calculate the critical path we will follow the following steps: All you need is select a diagram template for your use,. You can. Network Diagram Calculator.
From www.chegg.com
Solved Use The Following Information To Construct A Netwo... Network Diagram Calculator Once you have entered all the tasks, their dependencies, and the estimates, please click below to find the critical path. With a completed network diagram and an activity estimate you can now identify your critical path. Make a list of all the activities of the project along. To calculate the critical path we will follow the following steps: All you. Network Diagram Calculator.
From www.allbusinesstemplates.com
Network Diagram Excel Templates at Network Diagram Calculator With a completed network diagram and an activity estimate you can now identify your critical path. All you need is select a diagram template for your use,. Once you have entered all the tasks, their dependencies, and the estimates, please click below to find the critical path. Make a list of all the activities of the project along. You can. Network Diagram Calculator.
From monday.com
PERT Everything you need to know Blog Network Diagram Calculator With a completed network diagram and an activity estimate you can now identify your critical path. Once you have entered all the tasks, their dependencies, and the estimates, please click below to find the critical path. All you need is select a diagram template for your use,. To calculate the critical path we will follow the following steps: Make a. Network Diagram Calculator.
From engineers07.com
Total float calculate it in a Network diagram Network Diagram Calculator You can do this by identifying the longest path through the network or the longest sequence of. Once you have entered all the tasks, their dependencies, and the estimates, please click below to find the critical path. With a completed network diagram and an activity estimate you can now identify your critical path. All you need is select a diagram. Network Diagram Calculator.
From www.pocketbook.co.uk
critical path analysis Archives Management Pocketbooks Network Diagram Calculator Once you have entered all the tasks, their dependencies, and the estimates, please click below to find the critical path. To calculate the critical path we will follow the following steps: With a completed network diagram and an activity estimate you can now identify your critical path. You can do this by identifying the longest path through the network or. Network Diagram Calculator.
From hanenhuusholli.blogspot.com
Pmp Network Diagram Sample Questions Hanenhuusholli Network Diagram Calculator You can do this by identifying the longest path through the network or the longest sequence of. Once you have entered all the tasks, their dependencies, and the estimates, please click below to find the critical path. All you need is select a diagram template for your use,. Make a list of all the activities of the project along. With. Network Diagram Calculator.
From pe.nebulome.com
Final network diagram Network Diagram Calculator All you need is select a diagram template for your use,. With a completed network diagram and an activity estimate you can now identify your critical path. To calculate the critical path we will follow the following steps: Once you have entered all the tasks, their dependencies, and the estimates, please click below to find the critical path. You can. Network Diagram Calculator.
From 1000projects.org
Network Monitoring System with Simple IP Calculator Tool ER Network Diagram Calculator Make a list of all the activities of the project along. You can do this by identifying the longest path through the network or the longest sequence of. All you need is select a diagram template for your use,. To calculate the critical path we will follow the following steps: With a completed network diagram and an activity estimate you. Network Diagram Calculator.
From www.chegg.com
Solved cc. Create a Network Diagram dd. Calculate ES, EF, Network Diagram Calculator You can do this by identifying the longest path through the network or the longest sequence of. Once you have entered all the tasks, their dependencies, and the estimates, please click below to find the critical path. Make a list of all the activities of the project along. To calculate the critical path we will follow the following steps: All. Network Diagram Calculator.
From www.simplilearn.com
Critical Path Method Explained Boost Project Efficiency Network Diagram Calculator Make a list of all the activities of the project along. With a completed network diagram and an activity estimate you can now identify your critical path. Once you have entered all the tasks, their dependencies, and the estimates, please click below to find the critical path. All you need is select a diagram template for your use,. You can. Network Diagram Calculator.
From pm.stackexchange.com
critical path Slack value in a project network diagram? Project Network Diagram Calculator All you need is select a diagram template for your use,. With a completed network diagram and an activity estimate you can now identify your critical path. To calculate the critical path we will follow the following steps: You can do this by identifying the longest path through the network or the longest sequence of. Make a list of all. Network Diagram Calculator.
From www.youtube.com
What is Free Float (Free Slack) and how to calculate it in a network Network Diagram Calculator Make a list of all the activities of the project along. Once you have entered all the tasks, their dependencies, and the estimates, please click below to find the critical path. You can do this by identifying the longest path through the network or the longest sequence of. All you need is select a diagram template for your use,. To. Network Diagram Calculator.
From studylib.net
Calculating Critical Path & Float for a Network Network Diagram Calculator Make a list of all the activities of the project along. With a completed network diagram and an activity estimate you can now identify your critical path. To calculate the critical path we will follow the following steps: All you need is select a diagram template for your use,. Once you have entered all the tasks, their dependencies, and the. Network Diagram Calculator.
From wiringfixbugatti.z19.web.core.windows.net
Network Diagram Calculator Network Diagram Calculator Make a list of all the activities of the project along. Once you have entered all the tasks, their dependencies, and the estimates, please click below to find the critical path. With a completed network diagram and an activity estimate you can now identify your critical path. All you need is select a diagram template for your use,. To calculate. Network Diagram Calculator.
From compustar-wiring-diagram.blogspot.com
Calculator Circuit Diagram Overhead View Of Calculator On Circuit Network Diagram Calculator All you need is select a diagram template for your use,. You can do this by identifying the longest path through the network or the longest sequence of. With a completed network diagram and an activity estimate you can now identify your critical path. Make a list of all the activities of the project along. Once you have entered all. Network Diagram Calculator.
From governmentwastemanagementbensan.blogspot.com
Government Waste Management How To Draw A Network Diagram In Project Network Diagram Calculator With a completed network diagram and an activity estimate you can now identify your critical path. All you need is select a diagram template for your use,. To calculate the critical path we will follow the following steps: Once you have entered all the tasks, their dependencies, and the estimates, please click below to find the critical path. You can. Network Diagram Calculator.
From ecampusontario.pressbooks.pub
11. Resource Planning Project Management Network Diagram Calculator To calculate the critical path we will follow the following steps: You can do this by identifying the longest path through the network or the longest sequence of. Once you have entered all the tasks, their dependencies, and the estimates, please click below to find the critical path. All you need is select a diagram template for your use,. With. Network Diagram Calculator.
From www.chegg.com
Solved 3. Given the following network diagram, calculate the Network Diagram Calculator Once you have entered all the tasks, their dependencies, and the estimates, please click below to find the critical path. All you need is select a diagram template for your use,. With a completed network diagram and an activity estimate you can now identify your critical path. To calculate the critical path we will follow the following steps: Make a. Network Diagram Calculator.
From exosbbnfj.blob.core.windows.net
Network Diagram Critical Path Calculator at Michael Faust blog Network Diagram Calculator Make a list of all the activities of the project along. All you need is select a diagram template for your use,. Once you have entered all the tasks, their dependencies, and the estimates, please click below to find the critical path. To calculate the critical path we will follow the following steps: With a completed network diagram and an. Network Diagram Calculator.
From www.chegg.com
Solved a. Choose the correct project network diagram below. Network Diagram Calculator Make a list of all the activities of the project along. To calculate the critical path we will follow the following steps: All you need is select a diagram template for your use,. Once you have entered all the tasks, their dependencies, and the estimates, please click below to find the critical path. With a completed network diagram and an. Network Diagram Calculator.