How Long Is 1700 Feet . 1,700 ft to m conversion. How long is 1700 feet in miles? The conversion factor from feet to miles is. 1700 feet to miles: Ft) is a unit of length. = 0.32197 miles (mi) visit 1700 miles to feet conversion. How to convert from feet to miles. 35 rows how long is 1,700 feet? This simple calculator will allow you to easily convert 1,700 ft to mi. 1700 feet is equivalent to 0.3219696969697 miles. It is equal to 0.3048 m, and used in. To calculate your height in centimeters from inches, multiply your. (decimal) 5.1816 x 10 2. How far is 1.7 thousand feet in meters? How far is 1.7 thousand feet in miles?
from www.youtube.com
Ft) is a unit of length. How far is 1.7 thousand feet in miles? 35 rows how long is 1,700 feet? = 0.32197 miles (mi) visit 1700 miles to feet conversion. To calculate your height in centimeters from inches, multiply your. 35 rows how long is 1,700 feet? 1,700 ft to m conversion. 1700 feet to miles: How long is 1700 feet in miles? How to calculate your height in cm.
Flying over 1700 feet highaltitude flying Township Aerial
How Long Is 1700 Feet 1700 feet equals 0.322 miles. Here’s everything about the 1700 ft to miles conversion, including the formula, useful information, and a distance. It is equal to 0.3048 m, and used in. How to calculate your height in cm. How far is 1.7 thousand feet in meters? 35 rows how long is 1,700 feet? 1700 feet to miles: (decimal) 5.1816 x 10 2. 1,700 ft to m conversion. To calculate your height in centimeters from inches, multiply your. = 0.32197 miles (mi) visit 1700 miles to feet conversion. The conversion factor from feet to miles is. 35 rows how long is 1,700 feet? How long is 1700 feet in miles? 1700 feet equals 0.322 miles. How to convert from feet to miles.
From whatisconvert.com
What is 1700 Square Feet in Square Meters? Convert 1700 ft2 to m2 How Long Is 1700 Feet How to calculate your height in cm. 1,700 ft to m conversion. 35 rows how long is 1,700 feet? (decimal) 5.1816 x 10 2. How far is 1.7 thousand feet in miles? The conversion factor from feet to miles is. Here’s everything about the 1700 ft to miles conversion, including the formula, useful information, and a distance. How far. How Long Is 1700 Feet.
From www.flickr.com
11J ABOVE 244 At about 1,700 feet in elevation and 800 fee… Flickr How Long Is 1700 Feet = 0.32197 miles (mi) visit 1700 miles to feet conversion. 1700 feet equals 0.322 miles. 1700 feet is equivalent to 0.3219696969697 miles. It is equal to 0.3048 m, and used in. How far is 1.7 thousand feet in miles? (decimal) 5.1816 x 10 2. How long is 1700 feet in miles? 35 rows how long is 1,700. How Long Is 1700 Feet.
From www.achahomes.com
1700 Square Feet Traditional House Plan with Beautiful Elevation like4 How Long Is 1700 Feet How far is 1.7 thousand feet in miles? 1700 feet is equivalent to 0.3219696969697 miles. How far is 1.7 thousand feet in meters? Ft) is a unit of length. 1700 feet to miles: = 0.32197 miles (mi) visit 1700 miles to feet conversion. The conversion factor from feet to miles is. 1700 feet equals 0.322 miles. It. How Long Is 1700 Feet.
From www.flickr.com
1700 Feet Up Some pictures from my 50 mile bicycle round t… Flickr How Long Is 1700 Feet Here’s everything about the 1700 ft to miles conversion, including the formula, useful information, and a distance. How far is 1.7 thousand feet in meters? 1700 feet is equivalent to 0.3219696969697 miles. (decimal) 5.1816 x 10 2. 35 rows how long is 1,700 feet? 1,700 ft to m conversion. How to convert from feet to miles. How far. How Long Is 1700 Feet.
From www.reddit.com
11 miles and 1700 feet increase in elevation later r/pics How Long Is 1700 Feet 1,700 ft to m conversion. 35 rows how long is 1,700 feet? How long is 1700 feet in miles? 35 rows how long is 1,700 feet? How to calculate your height in cm. (decimal) 5.1816 x 10 2. This simple calculator will allow you to easily convert 1,700 ft to mi. = 0.32197 miles (mi) visit 1700. How Long Is 1700 Feet.
From floorplans.click
1700 Square Feet Floor Plans floorplans.click How Long Is 1700 Feet 1700 feet to miles: = 0.32197 miles (mi) visit 1700 miles to feet conversion. It is equal to 0.3048 m, and used in. 35 rows how long is 1,700 feet? 35 rows how long is 1,700 feet? How far is 1.7 thousand feet in miles? 1,700 ft to m conversion. This simple calculator will allow you. How Long Is 1700 Feet.
From www.nydailynews.com
All about dangling Tom Cruise 1,700 feet over Dubai for 'Mission How Long Is 1700 Feet How to calculate your height in cm. How far is 1.7 thousand feet in miles? How far is 1.7 thousand feet in meters? This simple calculator will allow you to easily convert 1,700 ft to mi. Here’s everything about the 1700 ft to miles conversion, including the formula, useful information, and a distance. 1700 feet is equivalent to 0.3219696969697. How Long Is 1700 Feet.
From freerepublic.com
Stairway to Safety Climbing to the top of a 1700 foot tall tower to How Long Is 1700 Feet 1,700 ft to m conversion. 35 rows how long is 1,700 feet? 1700 feet to miles: How to convert from feet to miles. 35 rows how long is 1,700 feet? How far is 1.7 thousand feet in meters? How to calculate your height in cm. (decimal) 5.1816 x 10 2. Ft) is a unit of length. How Long Is 1700 Feet.
From campestre.al.gov.br
Historical Shoes 1700, Shoes 18th century leather campestre.al.gov.br How Long Is 1700 Feet How to convert from feet to miles. To calculate your height in centimeters from inches, multiply your. The conversion factor from feet to miles is. 1,700 ft to m conversion. = 0.32197 miles (mi) visit 1700 miles to feet conversion. 35 rows how long is 1,700 feet? 35 rows how long is 1,700 feet? How long is. How Long Is 1700 Feet.
From whatisconvert.com
What is 1700 Centimeters in Feet? Convert 1700 cm to ft How Long Is 1700 Feet How to calculate your height in cm. It is equal to 0.3048 m, and used in. How far is 1.7 thousand feet in miles? How long is 1700 feet in miles? 1700 feet is equivalent to 0.3219696969697 miles. This simple calculator will allow you to easily convert 1,700 ft to mi. How far is 1.7 thousand feet in meters?. How Long Is 1700 Feet.
From ellibredelavida.blogspot.com
1700 sq feet house ellibredelavida How Long Is 1700 Feet (decimal) 5.1816 x 10 2. 1,700 ft to m conversion. 35 rows how long is 1,700 feet? 1700 feet equals 0.322 miles. How to convert from feet to miles. The conversion factor from feet to miles is. How far is 1.7 thousand feet in miles? Here’s everything about the 1700 ft to miles conversion, including the formula, useful information,. How Long Is 1700 Feet.
From www.numerade.com
SOLVED A train track through a mountain is 1700 feet long and makes an How Long Is 1700 Feet This simple calculator will allow you to easily convert 1,700 ft to mi. How to calculate your height in cm. = 0.32197 miles (mi) visit 1700 miles to feet conversion. How far is 1.7 thousand feet in meters? The conversion factor from feet to miles is. 35 rows how long is 1,700 feet? Ft) is a unit of. How Long Is 1700 Feet.
From elevenmyanmar.com
The 1700 feet long “BamawSinkyin Tarpain” river crossing bridge How Long Is 1700 Feet How to calculate your height in cm. 1700 feet to miles: 1700 feet equals 0.322 miles. 35 rows how long is 1,700 feet? 35 rows how long is 1,700 feet? Ft) is a unit of length. (decimal) 5.1816 x 10 2. How long is 1700 feet in miles? 1,700 ft to m conversion. How Long Is 1700 Feet.
From calculat.io
1700 mm to feet and inches Calculatio How Long Is 1700 Feet It is equal to 0.3048 m, and used in. How far is 1.7 thousand feet in meters? 1700 feet equals 0.322 miles. How to calculate your height in cm. 1700 feet is equivalent to 0.3219696969697 miles. 35 rows how long is 1,700 feet? To calculate your height in centimeters from inches, multiply your. Here’s everything about the 1700. How Long Is 1700 Feet.
From www.aiophotoz.com
What Medieval Structure Became The Tallest Man Made Structure On Earth How Long Is 1700 Feet = 0.32197 miles (mi) visit 1700 miles to feet conversion. The conversion factor from feet to miles is. 1700 feet equals 0.322 miles. To calculate your height in centimeters from inches, multiply your. It is equal to 0.3048 m, and used in. How far is 1.7 thousand feet in miles? 1700 feet to miles: How far is 1.7. How Long Is 1700 Feet.
From www.archimple.com
Archimple Exploring the Size of 1700 Square Feet A Comprehensive Guide How Long Is 1700 Feet 1700 feet is equivalent to 0.3219696969697 miles. This simple calculator will allow you to easily convert 1,700 ft to mi. Ft) is a unit of length. 1,700 ft to m conversion. How to calculate your height in cm. The conversion factor from feet to miles is. = 0.32197 miles (mi) visit 1700 miles to feet conversion. 35. How Long Is 1700 Feet.
From www.youtube.com
Flying over 1700 feet highaltitude flying Township Aerial How Long Is 1700 Feet 1700 feet equals 0.322 miles. How to convert from feet to miles. How to calculate your height in cm. To calculate your height in centimeters from inches, multiply your. The conversion factor from feet to miles is. Here’s everything about the 1700 ft to miles conversion, including the formula, useful information, and a distance. 1700 feet to miles: How. How Long Is 1700 Feet.
From www.youtube.com
Stairway to Safety Climbing to the top of a 1700 foot tall tower to How Long Is 1700 Feet It is equal to 0.3048 m, and used in. The conversion factor from feet to miles is. 1700 feet is equivalent to 0.3219696969697 miles. This simple calculator will allow you to easily convert 1,700 ft to mi. How to convert from feet to miles. To calculate your height in centimeters from inches, multiply your. How to calculate your height. How Long Is 1700 Feet.
From www.trucksbuses.com
Compare Pickup/Mini Truck Mahindra Veero 1.5 XXL V4 Vs Tata Yodha How Long Is 1700 Feet How far is 1.7 thousand feet in miles? It is equal to 0.3048 m, and used in. 1,700 ft to m conversion. How long is 1700 feet in miles? The conversion factor from feet to miles is. 35 rows how long is 1,700 feet? 1700 feet to miles: To calculate your height in centimeters from inches, multiply your.. How Long Is 1700 Feet.
From www.youtube.com
1700 feet drone Height shorts viral letest YouTube How Long Is 1700 Feet The conversion factor from feet to miles is. How far is 1.7 thousand feet in miles? 1,700 ft to m conversion. How to convert from feet to miles. 35 rows how long is 1,700 feet? (decimal) 5.1816 x 10 2. How to calculate your height in cm. It is equal to 0.3048 m, and used in. Here’s everything about. How Long Is 1700 Feet.
From mungfali.com
1700 Square Feet House Plans How Long Is 1700 Feet The conversion factor from feet to miles is. = 0.32197 miles (mi) visit 1700 miles to feet conversion. 1700 feet is equivalent to 0.3219696969697 miles. It is equal to 0.3048 m, and used in. 1,700 ft to m conversion. Ft) is a unit of length. (decimal) 5.1816 x 10 2. Here’s everything about the 1700 ft to miles. How Long Is 1700 Feet.
From www.kgs.ku.edu
116Core Description17001720 feet How Long Is 1700 Feet 35 rows how long is 1,700 feet? To calculate your height in centimeters from inches, multiply your. 1700 feet is equivalent to 0.3219696969697 miles. How to convert from feet to miles. 1700 feet equals 0.322 miles. Ft) is a unit of length. = 0.32197 miles (mi) visit 1700 miles to feet conversion. 1700 feet to miles:. How Long Is 1700 Feet.
From www.facebook.com
World's longest pedestrian suspension bridge opens in Portugal How Long Is 1700 Feet Ft) is a unit of length. 1,700 ft to m conversion. How to convert from feet to miles. How far is 1.7 thousand feet in miles? The conversion factor from feet to miles is. How far is 1.7 thousand feet in meters? To calculate your height in centimeters from inches, multiply your. 35 rows how long is 1,700 feet?. How Long Is 1700 Feet.
From slideplayer.com
Right Triangles Trigonometry ppt download How Long Is 1700 Feet 35 rows how long is 1,700 feet? (decimal) 5.1816 x 10 2. 35 rows how long is 1,700 feet? How to convert from feet to miles. It is equal to 0.3048 m, and used in. To calculate your height in centimeters from inches, multiply your. How far is 1.7 thousand feet in meters? 1700 feet to miles:. How Long Is 1700 Feet.
From www.youtube.com
Attempted Spot Landing from 1700 feet with the Motor Off YouTube How Long Is 1700 Feet 1700 feet equals 0.322 miles. This simple calculator will allow you to easily convert 1,700 ft to mi. Here’s everything about the 1700 ft to miles conversion, including the formula, useful information, and a distance. 35 rows how long is 1,700 feet? 1700 feet to miles: How far is 1.7 thousand feet in miles? = 0.32197 miles. How Long Is 1700 Feet.
From www.achahomes.com
1700 Square Feet Traditional House Plan, Indian, Kerala Style How Long Is 1700 Feet Ft) is a unit of length. It is equal to 0.3048 m, and used in. How to calculate your height in cm. 1700 feet to miles: 1700 feet equals 0.322 miles. How to convert from feet to miles. 1,700 ft to m conversion. How far is 1.7 thousand feet in miles? 35 rows how long is 1,700 feet? How Long Is 1700 Feet.
From www.youtube.com
1700 foot TV tower YouTube How Long Is 1700 Feet Here’s everything about the 1700 ft to miles conversion, including the formula, useful information, and a distance. How far is 1.7 thousand feet in meters? 35 rows how long is 1,700 feet? To calculate your height in centimeters from inches, multiply your. 1700 feet to miles: The conversion factor from feet to miles is. How to convert from. How Long Is 1700 Feet.
From www.bhgre.com
1700 Pacific Avenue, Long Beach, CA 90813 BHGRE How Long Is 1700 Feet Ft) is a unit of length. How far is 1.7 thousand feet in miles? The conversion factor from feet to miles is. How to calculate your height in cm. How to convert from feet to miles. To calculate your height in centimeters from inches, multiply your. 1700 feet equals 0.322 miles. How long is 1700 feet in miles? 35. How Long Is 1700 Feet.
From feet-to-cm.appspot.com
1700 Feet To Centimeters Converter 1700 ft To cm Converter How Long Is 1700 Feet How to calculate your height in cm. How to convert from feet to miles. The conversion factor from feet to miles is. 35 rows how long is 1,700 feet? (decimal) 5.1816 x 10 2. Ft) is a unit of length. 35 rows how long is 1,700 feet? How far is 1.7 thousand feet in miles? 1,700 ft to. How Long Is 1700 Feet.
From www.numerade.com
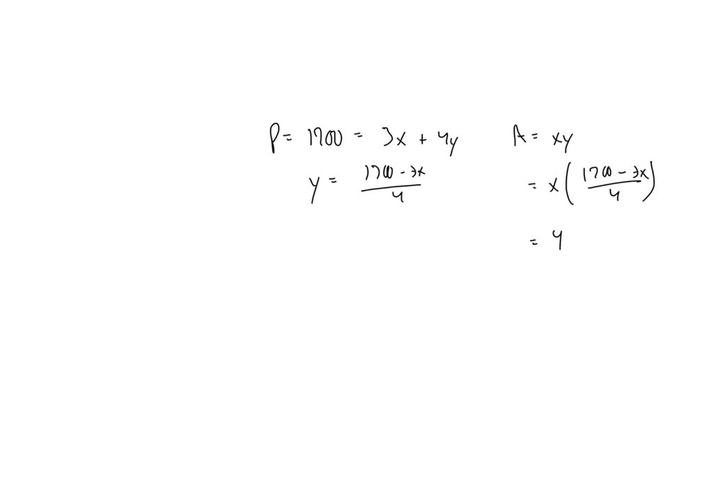
A rancher has 1700 feet of fencing to construct six corrals.as shown in How Long Is 1700 Feet How to calculate your height in cm. 35 rows how long is 1,700 feet? The conversion factor from feet to miles is. 1700 feet to miles: To calculate your height in centimeters from inches, multiply your. This simple calculator will allow you to easily convert 1,700 ft to mi. 35 rows how long is 1,700 feet? Ft). How Long Is 1700 Feet.
From www.pinterest.com
Stairway to Safety Climbing to the top of a 1700 foot tall tower to How Long Is 1700 Feet 35 rows how long is 1,700 feet? How to convert from feet to miles. How long is 1700 feet in miles? Here’s everything about the 1700 ft to miles conversion, including the formula, useful information, and a distance. 1700 feet to miles: To calculate your height in centimeters from inches, multiply your. How far is 1.7 thousand feet. How Long Is 1700 Feet.
From floorplans.click
1700 Sq Ft Ranch House Floor Plans floorplans.click How Long Is 1700 Feet To calculate your height in centimeters from inches, multiply your. The conversion factor from feet to miles is. It is equal to 0.3048 m, and used in. 1,700 ft to m conversion. How far is 1.7 thousand feet in meters? This simple calculator will allow you to easily convert 1,700 ft to mi. (decimal) 5.1816 x 10 2. How to. How Long Is 1700 Feet.
From cozydreamhome.com
Is 1600 1700 Square Feet Small or Big For a House? Cozy Dream Home How Long Is 1700 Feet = 0.32197 miles (mi) visit 1700 miles to feet conversion. How far is 1.7 thousand feet in meters? This simple calculator will allow you to easily convert 1,700 ft to mi. 35 rows how long is 1,700 feet? How to convert from feet to miles. Ft) is a unit of length. 35 rows how long is 1,700. How Long Is 1700 Feet.
From www.reddit.com
Tallest building in the Western hemisphere. Over 1700 feet. I thinks it How Long Is 1700 Feet 1700 feet is equivalent to 0.3219696969697 miles. This simple calculator will allow you to easily convert 1,700 ft to mi. 1700 feet to miles: (decimal) 5.1816 x 10 2. Ft) is a unit of length. 35 rows how long is 1,700 feet? How far is 1.7 thousand feet in meters? It is equal to 0.3048 m, and. How Long Is 1700 Feet.
From bmxracingthailand.com
How Big Is 1700 Square Feet? New Update How Long Is 1700 Feet 1700 feet to miles: How far is 1.7 thousand feet in miles? How to convert from feet to miles. Ft) is a unit of length. 1,700 ft to m conversion. The conversion factor from feet to miles is. Here’s everything about the 1700 ft to miles conversion, including the formula, useful information, and a distance. 1700 feet equals 0.322. How Long Is 1700 Feet.