Antiderivative Of Cot^2X . set up the integral to solve. what is the integral of cot2x? the integral calculator lets you calculate integrals and antiderivatives of functions online — for free! Let’s proceed with finding its. F (x) = ∫ cot(x)dx f (x) = ∫ cot (x) d x. The integral of cot(x) cot (x) with respect to x x is ln(|sin(x)|) ln (|. Our calculator allows you to check your solutions to. But instead of searching online for the. The integral of cot2x is equal to (1/2) ln |sin2x| + c, where c is the integration constant. i have an integral with $\frac{1}{\tan^2x}$ needed to be evaluated. First $$ \csc^2 x = \cot^2 x+ 1 $$. how do you find the antiderivative of $\cot^2x$? My steps to find it. To integrate cot^2x, also written as ∫cot 2 x dx, cot squared x, (cot x)^2, and cot^2 (x)we start by using. Type in any integral to get the solution, steps and graph
from www.teachoo.com
set up the integral to solve. But instead of searching online for the. how do you find the antiderivative of $\cot^2x$? To integrate cot^2x, also written as ∫cot 2 x dx, cot squared x, (cot x)^2, and cot^2 (x)we start by using. Let’s proceed with finding its. My steps to find it. what is the integral of cot2x? The integral of cot(x) cot (x) with respect to x x is ln(|sin(x)|) ln (|. i have an integral with $\frac{1}{\tan^2x}$ needed to be evaluated. the integral of cot (x), denoted as ∫cot (x) dx, can be evaluated using integration techniques.
Example 39 Evaluate integral [root cot x + root tan x] dx
Antiderivative Of Cot^2X set up the integral to solve. the integral of cot (x), denoted as ∫cot (x) dx, can be evaluated using integration techniques. set up the integral to solve. what is the integral of cot2x? i have an integral with $\frac{1}{\tan^2x}$ needed to be evaluated. My steps to find it. The integral of cot(x) cot (x) with respect to x x is ln(|sin(x)|) ln (|. But instead of searching online for the. The integral of cot2x is equal to (1/2) ln |sin2x| + c, where c is the integration constant. To integrate cot^2x, also written as ∫cot 2 x dx, cot squared x, (cot x)^2, and cot^2 (x)we start by using. First $$ \csc^2 x = \cot^2 x+ 1 $$. the integral calculator lets you calculate integrals and antiderivatives of functions online — for free! Our calculator allows you to check your solutions to. Let’s proceed with finding its. F (x) = ∫ cot(x)dx f (x) = ∫ cot (x) d x. how do you find the antiderivative of $\cot^2x$?
From www.teachoo.com
Ex 3.3, 22 Prove cot x cot 2x cot 2x cot 3x cot 3x cot x Antiderivative Of Cot^2X the integral of cot (x), denoted as ∫cot (x) dx, can be evaluated using integration techniques. The integral of cot2x is equal to (1/2) ln |sin2x| + c, where c is the integration constant. First $$ \csc^2 x = \cot^2 x+ 1 $$. how do you find the antiderivative of $\cot^2x$? To integrate cot^2x, also written as ∫cot. Antiderivative Of Cot^2X.
From giocifoqq.blob.core.windows.net
Integral Of Cot Formula at Almeda McCollum blog Antiderivative Of Cot^2X Let’s proceed with finding its. My steps to find it. First $$ \csc^2 x = \cot^2 x+ 1 $$. how do you find the antiderivative of $\cot^2x$? what is the integral of cot2x? i have an integral with $\frac{1}{\tan^2x}$ needed to be evaluated. F (x) = ∫ cot(x)dx f (x) = ∫ cot (x) d x. Type. Antiderivative Of Cot^2X.
From lessonfullsacristan.z22.web.core.windows.net
How To Do An Antiderivative Antiderivative Of Cot^2X Let’s proceed with finding its. First $$ \csc^2 x = \cot^2 x+ 1 $$. i have an integral with $\frac{1}{\tan^2x}$ needed to be evaluated. But instead of searching online for the. To integrate cot^2x, also written as ∫cot 2 x dx, cot squared x, (cot x)^2, and cot^2 (x)we start by using. the integral calculator lets you calculate. Antiderivative Of Cot^2X.
From edenmeowbeard.blogspot.com
Integral of Tan 2x Antiderivative Of Cot^2X But instead of searching online for the. the integral of cot (x), denoted as ∫cot (x) dx, can be evaluated using integration techniques. how do you find the antiderivative of $\cot^2x$? Type in any integral to get the solution, steps and graph the integral calculator lets you calculate integrals and antiderivatives of functions online — for free!. Antiderivative Of Cot^2X.
From www.youtube.com
Integral cotx Integral cot x Antiderivative of cotx Integration Antiderivative Of Cot^2X First $$ \csc^2 x = \cot^2 x+ 1 $$. The integral of cot(x) cot (x) with respect to x x is ln(|sin(x)|) ln (|. F (x) = ∫ cot(x)dx f (x) = ∫ cot (x) d x. i have an integral with $\frac{1}{\tan^2x}$ needed to be evaluated. The integral of cot2x is equal to (1/2) ln |sin2x| + c,. Antiderivative Of Cot^2X.
From www.youtube.com
Integration by u Substitution Integral of cot^2(x)csc^2(x) dx YouTube Antiderivative Of Cot^2X the integral calculator lets you calculate integrals and antiderivatives of functions online — for free! Let’s proceed with finding its. Our calculator allows you to check your solutions to. F (x) = ∫ cot(x)dx f (x) = ∫ cot (x) d x. The integral of cot(x) cot (x) with respect to x x is ln(|sin(x)|) ln (|. First $$. Antiderivative Of Cot^2X.
From www.youtube.com
How to integrate cot^2x YouTube Antiderivative Of Cot^2X the integral of cot (x), denoted as ∫cot (x) dx, can be evaluated using integration techniques. Let’s proceed with finding its. how do you find the antiderivative of $\cot^2x$? the integral calculator lets you calculate integrals and antiderivatives of functions online — for free! First $$ \csc^2 x = \cot^2 x+ 1 $$. set up the. Antiderivative Of Cot^2X.
From www.media4math.com
DefinitionCalculus TopicsAntiderivative Media4Math Antiderivative Of Cot^2X the integral of cot (x), denoted as ∫cot (x) dx, can be evaluated using integration techniques. The integral of cot2x is equal to (1/2) ln |sin2x| + c, where c is the integration constant. My steps to find it. Let’s proceed with finding its. But instead of searching online for the. what is the integral of cot2x? F. Antiderivative Of Cot^2X.
From www.bartleby.com
Answered 15. Find the antiderivatives. a. f x^2e… bartleby Antiderivative Of Cot^2X My steps to find it. how do you find the antiderivative of $\cot^2x$? The integral of cot2x is equal to (1/2) ln |sin2x| + c, where c is the integration constant. The integral of cot(x) cot (x) with respect to x x is ln(|sin(x)|) ln (|. But instead of searching online for the. Let’s proceed with finding its. Type. Antiderivative Of Cot^2X.
From www.teachoo.com
Example 39 Evaluate integral [root cot x + root tan x] dx Antiderivative Of Cot^2X But instead of searching online for the. To integrate cot^2x, also written as ∫cot 2 x dx, cot squared x, (cot x)^2, and cot^2 (x)we start by using. the integral of cot (x), denoted as ∫cot (x) dx, can be evaluated using integration techniques. Our calculator allows you to check your solutions to. Type in any integral to get. Antiderivative Of Cot^2X.
From www.youtube.com
Integral of 1cot^2(x) YouTube Antiderivative Of Cot^2X My steps to find it. F (x) = ∫ cot(x)dx f (x) = ∫ cot (x) d x. Our calculator allows you to check your solutions to. Let’s proceed with finding its. But instead of searching online for the. Type in any integral to get the solution, steps and graph To integrate cot^2x, also written as ∫cot 2 x dx,. Antiderivative Of Cot^2X.
From www.imathist.com
Cot2x Identity, Formula, Proof iMath Antiderivative Of Cot^2X set up the integral to solve. F (x) = ∫ cot(x)dx f (x) = ∫ cot (x) d x. what is the integral of cot2x? i have an integral with $\frac{1}{\tan^2x}$ needed to be evaluated. Type in any integral to get the solution, steps and graph But instead of searching online for the. The integral of cot(x). Antiderivative Of Cot^2X.
From socratic.org
How do you find the antiderivative of 7/(x^2+36)? Socratic Antiderivative Of Cot^2X i have an integral with $\frac{1}{\tan^2x}$ needed to be evaluated. Type in any integral to get the solution, steps and graph Our calculator allows you to check your solutions to. what is the integral of cot2x? My steps to find it. the integral calculator lets you calculate integrals and antiderivatives of functions online — for free! The. Antiderivative Of Cot^2X.
From www.youtube.com
The Integral of (csc 2x cot 2x)^2 YouTube Antiderivative Of Cot^2X the integral calculator lets you calculate integrals and antiderivatives of functions online — for free! Let’s proceed with finding its. the integral of cot (x), denoted as ∫cot (x) dx, can be evaluated using integration techniques. But instead of searching online for the. Type in any integral to get the solution, steps and graph F (x) = ∫. Antiderivative Of Cot^2X.
From www.teachoo.com
Example 1 (i) Write antiderivative of cos 2x Teachoo Antiderivative Of Cot^2X The integral of cot(x) cot (x) with respect to x x is ln(|sin(x)|) ln (|. Type in any integral to get the solution, steps and graph F (x) = ∫ cot(x)dx f (x) = ∫ cot (x) d x. Our calculator allows you to check your solutions to. i have an integral with $\frac{1}{\tan^2x}$ needed to be evaluated. But. Antiderivative Of Cot^2X.
From trigidentities.net
Antiderivative Of Trig Functions [Integration of Trig] Antiderivative Of Cot^2X the integral calculator lets you calculate integrals and antiderivatives of functions online — for free! Our calculator allows you to check your solutions to. My steps to find it. the integral of cot (x), denoted as ∫cot (x) dx, can be evaluated using integration techniques. Type in any integral to get the solution, steps and graph i. Antiderivative Of Cot^2X.
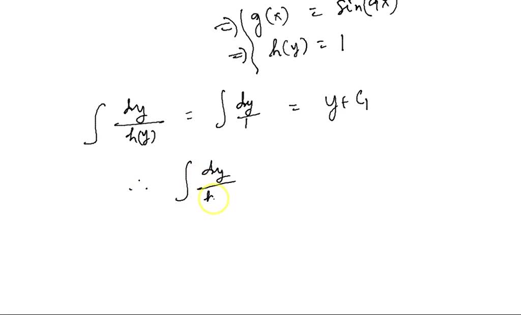
From www.numerade.com
SOLVED help The following differential equation is separable as it is Antiderivative Of Cot^2X the integral of cot (x), denoted as ∫cot (x) dx, can be evaluated using integration techniques. First $$ \csc^2 x = \cot^2 x+ 1 $$. To integrate cot^2x, also written as ∫cot 2 x dx, cot squared x, (cot x)^2, and cot^2 (x)we start by using. set up the integral to solve. F (x) = ∫ cot(x)dx f. Antiderivative Of Cot^2X.
From hxehbdbll.blob.core.windows.net
Integration Of Cot Inverse X at William Mohr blog Antiderivative Of Cot^2X i have an integral with $\frac{1}{\tan^2x}$ needed to be evaluated. To integrate cot^2x, also written as ∫cot 2 x dx, cot squared x, (cot x)^2, and cot^2 (x)we start by using. Let’s proceed with finding its. The integral of cot(x) cot (x) with respect to x x is ln(|sin(x)|) ln (|. First $$ \csc^2 x = \cot^2 x+ 1. Antiderivative Of Cot^2X.
From www.ilectureonline.com
Antiderivative Of Cot^2X Let’s proceed with finding its. The integral of cot2x is equal to (1/2) ln |sin2x| + c, where c is the integration constant. i have an integral with $\frac{1}{\tan^2x}$ needed to be evaluated. the integral of cot (x), denoted as ∫cot (x) dx, can be evaluated using integration techniques. F (x) = ∫ cot(x)dx f (x) = ∫. Antiderivative Of Cot^2X.
From joskabegaminqzc.blogspot.com
【人気ダウンロード!】 tan^2x antiderivative 249129Tan^2x antiderivative Antiderivative Of Cot^2X i have an integral with $\frac{1}{\tan^2x}$ needed to be evaluated. F (x) = ∫ cot(x)dx f (x) = ∫ cot (x) d x. Our calculator allows you to check your solutions to. Type in any integral to get the solution, steps and graph the integral calculator lets you calculate integrals and antiderivatives of functions online — for free!. Antiderivative Of Cot^2X.
From www.teachoo.com
Ex 7.1, 5 Find antiderivative of sin 2x 4 e^3x Chapter 7 Antiderivative Of Cot^2X Let’s proceed with finding its. Type in any integral to get the solution, steps and graph The integral of cot(x) cot (x) with respect to x x is ln(|sin(x)|) ln (|. Our calculator allows you to check your solutions to. F (x) = ∫ cot(x)dx f (x) = ∫ cot (x) d x. i have an integral with $\frac{1}{\tan^2x}$. Antiderivative Of Cot^2X.
From www.youtube.com
Integral cot(x)cos^2(x) YouTube Antiderivative Of Cot^2X what is the integral of cot2x? The integral of cot2x is equal to (1/2) ln |sin2x| + c, where c is the integration constant. My steps to find it. the integral calculator lets you calculate integrals and antiderivatives of functions online — for free! set up the integral to solve. Let’s proceed with finding its. F (x). Antiderivative Of Cot^2X.
From exyaoayhi.blob.core.windows.net
What Is The Integral Of Cotx at Shirley Muller blog Antiderivative Of Cot^2X My steps to find it. the integral calculator lets you calculate integrals and antiderivatives of functions online — for free! Let’s proceed with finding its. First $$ \csc^2 x = \cot^2 x+ 1 $$. The integral of cot2x is equal to (1/2) ln |sin2x| + c, where c is the integration constant. set up the integral to solve.. Antiderivative Of Cot^2X.
From www.youtube.com
integral of cot(x), calculus 1 tutorial, basic usubstitution problem Antiderivative Of Cot^2X what is the integral of cot2x? i have an integral with $\frac{1}{\tan^2x}$ needed to be evaluated. how do you find the antiderivative of $\cot^2x$? Our calculator allows you to check your solutions to. Type in any integral to get the solution, steps and graph the integral of cot (x), denoted as ∫cot (x) dx, can be. Antiderivative Of Cot^2X.
From www.youtube.com
Integral cot^4 x dx YouTube Antiderivative Of Cot^2X Our calculator allows you to check your solutions to. the integral of cot (x), denoted as ∫cot (x) dx, can be evaluated using integration techniques. But instead of searching online for the. To integrate cot^2x, also written as ∫cot 2 x dx, cot squared x, (cot x)^2, and cot^2 (x)we start by using. My steps to find it. . Antiderivative Of Cot^2X.
From exynlgcjo.blob.core.windows.net
Derivative Of Cot Pi/2 at Greg Flores blog Antiderivative Of Cot^2X the integral of cot (x), denoted as ∫cot (x) dx, can be evaluated using integration techniques. how do you find the antiderivative of $\cot^2x$? But instead of searching online for the. set up the integral to solve. My steps to find it. The integral of cot2x is equal to (1/2) ln |sin2x| + c, where c is. Antiderivative Of Cot^2X.
From www.imathist.com
What is the Integration of cot^2x Integral of cot^2 x iMath Antiderivative Of Cot^2X set up the integral to solve. First $$ \csc^2 x = \cot^2 x+ 1 $$. how do you find the antiderivative of $\cot^2x$? My steps to find it. Our calculator allows you to check your solutions to. the integral calculator lets you calculate integrals and antiderivatives of functions online — for free! To integrate cot^2x, also written. Antiderivative Of Cot^2X.
From www.youtube.com
4.82 Some trigonometric antiderivatives YouTube Antiderivative Of Cot^2X F (x) = ∫ cot(x)dx f (x) = ∫ cot (x) d x. set up the integral to solve. how do you find the antiderivative of $\cot^2x$? Our calculator allows you to check your solutions to. My steps to find it. First $$ \csc^2 x = \cot^2 x+ 1 $$. the integral of cot (x), denoted as. Antiderivative Of Cot^2X.
From en.neurochispas.com
Derivative of Cotangent Squared, cot^2(x) with Proof and Graphs Antiderivative Of Cot^2X the integral of cot (x), denoted as ∫cot (x) dx, can be evaluated using integration techniques. i have an integral with $\frac{1}{\tan^2x}$ needed to be evaluated. Let’s proceed with finding its. Our calculator allows you to check your solutions to. the integral calculator lets you calculate integrals and antiderivatives of functions online — for free! My steps. Antiderivative Of Cot^2X.
From www.youtube.com
6.8 Finding Antiderivatives and Indefinite Integrals (Part 5 Antiderivative Of Cot^2X Type in any integral to get the solution, steps and graph Let’s proceed with finding its. The integral of cot(x) cot (x) with respect to x x is ln(|sin(x)|) ln (|. F (x) = ∫ cot(x)dx f (x) = ∫ cot (x) d x. what is the integral of cot2x? My steps to find it. But instead of searching. Antiderivative Of Cot^2X.
From www.youtube.com
Integral of cot 2x Integration of cot 2x Antiderivative of cot 2x Antiderivative Of Cot^2X The integral of cot(x) cot (x) with respect to x x is ln(|sin(x)|) ln (|. set up the integral to solve. First $$ \csc^2 x = \cot^2 x+ 1 $$. F (x) = ∫ cot(x)dx f (x) = ∫ cot (x) d x. i have an integral with $\frac{1}{\tan^2x}$ needed to be evaluated. To integrate cot^2x, also written. Antiderivative Of Cot^2X.
From exykzzzip.blob.core.windows.net
The Integral Int Cos4X 1 Cot X Tan X Is Equal To at Shirly Huston blog Antiderivative Of Cot^2X The integral of cot2x is equal to (1/2) ln |sin2x| + c, where c is the integration constant. But instead of searching online for the. the integral of cot (x), denoted as ∫cot (x) dx, can be evaluated using integration techniques. Let’s proceed with finding its. how do you find the antiderivative of $\cot^2x$? set up the. Antiderivative Of Cot^2X.
From www.youtube.com
Integral of csc^2x/cot^3x Calculus 1 YouTube Antiderivative Of Cot^2X To integrate cot^2x, also written as ∫cot 2 x dx, cot squared x, (cot x)^2, and cot^2 (x)we start by using. The integral of cot2x is equal to (1/2) ln |sin2x| + c, where c is the integration constant. what is the integral of cot2x? Our calculator allows you to check your solutions to. But instead of searching online. Antiderivative Of Cot^2X.
From materiallistmccoy.z21.web.core.windows.net
Find The Antiderivative Mathway Antiderivative Of Cot^2X set up the integral to solve. First $$ \csc^2 x = \cot^2 x+ 1 $$. The integral of cot2x is equal to (1/2) ln |sin2x| + c, where c is the integration constant. how do you find the antiderivative of $\cot^2x$? Let’s proceed with finding its. i have an integral with $\frac{1}{\tan^2x}$ needed to be evaluated. . Antiderivative Of Cot^2X.
From www.adda247.com
Integration of Cot x Explanation, Formula, Derivation, Examples Antiderivative Of Cot^2X set up the integral to solve. The integral of cot(x) cot (x) with respect to x x is ln(|sin(x)|) ln (|. The integral of cot2x is equal to (1/2) ln |sin2x| + c, where c is the integration constant. how do you find the antiderivative of $\cot^2x$? F (x) = ∫ cot(x)dx f (x) = ∫ cot (x). Antiderivative Of Cot^2X.