Magnesium Bromide Dissolved In Water Equation . in this video we will describe the equation mgbr2 + h2o and write what happens when mgbr2 is dissolved in. to tell if mgbr2 (magnesium bromide) forms an acidic, basic (alkaline), or neutral solution we can use these three. 133 rows solubility equilibrium defines the dynamic equilibria between a precipitate and its dissolved ions when the rate of. the dissolved substances in an aqueous solution may be solids, gases, or other liquids. when some substances are dissolved in water, they undergo either a physical or a chemical change that yields ions in. reaction with water: Magnesium bromide is a soluble in water and readily dissociates into magnesium ions and bromide ions. find the standard enthalpy, entropy and heat capacity of magnesium bromide in gas, liquid and solid phases. In order to be a true solution, a.
from www.numerade.com
reaction with water: In order to be a true solution, a. Magnesium bromide is a soluble in water and readily dissociates into magnesium ions and bromide ions. in this video we will describe the equation mgbr2 + h2o and write what happens when mgbr2 is dissolved in. find the standard enthalpy, entropy and heat capacity of magnesium bromide in gas, liquid and solid phases. when some substances are dissolved in water, they undergo either a physical or a chemical change that yields ions in. to tell if mgbr2 (magnesium bromide) forms an acidic, basic (alkaline), or neutral solution we can use these three. 133 rows solubility equilibrium defines the dynamic equilibria between a precipitate and its dissolved ions when the rate of. the dissolved substances in an aqueous solution may be solids, gases, or other liquids.
SOLVED State the kind of intermolecular forces that would occur
Magnesium Bromide Dissolved In Water Equation in this video we will describe the equation mgbr2 + h2o and write what happens when mgbr2 is dissolved in. when some substances are dissolved in water, they undergo either a physical or a chemical change that yields ions in. to tell if mgbr2 (magnesium bromide) forms an acidic, basic (alkaline), or neutral solution we can use these three. reaction with water: the dissolved substances in an aqueous solution may be solids, gases, or other liquids. find the standard enthalpy, entropy and heat capacity of magnesium bromide in gas, liquid and solid phases. In order to be a true solution, a. Magnesium bromide is a soluble in water and readily dissociates into magnesium ions and bromide ions. 133 rows solubility equilibrium defines the dynamic equilibria between a precipitate and its dissolved ions when the rate of. in this video we will describe the equation mgbr2 + h2o and write what happens when mgbr2 is dissolved in.
From www.numerade.com
Magnesium metal reacts with hydrobromic acid to produce hydrogen gas Magnesium Bromide Dissolved In Water Equation when some substances are dissolved in water, they undergo either a physical or a chemical change that yields ions in. In order to be a true solution, a. Magnesium bromide is a soluble in water and readily dissociates into magnesium ions and bromide ions. reaction with water: to tell if mgbr2 (magnesium bromide) forms an acidic, basic. Magnesium Bromide Dissolved In Water Equation.
From www.numerade.com
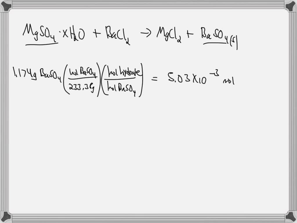
SOLVED Magnesium sulfate can exist as an anhydrous solid salt or it Magnesium Bromide Dissolved In Water Equation to tell if mgbr2 (magnesium bromide) forms an acidic, basic (alkaline), or neutral solution we can use these three. in this video we will describe the equation mgbr2 + h2o and write what happens when mgbr2 is dissolved in. In order to be a true solution, a. find the standard enthalpy, entropy and heat capacity of magnesium. Magnesium Bromide Dissolved In Water Equation.
From www.tessshebaylo.com
Ammonium Bromide Dissolved In Water Net Ionic Equation Tessshebaylo Magnesium Bromide Dissolved In Water Equation 133 rows solubility equilibrium defines the dynamic equilibria between a precipitate and its dissolved ions when the rate of. reaction with water: find the standard enthalpy, entropy and heat capacity of magnesium bromide in gas, liquid and solid phases. In order to be a true solution, a. in this video we will describe the equation mgbr2. Magnesium Bromide Dissolved In Water Equation.
From www.toppr.com
CO_2 on reaction with ethyl magnesium bromide given Magnesium Bromide Dissolved In Water Equation Magnesium bromide is a soluble in water and readily dissociates into magnesium ions and bromide ions. to tell if mgbr2 (magnesium bromide) forms an acidic, basic (alkaline), or neutral solution we can use these three. 133 rows solubility equilibrium defines the dynamic equilibria between a precipitate and its dissolved ions when the rate of. In order to be. Magnesium Bromide Dissolved In Water Equation.
From ar.inspiredpencil.com
Magnesium And Water Reaction Magnesium Bromide Dissolved In Water Equation Magnesium bromide is a soluble in water and readily dissociates into magnesium ions and bromide ions. 133 rows solubility equilibrium defines the dynamic equilibria between a precipitate and its dissolved ions when the rate of. find the standard enthalpy, entropy and heat capacity of magnesium bromide in gas, liquid and solid phases. reaction with water: to. Magnesium Bromide Dissolved In Water Equation.
From www.youtube.com
Equation for NaBr + H2O (Sodium bromide + Water) YouTube Magnesium Bromide Dissolved In Water Equation 133 rows solubility equilibrium defines the dynamic equilibria between a precipitate and its dissolved ions when the rate of. to tell if mgbr2 (magnesium bromide) forms an acidic, basic (alkaline), or neutral solution we can use these three. in this video we will describe the equation mgbr2 + h2o and write what happens when mgbr2 is dissolved. Magnesium Bromide Dissolved In Water Equation.
From www.numerade.com
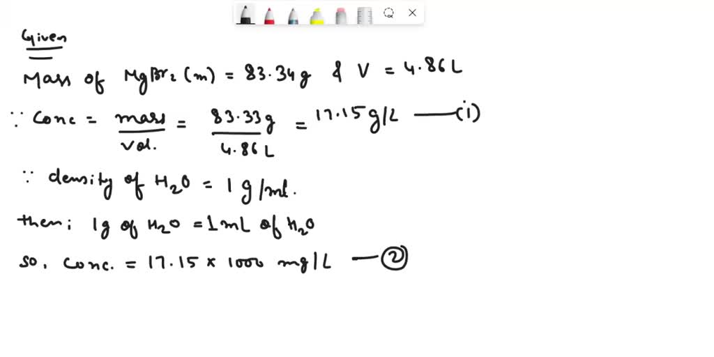
SOLVED What is the concentration of magnesium bromide, in ppm, if 83. Magnesium Bromide Dissolved In Water Equation In order to be a true solution, a. in this video we will describe the equation mgbr2 + h2o and write what happens when mgbr2 is dissolved in. 133 rows solubility equilibrium defines the dynamic equilibria between a precipitate and its dissolved ions when the rate of. reaction with water: find the standard enthalpy, entropy and. Magnesium Bromide Dissolved In Water Equation.
From www.numerade.com
SOLVED Identifying acids and bases Identify if each of the substances Magnesium Bromide Dissolved In Water Equation when some substances are dissolved in water, they undergo either a physical or a chemical change that yields ions in. In order to be a true solution, a. reaction with water: find the standard enthalpy, entropy and heat capacity of magnesium bromide in gas, liquid and solid phases. in this video we will describe the equation. Magnesium Bromide Dissolved In Water Equation.
From exykmjvzn.blob.core.windows.net
Magnesium Nitrate Dissolved In Water Equation at Marilyn Stewart blog Magnesium Bromide Dissolved In Water Equation In order to be a true solution, a. 133 rows solubility equilibrium defines the dynamic equilibria between a precipitate and its dissolved ions when the rate of. reaction with water: to tell if mgbr2 (magnesium bromide) forms an acidic, basic (alkaline), or neutral solution we can use these three. the dissolved substances in an aqueous solution. Magnesium Bromide Dissolved In Water Equation.
From www.numerade.com
SOLVED How many moles of each ion are in the following solutions? a Magnesium Bromide Dissolved In Water Equation to tell if mgbr2 (magnesium bromide) forms an acidic, basic (alkaline), or neutral solution we can use these three. In order to be a true solution, a. 133 rows solubility equilibrium defines the dynamic equilibria between a precipitate and its dissolved ions when the rate of. when some substances are dissolved in water, they undergo either a. Magnesium Bromide Dissolved In Water Equation.
From www.numerade.com
SOLVED points Save Determine the boiling point of = solution Magnesium Bromide Dissolved In Water Equation In order to be a true solution, a. 133 rows solubility equilibrium defines the dynamic equilibria between a precipitate and its dissolved ions when the rate of. the dissolved substances in an aqueous solution may be solids, gases, or other liquids. Magnesium bromide is a soluble in water and readily dissociates into magnesium ions and bromide ions. . Magnesium Bromide Dissolved In Water Equation.
From www.numerade.com
SOLVED The electrolysis of an aqueous solution of magnesium bromide Magnesium Bromide Dissolved In Water Equation Magnesium bromide is a soluble in water and readily dissociates into magnesium ions and bromide ions. to tell if mgbr2 (magnesium bromide) forms an acidic, basic (alkaline), or neutral solution we can use these three. in this video we will describe the equation mgbr2 + h2o and write what happens when mgbr2 is dissolved in. reaction with. Magnesium Bromide Dissolved In Water Equation.
From www.numerade.com
SOLVED The names and chemical formulae of some chemical compounds are Magnesium Bromide Dissolved In Water Equation find the standard enthalpy, entropy and heat capacity of magnesium bromide in gas, liquid and solid phases. 133 rows solubility equilibrium defines the dynamic equilibria between a precipitate and its dissolved ions when the rate of. Magnesium bromide is a soluble in water and readily dissociates into magnesium ions and bromide ions. in this video we will. Magnesium Bromide Dissolved In Water Equation.
From www.numerade.com
SOLVED The following molecular equation represents the reaction that Magnesium Bromide Dissolved In Water Equation In order to be a true solution, a. when some substances are dissolved in water, they undergo either a physical or a chemical change that yields ions in. 133 rows solubility equilibrium defines the dynamic equilibria between a precipitate and its dissolved ions when the rate of. Magnesium bromide is a soluble in water and readily dissociates into. Magnesium Bromide Dissolved In Water Equation.
From exykmjvzn.blob.core.windows.net
Magnesium Nitrate Dissolved In Water Equation at Marilyn Stewart blog Magnesium Bromide Dissolved In Water Equation the dissolved substances in an aqueous solution may be solids, gases, or other liquids. in this video we will describe the equation mgbr2 + h2o and write what happens when mgbr2 is dissolved in. when some substances are dissolved in water, they undergo either a physical or a chemical change that yields ions in. 133 rows. Magnesium Bromide Dissolved In Water Equation.
From fyoidypaj.blob.core.windows.net
Bromine Sodium Hydroxide Equation at Robert Herron blog Magnesium Bromide Dissolved In Water Equation the dissolved substances in an aqueous solution may be solids, gases, or other liquids. in this video we will describe the equation mgbr2 + h2o and write what happens when mgbr2 is dissolved in. find the standard enthalpy, entropy and heat capacity of magnesium bromide in gas, liquid and solid phases. 133 rows solubility equilibrium defines. Magnesium Bromide Dissolved In Water Equation.
From www.youtube.com
Is MgBr2 (Magnesium bromide) Ionic or Covalent? YouTube Magnesium Bromide Dissolved In Water Equation 133 rows solubility equilibrium defines the dynamic equilibria between a precipitate and its dissolved ions when the rate of. to tell if mgbr2 (magnesium bromide) forms an acidic, basic (alkaline), or neutral solution we can use these three. when some substances are dissolved in water, they undergo either a physical or a chemical change that yields ions. Magnesium Bromide Dissolved In Water Equation.
From www.slideshare.net
Calculate depression in freezing point of solution containing 10grams Magnesium Bromide Dissolved In Water Equation 133 rows solubility equilibrium defines the dynamic equilibria between a precipitate and its dissolved ions when the rate of. the dissolved substances in an aqueous solution may be solids, gases, or other liquids. In order to be a true solution, a. find the standard enthalpy, entropy and heat capacity of magnesium bromide in gas, liquid and solid. Magnesium Bromide Dissolved In Water Equation.
From www.numerade.com
SOLVED What will cause more Magnesium to be dissolved in a solution of Magnesium Bromide Dissolved In Water Equation the dissolved substances in an aqueous solution may be solids, gases, or other liquids. reaction with water: 133 rows solubility equilibrium defines the dynamic equilibria between a precipitate and its dissolved ions when the rate of. in this video we will describe the equation mgbr2 + h2o and write what happens when mgbr2 is dissolved in.. Magnesium Bromide Dissolved In Water Equation.
From www.numerade.com
SOLVED Will potassium hydroxide and magnesium bromide form a Magnesium Bromide Dissolved In Water Equation in this video we will describe the equation mgbr2 + h2o and write what happens when mgbr2 is dissolved in. reaction with water: to tell if mgbr2 (magnesium bromide) forms an acidic, basic (alkaline), or neutral solution we can use these three. In order to be a true solution, a. Magnesium bromide is a soluble in water. Magnesium Bromide Dissolved In Water Equation.
From www.numerade.com
SOLVED See Periodic Table See Hint A solution of potassium sulfide is Magnesium Bromide Dissolved In Water Equation 133 rows solubility equilibrium defines the dynamic equilibria between a precipitate and its dissolved ions when the rate of. Magnesium bromide is a soluble in water and readily dissociates into magnesium ions and bromide ions. to tell if mgbr2 (magnesium bromide) forms an acidic, basic (alkaline), or neutral solution we can use these three. In order to be. Magnesium Bromide Dissolved In Water Equation.
From www.numerade.com
The electrolysis of an aqueous solution of magnesium bromide (MgBr2 Magnesium Bromide Dissolved In Water Equation Magnesium bromide is a soluble in water and readily dissociates into magnesium ions and bromide ions. find the standard enthalpy, entropy and heat capacity of magnesium bromide in gas, liquid and solid phases. in this video we will describe the equation mgbr2 + h2o and write what happens when mgbr2 is dissolved in. reaction with water: . Magnesium Bromide Dissolved In Water Equation.
From www.numerade.com
What is the concentration of magnesium bromide, in ppm, if 72.49 g Magnesium Bromide Dissolved In Water Equation to tell if mgbr2 (magnesium bromide) forms an acidic, basic (alkaline), or neutral solution we can use these three. reaction with water: In order to be a true solution, a. when some substances are dissolved in water, they undergo either a physical or a chemical change that yields ions in. Magnesium bromide is a soluble in water. Magnesium Bromide Dissolved In Water Equation.
From www.youtube.com
Equation for NiCl2 + H2O YouTube Magnesium Bromide Dissolved In Water Equation In order to be a true solution, a. when some substances are dissolved in water, they undergo either a physical or a chemical change that yields ions in. to tell if mgbr2 (magnesium bromide) forms an acidic, basic (alkaline), or neutral solution we can use these three. the dissolved substances in an aqueous solution may be solids,. Magnesium Bromide Dissolved In Water Equation.
From www.toppr.com
Q.3. Calculate the freezing point of an aqueous soluth containing 10.5 Magnesium Bromide Dissolved In Water Equation Magnesium bromide is a soluble in water and readily dissociates into magnesium ions and bromide ions. when some substances are dissolved in water, they undergo either a physical or a chemical change that yields ions in. 133 rows solubility equilibrium defines the dynamic equilibria between a precipitate and its dissolved ions when the rate of. to tell. Magnesium Bromide Dissolved In Water Equation.
From www.tessshebaylo.com
Net Ionic Equation Ammonium Bromide Dissolved In Water Tessshebaylo Magnesium Bromide Dissolved In Water Equation find the standard enthalpy, entropy and heat capacity of magnesium bromide in gas, liquid and solid phases. In order to be a true solution, a. in this video we will describe the equation mgbr2 + h2o and write what happens when mgbr2 is dissolved in. reaction with water: to tell if mgbr2 (magnesium bromide) forms an. Magnesium Bromide Dissolved In Water Equation.
From www.numerade.com
SOLVED General Chemistry (CM13101A F20) 57.50 grams of MgBr2 are Magnesium Bromide Dissolved In Water Equation when some substances are dissolved in water, they undergo either a physical or a chemical change that yields ions in. Magnesium bromide is a soluble in water and readily dissociates into magnesium ions and bromide ions. to tell if mgbr2 (magnesium bromide) forms an acidic, basic (alkaline), or neutral solution we can use these three. find the. Magnesium Bromide Dissolved In Water Equation.
From www.numerade.com
Major species present dissolved in water when Formula compound Magnesium Bromide Dissolved In Water Equation In order to be a true solution, a. in this video we will describe the equation mgbr2 + h2o and write what happens when mgbr2 is dissolved in. to tell if mgbr2 (magnesium bromide) forms an acidic, basic (alkaline), or neutral solution we can use these three. 133 rows solubility equilibrium defines the dynamic equilibria between a. Magnesium Bromide Dissolved In Water Equation.
From www.numerade.com
SOLVED Solid magnesium hydroxide into gaseous water and Magnesium Bromide Dissolved In Water Equation 133 rows solubility equilibrium defines the dynamic equilibria between a precipitate and its dissolved ions when the rate of. to tell if mgbr2 (magnesium bromide) forms an acidic, basic (alkaline), or neutral solution we can use these three. reaction with water: In order to be a true solution, a. in this video we will describe the. Magnesium Bromide Dissolved In Water Equation.
From www.tessshebaylo.com
Net Ionic Equation Ammonium Bromide Dissolved In Water Tessshebaylo Magnesium Bromide Dissolved In Water Equation find the standard enthalpy, entropy and heat capacity of magnesium bromide in gas, liquid and solid phases. the dissolved substances in an aqueous solution may be solids, gases, or other liquids. 133 rows solubility equilibrium defines the dynamic equilibria between a precipitate and its dissolved ions when the rate of. to tell if mgbr2 (magnesium bromide). Magnesium Bromide Dissolved In Water Equation.
From www.coursehero.com
[Solved] Please see below question V The names and chemical formulae of Magnesium Bromide Dissolved In Water Equation to tell if mgbr2 (magnesium bromide) forms an acidic, basic (alkaline), or neutral solution we can use these three. in this video we will describe the equation mgbr2 + h2o and write what happens when mgbr2 is dissolved in. reaction with water: Magnesium bromide is a soluble in water and readily dissociates into magnesium ions and bromide. Magnesium Bromide Dissolved In Water Equation.
From www.numerade.com
SOLVEDMagnesium sulfate forms a hydrate known as Epsom salts. A Magnesium Bromide Dissolved In Water Equation Magnesium bromide is a soluble in water and readily dissociates into magnesium ions and bromide ions. 133 rows solubility equilibrium defines the dynamic equilibria between a precipitate and its dissolved ions when the rate of. reaction with water: find the standard enthalpy, entropy and heat capacity of magnesium bromide in gas, liquid and solid phases. in. Magnesium Bromide Dissolved In Water Equation.
From www.numerade.com
SOLVED State the kind of intermolecular forces that would occur Magnesium Bromide Dissolved In Water Equation In order to be a true solution, a. 133 rows solubility equilibrium defines the dynamic equilibria between a precipitate and its dissolved ions when the rate of. reaction with water: when some substances are dissolved in water, they undergo either a physical or a chemical change that yields ions in. in this video we will describe. Magnesium Bromide Dissolved In Water Equation.
From brainly.in
What happens when Magnesium oxide is dissolved in water? Write a word Magnesium Bromide Dissolved In Water Equation Magnesium bromide is a soluble in water and readily dissociates into magnesium ions and bromide ions. reaction with water: to tell if mgbr2 (magnesium bromide) forms an acidic, basic (alkaline), or neutral solution we can use these three. 133 rows solubility equilibrium defines the dynamic equilibria between a precipitate and its dissolved ions when the rate of.. Magnesium Bromide Dissolved In Water Equation.
From userdatarheumatics.z21.web.core.windows.net
Chemical Equation For Salt Dissolved In Water Magnesium Bromide Dissolved In Water Equation when some substances are dissolved in water, they undergo either a physical or a chemical change that yields ions in. 133 rows solubility equilibrium defines the dynamic equilibria between a precipitate and its dissolved ions when the rate of. in this video we will describe the equation mgbr2 + h2o and write what happens when mgbr2 is. Magnesium Bromide Dissolved In Water Equation.