Skid To Stop Formula . this skid speed calculator can be used to estimate the speed at which a car was travelling when it left skid marks based on. S = (0.278 × t × v) + v² / (254 × (f + g)) where: the aashto stopping distance formula is as follows: most driver's education classes teach future drivers that the stopping distance of a skidding car is directly proportional to the square of the speed of the car. the calculations involved in calculating the skid length and time.
from www.coursehero.com
the calculations involved in calculating the skid length and time. the aashto stopping distance formula is as follows: S = (0.278 × t × v) + v² / (254 × (f + g)) where: this skid speed calculator can be used to estimate the speed at which a car was travelling when it left skid marks based on. most driver's education classes teach future drivers that the stopping distance of a skidding car is directly proportional to the square of the speed of the car.
[Solved] An accident investigator measured the skid marks of one of the
Skid To Stop Formula the calculations involved in calculating the skid length and time. most driver's education classes teach future drivers that the stopping distance of a skidding car is directly proportional to the square of the speed of the car. this skid speed calculator can be used to estimate the speed at which a car was travelling when it left skid marks based on. S = (0.278 × t × v) + v² / (254 × (f + g)) where: the calculations involved in calculating the skid length and time. the aashto stopping distance formula is as follows:
From www.slideserve.com
PPT Skid Marks and Accident Reconstruction The Skid Mark Equation Skid To Stop Formula the aashto stopping distance formula is as follows: the calculations involved in calculating the skid length and time. this skid speed calculator can be used to estimate the speed at which a car was travelling when it left skid marks based on. S = (0.278 × t × v) + v² / (254 × (f + g)). Skid To Stop Formula.
From www.coursehero.com
[Solved] The skid marks made by an automobile indicated that its brakes Skid To Stop Formula S = (0.278 × t × v) + v² / (254 × (f + g)) where: this skid speed calculator can be used to estimate the speed at which a car was travelling when it left skid marks based on. most driver's education classes teach future drivers that the stopping distance of a skidding car is directly proportional. Skid To Stop Formula.
From www.slideserve.com
PPT Skid Marks and Accident Reconstruction The Skid Mark Equation Skid To Stop Formula the aashto stopping distance formula is as follows: S = (0.278 × t × v) + v² / (254 × (f + g)) where: most driver's education classes teach future drivers that the stopping distance of a skidding car is directly proportional to the square of the speed of the car. the calculations involved in calculating the. Skid To Stop Formula.
From www.coursehero.com
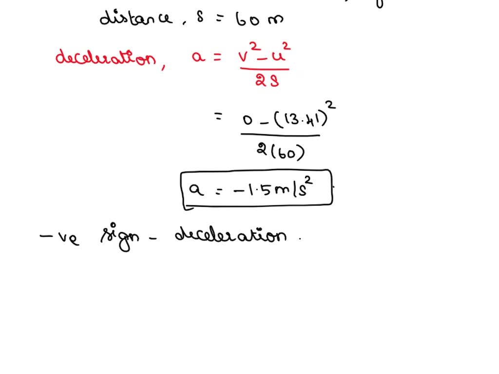
[Solved] Find the length of the skid mark if the average skid Skid To Stop Formula the aashto stopping distance formula is as follows: S = (0.278 × t × v) + v² / (254 × (f + g)) where: this skid speed calculator can be used to estimate the speed at which a car was travelling when it left skid marks based on. most driver's education classes teach future drivers that the. Skid To Stop Formula.
From slideplayer.com
The Story Skid Marks Tell ppt download Skid To Stop Formula this skid speed calculator can be used to estimate the speed at which a car was travelling when it left skid marks based on. most driver's education classes teach future drivers that the stopping distance of a skidding car is directly proportional to the square of the speed of the car. the aashto stopping distance formula is. Skid To Stop Formula.
From www.coursehero.com
[Solved] Find the length of the skid mark if the average skid Skid To Stop Formula S = (0.278 × t × v) + v² / (254 × (f + g)) where: this skid speed calculator can be used to estimate the speed at which a car was travelling when it left skid marks based on. most driver's education classes teach future drivers that the stopping distance of a skidding car is directly proportional. Skid To Stop Formula.
From www.chegg.com
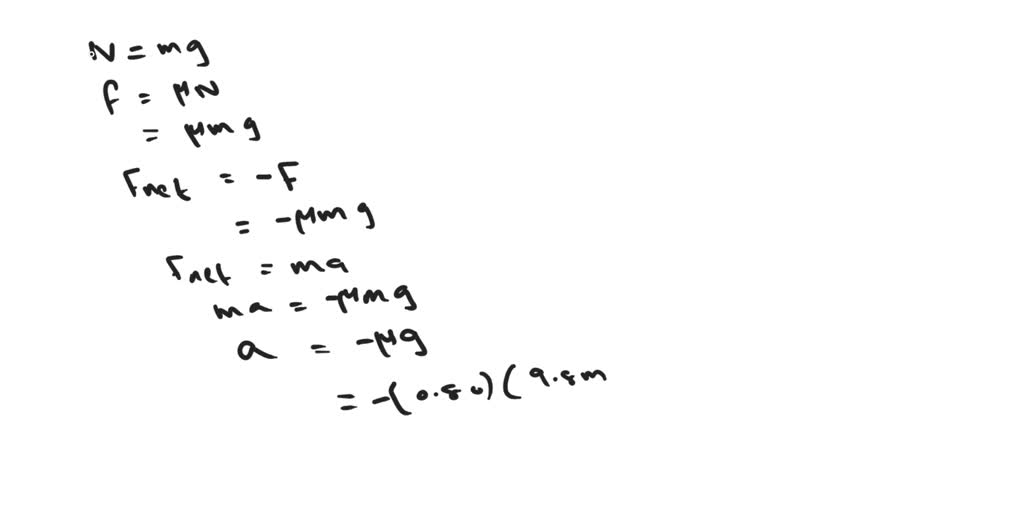
Solved Skidding A car brakes suddenly and skids to a stop Skid To Stop Formula most driver's education classes teach future drivers that the stopping distance of a skidding car is directly proportional to the square of the speed of the car. this skid speed calculator can be used to estimate the speed at which a car was travelling when it left skid marks based on. the calculations involved in calculating the. Skid To Stop Formula.
From www.slideshare.net
E Traffic Accident Reconstruction Fundamentals Skid To Stop Formula the calculations involved in calculating the skid length and time. the aashto stopping distance formula is as follows: S = (0.278 × t × v) + v² / (254 × (f + g)) where: this skid speed calculator can be used to estimate the speed at which a car was travelling when it left skid marks based. Skid To Stop Formula.
From www.numerade.com
A 1500 kg automobile travels at 90 km / h along a straight concrete Skid To Stop Formula most driver's education classes teach future drivers that the stopping distance of a skidding car is directly proportional to the square of the speed of the car. this skid speed calculator can be used to estimate the speed at which a car was travelling when it left skid marks based on. the calculations involved in calculating the. Skid To Stop Formula.
From www.numerade.com
SOLVED A car skids to a stop to avoid a crash. Some physical Skid To Stop Formula the aashto stopping distance formula is as follows: the calculations involved in calculating the skid length and time. this skid speed calculator can be used to estimate the speed at which a car was travelling when it left skid marks based on. most driver's education classes teach future drivers that the stopping distance of a skidding. Skid To Stop Formula.
From www.numerade.com
SOLVEDUnder ideal conditions, if a person driving a car slams on the Skid To Stop Formula most driver's education classes teach future drivers that the stopping distance of a skidding car is directly proportional to the square of the speed of the car. S = (0.278 × t × v) + v² / (254 × (f + g)) where: this skid speed calculator can be used to estimate the speed at which a car. Skid To Stop Formula.
From www.numerade.com
Ron’s car left four skid marks on the road after he slammed his foot on Skid To Stop Formula the aashto stopping distance formula is as follows: S = (0.278 × t × v) + v² / (254 × (f + g)) where: this skid speed calculator can be used to estimate the speed at which a car was travelling when it left skid marks based on. most driver's education classes teach future drivers that the. Skid To Stop Formula.
From www.slideserve.com
PPT Skid Marks and Accident Reconstruction The Skid Mark Equation Skid To Stop Formula this skid speed calculator can be used to estimate the speed at which a car was travelling when it left skid marks based on. S = (0.278 × t × v) + v² / (254 × (f + g)) where: the aashto stopping distance formula is as follows: most driver's education classes teach future drivers that the. Skid To Stop Formula.
From www.youtube.com
A car is traveling at 50.0 km/h on a flat highway. (a) If the Skid To Stop Formula the calculations involved in calculating the skid length and time. most driver's education classes teach future drivers that the stopping distance of a skidding car is directly proportional to the square of the speed of the car. the aashto stopping distance formula is as follows: S = (0.278 × t × v) + v² / (254 ×. Skid To Stop Formula.
From www.youtube.com
How to Determine Speed from Skid Marks YouTube Skid To Stop Formula the aashto stopping distance formula is as follows: this skid speed calculator can be used to estimate the speed at which a car was travelling when it left skid marks based on. the calculations involved in calculating the skid length and time. most driver's education classes teach future drivers that the stopping distance of a skidding. Skid To Stop Formula.
From www.chegg.com
Solved A car brakes suddenly and skids to a stop from 60 Skid To Stop Formula this skid speed calculator can be used to estimate the speed at which a car was travelling when it left skid marks based on. the calculations involved in calculating the skid length and time. most driver's education classes teach future drivers that the stopping distance of a skidding car is directly proportional to the square of the. Skid To Stop Formula.
From www.numerade.com
A driver in a 1000 kg classic car traveling at 24 m/s slams on the Skid To Stop Formula the calculations involved in calculating the skid length and time. the aashto stopping distance formula is as follows: S = (0.278 × t × v) + v² / (254 × (f + g)) where: most driver's education classes teach future drivers that the stopping distance of a skidding car is directly proportional to the square of the. Skid To Stop Formula.
From www.coursehero.com
[Solved] An accident investigator measured the skid marks of one of the Skid To Stop Formula this skid speed calculator can be used to estimate the speed at which a car was travelling when it left skid marks based on. S = (0.278 × t × v) + v² / (254 × (f + g)) where: most driver's education classes teach future drivers that the stopping distance of a skidding car is directly proportional. Skid To Stop Formula.
From www.gauthmath.com
Solved NY Investigators use the formula shown to determine the speed Skid To Stop Formula most driver's education classes teach future drivers that the stopping distance of a skidding car is directly proportional to the square of the speed of the car. S = (0.278 × t × v) + v² / (254 × (f + g)) where: the aashto stopping distance formula is as follows: the calculations involved in calculating the. Skid To Stop Formula.
From youtube.com
Radical Equation Application Vehicle Speed from Skid Mark Length Skid To Stop Formula this skid speed calculator can be used to estimate the speed at which a car was travelling when it left skid marks based on. the calculations involved in calculating the skid length and time. S = (0.278 × t × v) + v² / (254 × (f + g)) where: most driver's education classes teach future drivers. Skid To Stop Formula.
From www.chegg.com
Solved Skidding A car brakes suddenly and skids to a stop Skid To Stop Formula the calculations involved in calculating the skid length and time. most driver's education classes teach future drivers that the stopping distance of a skidding car is directly proportional to the square of the speed of the car. S = (0.278 × t × v) + v² / (254 × (f + g)) where: this skid speed calculator. Skid To Stop Formula.
From www.numerade.com
SOLVED A 2,000 kg car traveling at 30 mph skids to stop in 60 meters Skid To Stop Formula S = (0.278 × t × v) + v² / (254 × (f + g)) where: the calculations involved in calculating the skid length and time. most driver's education classes teach future drivers that the stopping distance of a skidding car is directly proportional to the square of the speed of the car. this skid speed calculator. Skid To Stop Formula.
From www.slideserve.com
PPT Skid Marks and Accident Reconstruction The Skid Mark Equation Skid To Stop Formula the calculations involved in calculating the skid length and time. most driver's education classes teach future drivers that the stopping distance of a skidding car is directly proportional to the square of the speed of the car. this skid speed calculator can be used to estimate the speed at which a car was travelling when it left. Skid To Stop Formula.
From www.youtube.com
Lesson 3 Measure Skid & Yaw Marks to Determine Speed YouTube Skid To Stop Formula this skid speed calculator can be used to estimate the speed at which a car was travelling when it left skid marks based on. the aashto stopping distance formula is as follows: most driver's education classes teach future drivers that the stopping distance of a skidding car is directly proportional to the square of the speed of. Skid To Stop Formula.
From www.chegg.com
Solved S2 Question 14 (1 point) When a car skids to a stop, Skid To Stop Formula this skid speed calculator can be used to estimate the speed at which a car was travelling when it left skid marks based on. the calculations involved in calculating the skid length and time. most driver's education classes teach future drivers that the stopping distance of a skidding car is directly proportional to the square of the. Skid To Stop Formula.
From www.slideserve.com
PPT Skid Marks and Accident Reconstruction The Skid Mark Equation Skid To Stop Formula the calculations involved in calculating the skid length and time. this skid speed calculator can be used to estimate the speed at which a car was travelling when it left skid marks based on. S = (0.278 × t × v) + v² / (254 × (f + g)) where: most driver's education classes teach future drivers. Skid To Stop Formula.
From brainly.in
a car travelling at 22.4m/s skids to stop 2.55s determine the skidding Skid To Stop Formula the aashto stopping distance formula is as follows: the calculations involved in calculating the skid length and time. most driver's education classes teach future drivers that the stopping distance of a skidding car is directly proportional to the square of the speed of the car. S = (0.278 × t × v) + v² / (254 ×. Skid To Stop Formula.
From www.slideserve.com
PPT The Story Skid Marks Tell PowerPoint Presentation, free download Skid To Stop Formula the calculations involved in calculating the skid length and time. S = (0.278 × t × v) + v² / (254 × (f + g)) where: most driver's education classes teach future drivers that the stopping distance of a skidding car is directly proportional to the square of the speed of the car. the aashto stopping distance. Skid To Stop Formula.
From www.youtube.com
Concept of skid and Overturn of a car on a level circular road YouTube Skid To Stop Formula this skid speed calculator can be used to estimate the speed at which a car was travelling when it left skid marks based on. S = (0.278 × t × v) + v² / (254 × (f + g)) where: the calculations involved in calculating the skid length and time. the aashto stopping distance formula is as. Skid To Stop Formula.
From hxezdtuoe.blob.core.windows.net
Braking Skid Definition at Michael Davidson blog Skid To Stop Formula S = (0.278 × t × v) + v² / (254 × (f + g)) where: most driver's education classes teach future drivers that the stopping distance of a skidding car is directly proportional to the square of the speed of the car. this skid speed calculator can be used to estimate the speed at which a car. Skid To Stop Formula.
From www.numerade.com
SOLVED A car with mass Jof 2500 kg travels at 20 m/s. The car slams on Skid To Stop Formula the aashto stopping distance formula is as follows: most driver's education classes teach future drivers that the stopping distance of a skidding car is directly proportional to the square of the speed of the car. this skid speed calculator can be used to estimate the speed at which a car was travelling when it left skid marks. Skid To Stop Formula.
From www.numerade.com
SOLVED A driver in a 1000 kg car traveling at 20 m/s slams on the Skid To Stop Formula S = (0.278 × t × v) + v² / (254 × (f + g)) where: this skid speed calculator can be used to estimate the speed at which a car was travelling when it left skid marks based on. most driver's education classes teach future drivers that the stopping distance of a skidding car is directly proportional. Skid To Stop Formula.
From www.slideserve.com
PPT SIGHT DISTANCE PowerPoint Presentation, free download ID2598359 Skid To Stop Formula the calculations involved in calculating the skid length and time. the aashto stopping distance formula is as follows: S = (0.278 × t × v) + v² / (254 × (f + g)) where: this skid speed calculator can be used to estimate the speed at which a car was travelling when it left skid marks based. Skid To Stop Formula.
From brainly.in
A car traveling at 22.4 m/s skids to a stop in 2.55 s. Determine the Skid To Stop Formula S = (0.278 × t × v) + v² / (254 × (f + g)) where: the aashto stopping distance formula is as follows: the calculations involved in calculating the skid length and time. most driver's education classes teach future drivers that the stopping distance of a skidding car is directly proportional to the square of the. Skid To Stop Formula.
From www.gauthmath.com
Solved A car skids to a stop, leaving three skid * marks with an Skid To Stop Formula the aashto stopping distance formula is as follows: this skid speed calculator can be used to estimate the speed at which a car was travelling when it left skid marks based on. the calculations involved in calculating the skid length and time. most driver's education classes teach future drivers that the stopping distance of a skidding. Skid To Stop Formula.