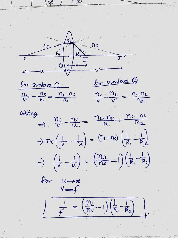
Define Lens Maker Formula . Vector equations multiplying vectors by a number The lens maker formula is utilized to create a lens with a defined focal length. Lens manufacturers commonly use the lens maker formula for manufacturing lenses of the desired focal length. The lens maker’s formula involves the focal length, refractive index of the material of the lens and the radius of curvature of the two surfaces of the lens. A lens has two curved surfaces, but both are not exactly same. The radii of curvature here are measured. The lens maker’s formula is a theoretical equation used in optics to calculate the focal length of a lens based on its physical.
from shapeguidance1.gitlab.io
The radii of curvature here are measured. A lens has two curved surfaces, but both are not exactly same. Vector equations multiplying vectors by a number The lens maker’s formula involves the focal length, refractive index of the material of the lens and the radius of curvature of the two surfaces of the lens. The lens maker formula is utilized to create a lens with a defined focal length. The lens maker’s formula is a theoretical equation used in optics to calculate the focal length of a lens based on its physical. Lens manufacturers commonly use the lens maker formula for manufacturing lenses of the desired focal length.
Supreme Derive Lens Maker Formula With Diagram Skeleton Equation
Define Lens Maker Formula Lens manufacturers commonly use the lens maker formula for manufacturing lenses of the desired focal length. The lens maker’s formula is a theoretical equation used in optics to calculate the focal length of a lens based on its physical. Vector equations multiplying vectors by a number A lens has two curved surfaces, but both are not exactly same. The lens maker’s formula involves the focal length, refractive index of the material of the lens and the radius of curvature of the two surfaces of the lens. The lens maker formula is utilized to create a lens with a defined focal length. The radii of curvature here are measured. Lens manufacturers commonly use the lens maker formula for manufacturing lenses of the desired focal length.
From www.slideserve.com
PPT Optics Observations PowerPoint Presentation, free download ID Define Lens Maker Formula Lens manufacturers commonly use the lens maker formula for manufacturing lenses of the desired focal length. The lens maker’s formula is a theoretical equation used in optics to calculate the focal length of a lens based on its physical. The lens maker’s formula involves the focal length, refractive index of the material of the lens and the radius of curvature. Define Lens Maker Formula.
From www.youtube.com
Lens Makers Formula Physics Class 12 Derivation, Term 2 Exams 2022 Define Lens Maker Formula A lens has two curved surfaces, but both are not exactly same. The lens maker formula is utilized to create a lens with a defined focal length. The radii of curvature here are measured. Lens manufacturers commonly use the lens maker formula for manufacturing lenses of the desired focal length. Vector equations multiplying vectors by a number The lens maker’s. Define Lens Maker Formula.
From shapeguidance1.gitlab.io
Supreme Derive Lens Maker Formula With Diagram Skeleton Equation Define Lens Maker Formula The radii of curvature here are measured. Vector equations multiplying vectors by a number The lens maker’s formula is a theoretical equation used in optics to calculate the focal length of a lens based on its physical. Lens manufacturers commonly use the lens maker formula for manufacturing lenses of the desired focal length. A lens has two curved surfaces, but. Define Lens Maker Formula.
From www.slideserve.com
PPT Lens Maker’s Equation PowerPoint Presentation, free download ID Define Lens Maker Formula The radii of curvature here are measured. A lens has two curved surfaces, but both are not exactly same. The lens maker formula is utilized to create a lens with a defined focal length. The lens maker’s formula is a theoretical equation used in optics to calculate the focal length of a lens based on its physical. The lens maker’s. Define Lens Maker Formula.
From www.youtube.com
Lensmaker's Equation Tutorial With Examples! YouTube Define Lens Maker Formula The lens maker’s formula is a theoretical equation used in optics to calculate the focal length of a lens based on its physical. The lens maker’s formula involves the focal length, refractive index of the material of the lens and the radius of curvature of the two surfaces of the lens. The radii of curvature here are measured. A lens. Define Lens Maker Formula.
From www.slideserve.com
PPT Chapter 23 PowerPoint Presentation, free download ID640168 Define Lens Maker Formula The radii of curvature here are measured. Vector equations multiplying vectors by a number The lens maker’s formula is a theoretical equation used in optics to calculate the focal length of a lens based on its physical. The lens maker formula is utilized to create a lens with a defined focal length. The lens maker’s formula involves the focal length,. Define Lens Maker Formula.
From physics.stackexchange.com
optics Lens makers formula Physics Stack Exchange Define Lens Maker Formula Vector equations multiplying vectors by a number The lens maker’s formula is a theoretical equation used in optics to calculate the focal length of a lens based on its physical. A lens has two curved surfaces, but both are not exactly same. The radii of curvature here are measured. Lens manufacturers commonly use the lens maker formula for manufacturing lenses. Define Lens Maker Formula.
From www.youtube.com
LENS MAKER'S FORMULA DERIVATION CLASS 12 YouTube Define Lens Maker Formula The lens maker’s formula is a theoretical equation used in optics to calculate the focal length of a lens based on its physical. Lens manufacturers commonly use the lens maker formula for manufacturing lenses of the desired focal length. The lens maker formula is utilized to create a lens with a defined focal length. Vector equations multiplying vectors by a. Define Lens Maker Formula.
From www.youtube.com
Lens Makers Formula YouTube Define Lens Maker Formula The lens maker’s formula is a theoretical equation used in optics to calculate the focal length of a lens based on its physical. Lens manufacturers commonly use the lens maker formula for manufacturing lenses of the desired focal length. A lens has two curved surfaces, but both are not exactly same. The radii of curvature here are measured. The lens. Define Lens Maker Formula.
From byjus.com
What is lens makers formula Define Lens Maker Formula The lens maker’s formula involves the focal length, refractive index of the material of the lens and the radius of curvature of the two surfaces of the lens. Lens manufacturers commonly use the lens maker formula for manufacturing lenses of the desired focal length. The lens maker’s formula is a theoretical equation used in optics to calculate the focal length. Define Lens Maker Formula.
From www.youtube.com
Lens maker formula class 12 derivations YouTube Define Lens Maker Formula Lens manufacturers commonly use the lens maker formula for manufacturing lenses of the desired focal length. Vector equations multiplying vectors by a number A lens has two curved surfaces, but both are not exactly same. The radii of curvature here are measured. The lens maker’s formula involves the focal length, refractive index of the material of the lens and the. Define Lens Maker Formula.
From www.youtube.com
Lenses Derivation of lens maker's formula YouTube Define Lens Maker Formula The lens maker formula is utilized to create a lens with a defined focal length. The lens maker’s formula involves the focal length, refractive index of the material of the lens and the radius of curvature of the two surfaces of the lens. The radii of curvature here are measured. The lens maker’s formula is a theoretical equation used in. Define Lens Maker Formula.
From www.youtube.com
Lens Maker's formula & Lens equation Ln 6 Ray OpticsSTD 12 Define Lens Maker Formula The lens maker formula is utilized to create a lens with a defined focal length. The radii of curvature here are measured. Lens manufacturers commonly use the lens maker formula for manufacturing lenses of the desired focal length. The lens maker’s formula involves the focal length, refractive index of the material of the lens and the radius of curvature of. Define Lens Maker Formula.
From slideplayer.com
Ch 36 Flat mirror images Images ppt download Define Lens Maker Formula Lens manufacturers commonly use the lens maker formula for manufacturing lenses of the desired focal length. The radii of curvature here are measured. A lens has two curved surfaces, but both are not exactly same. The lens maker’s formula is a theoretical equation used in optics to calculate the focal length of a lens based on its physical. The lens. Define Lens Maker Formula.
From armsingle10.pythonanywhere.com
Casual Derive Lens Maker Formula For Double Convex Chemical Reactions Define Lens Maker Formula Lens manufacturers commonly use the lens maker formula for manufacturing lenses of the desired focal length. The lens maker’s formula is a theoretical equation used in optics to calculate the focal length of a lens based on its physical. The radii of curvature here are measured. The lens maker formula is utilized to create a lens with a defined focal. Define Lens Maker Formula.
From www.vedantu.com
Derive Lens Maker’s formula for a convex lens. Define Lens Maker Formula The lens maker’s formula involves the focal length, refractive index of the material of the lens and the radius of curvature of the two surfaces of the lens. The lens maker’s formula is a theoretical equation used in optics to calculate the focal length of a lens based on its physical. A lens has two curved surfaces, but both are. Define Lens Maker Formula.
From www.teachoo.com
Lens Formula and Magnification Formula with Numericals Class 10 Define Lens Maker Formula Vector equations multiplying vectors by a number Lens manufacturers commonly use the lens maker formula for manufacturing lenses of the desired focal length. A lens has two curved surfaces, but both are not exactly same. The lens maker formula is utilized to create a lens with a defined focal length. The lens maker’s formula involves the focal length, refractive index. Define Lens Maker Formula.
From www.slideserve.com
PPT Chapter 36 PowerPoint Presentation, free download ID272062 Define Lens Maker Formula Lens manufacturers commonly use the lens maker formula for manufacturing lenses of the desired focal length. Vector equations multiplying vectors by a number The lens maker formula is utilized to create a lens with a defined focal length. A lens has two curved surfaces, but both are not exactly same. The lens maker’s formula involves the focal length, refractive index. Define Lens Maker Formula.
From shapeguidance1.gitlab.io
Supreme Derive Lens Maker Formula With Diagram Skeleton Equation Define Lens Maker Formula The lens maker formula is utilized to create a lens with a defined focal length. The lens maker’s formula is a theoretical equation used in optics to calculate the focal length of a lens based on its physical. The radii of curvature here are measured. Lens manufacturers commonly use the lens maker formula for manufacturing lenses of the desired focal. Define Lens Maker Formula.
From www.slideshare.net
Lensmaker’s equation L0 focused object Define Lens Maker Formula Vector equations multiplying vectors by a number The radii of curvature here are measured. Lens manufacturers commonly use the lens maker formula for manufacturing lenses of the desired focal length. The lens maker’s formula involves the focal length, refractive index of the material of the lens and the radius of curvature of the two surfaces of the lens. A lens. Define Lens Maker Formula.
From www.doubtnut.com
To use lens formula and lens makers formula we have to follow the Define Lens Maker Formula Lens manufacturers commonly use the lens maker formula for manufacturing lenses of the desired focal length. The radii of curvature here are measured. The lens maker’s formula involves the focal length, refractive index of the material of the lens and the radius of curvature of the two surfaces of the lens. A lens has two curved surfaces, but both are. Define Lens Maker Formula.
From shapeguidance1.gitlab.io
Supreme Derive Lens Maker Formula With Diagram Skeleton Equation Define Lens Maker Formula Lens manufacturers commonly use the lens maker formula for manufacturing lenses of the desired focal length. The lens maker formula is utilized to create a lens with a defined focal length. The lens maker’s formula involves the focal length, refractive index of the material of the lens and the radius of curvature of the two surfaces of the lens. A. Define Lens Maker Formula.
From www.youtube.com
Lens formula class 12 derivation YouTube Define Lens Maker Formula A lens has two curved surfaces, but both are not exactly same. The lens maker formula is utilized to create a lens with a defined focal length. The radii of curvature here are measured. Lens manufacturers commonly use the lens maker formula for manufacturing lenses of the desired focal length. The lens maker’s formula is a theoretical equation used in. Define Lens Maker Formula.
From www.youtube.com
lens maker formula YouTube Define Lens Maker Formula The lens maker formula is utilized to create a lens with a defined focal length. The lens maker’s formula is a theoretical equation used in optics to calculate the focal length of a lens based on its physical. The radii of curvature here are measured. A lens has two curved surfaces, but both are not exactly same. Lens manufacturers commonly. Define Lens Maker Formula.
From www.youtube.com
lens formula and magnification produced by lens power of lens class 10 Define Lens Maker Formula The lens maker’s formula is a theoretical equation used in optics to calculate the focal length of a lens based on its physical. The lens maker’s formula involves the focal length, refractive index of the material of the lens and the radius of curvature of the two surfaces of the lens. The lens maker formula is utilized to create a. Define Lens Maker Formula.
From testbook.com
Lens Maker Formula Learn its Definition, Formula & Examples Define Lens Maker Formula The lens maker formula is utilized to create a lens with a defined focal length. The lens maker’s formula involves the focal length, refractive index of the material of the lens and the radius of curvature of the two surfaces of the lens. A lens has two curved surfaces, but both are not exactly same. The lens maker’s formula is. Define Lens Maker Formula.
From askfilo.com
LENS MAKER FORMULA DERIVATIONB)BJUSAssumptionsThe following assumption.. Define Lens Maker Formula Vector equations multiplying vectors by a number The lens maker’s formula involves the focal length, refractive index of the material of the lens and the radius of curvature of the two surfaces of the lens. A lens has two curved surfaces, but both are not exactly same. The lens maker’s formula is a theoretical equation used in optics to calculate. Define Lens Maker Formula.
From www.slideserve.com
PPT Lens Maker’s Equation PowerPoint Presentation, free download ID Define Lens Maker Formula The lens maker formula is utilized to create a lens with a defined focal length. The lens maker’s formula involves the focal length, refractive index of the material of the lens and the radius of curvature of the two surfaces of the lens. The radii of curvature here are measured. Lens manufacturers commonly use the lens maker formula for manufacturing. Define Lens Maker Formula.
From www.slideserve.com
PPT Lens Maker’s Equation PowerPoint Presentation, free download ID Define Lens Maker Formula The lens maker’s formula involves the focal length, refractive index of the material of the lens and the radius of curvature of the two surfaces of the lens. Lens manufacturers commonly use the lens maker formula for manufacturing lenses of the desired focal length. The radii of curvature here are measured. A lens has two curved surfaces, but both are. Define Lens Maker Formula.
From armsingle10.pythonanywhere.com
Casual Derive Lens Maker Formula For Double Convex Chemical Reactions Define Lens Maker Formula Vector equations multiplying vectors by a number Lens manufacturers commonly use the lens maker formula for manufacturing lenses of the desired focal length. The lens maker’s formula involves the focal length, refractive index of the material of the lens and the radius of curvature of the two surfaces of the lens. The radii of curvature here are measured. The lens. Define Lens Maker Formula.
From www.youtube.com
LENS Lens Equation Converging Lens or Convex Lens Diverging Lens Define Lens Maker Formula The lens maker formula is utilized to create a lens with a defined focal length. The lens maker’s formula involves the focal length, refractive index of the material of the lens and the radius of curvature of the two surfaces of the lens. The lens maker’s formula is a theoretical equation used in optics to calculate the focal length of. Define Lens Maker Formula.
From www.youtube.com
Lens Maker’s Formula YouTube Define Lens Maker Formula The lens maker formula is utilized to create a lens with a defined focal length. A lens has two curved surfaces, but both are not exactly same. The lens maker’s formula is a theoretical equation used in optics to calculate the focal length of a lens based on its physical. Vector equations multiplying vectors by a number Lens manufacturers commonly. Define Lens Maker Formula.
From www.youtube.com
Lens Maker's Formula Derivation and Numericals CBSE Class 12 YouTube Define Lens Maker Formula Vector equations multiplying vectors by a number The lens maker’s formula involves the focal length, refractive index of the material of the lens and the radius of curvature of the two surfaces of the lens. The lens maker’s formula is a theoretical equation used in optics to calculate the focal length of a lens based on its physical. A lens. Define Lens Maker Formula.
From measurebiology.org
Geometrical optics and ray tracing Course Wiki Define Lens Maker Formula Lens manufacturers commonly use the lens maker formula for manufacturing lenses of the desired focal length. The lens maker formula is utilized to create a lens with a defined focal length. The radii of curvature here are measured. The lens maker’s formula is a theoretical equation used in optics to calculate the focal length of a lens based on its. Define Lens Maker Formula.
From www.youtube.com
lens maker formula, lens maker formula derivation physics class 12 Define Lens Maker Formula The radii of curvature here are measured. The lens maker’s formula is a theoretical equation used in optics to calculate the focal length of a lens based on its physical. The lens maker formula is utilized to create a lens with a defined focal length. Lens manufacturers commonly use the lens maker formula for manufacturing lenses of the desired focal. Define Lens Maker Formula.