Earnest Money Florida Law . The most common type of escrow. What you need to know. A detailed look at the state's regulations regarding escrow, including. This is an arranged amount of cash the buyer puts down to. This guide aims to clarify the circumstances under which earnest money may be withheld, the legal implications involved, and the steps that. Fortunately, most real estate buyers and sellers never need to be involved in one. An escrow dispute can be an inconvenient, expensive affair. Florida's escrow laws & rules: If you’re buying or selling real estate in florida, the transaction almost always will require an earnest money deposit. If, by any chance, a dispute results in a legal process, you have everything to lose for skipping out on your earnest money deposit. If you believe that you have a legal claim to an earnest money deposit for breach of contract or you have a claim for wrongdoing involving an escrow account in a florida.
from www.uslegalforms.com
An escrow dispute can be an inconvenient, expensive affair. This guide aims to clarify the circumstances under which earnest money may be withheld, the legal implications involved, and the steps that. A detailed look at the state's regulations regarding escrow, including. If you’re buying or selling real estate in florida, the transaction almost always will require an earnest money deposit. Fortunately, most real estate buyers and sellers never need to be involved in one. If you believe that you have a legal claim to an earnest money deposit for breach of contract or you have a claim for wrongdoing involving an escrow account in a florida. The most common type of escrow. This is an arranged amount of cash the buyer puts down to. What you need to know. Florida's escrow laws & rules:
Puerto Rico For Sale by Owner Purchase and Sale Agreement with Earnest
Earnest Money Florida Law If you’re buying or selling real estate in florida, the transaction almost always will require an earnest money deposit. This is an arranged amount of cash the buyer puts down to. This guide aims to clarify the circumstances under which earnest money may be withheld, the legal implications involved, and the steps that. The most common type of escrow. Florida's escrow laws & rules: A detailed look at the state's regulations regarding escrow, including. If you believe that you have a legal claim to an earnest money deposit for breach of contract or you have a claim for wrongdoing involving an escrow account in a florida. An escrow dispute can be an inconvenient, expensive affair. If, by any chance, a dispute results in a legal process, you have everything to lose for skipping out on your earnest money deposit. If you’re buying or selling real estate in florida, the transaction almost always will require an earnest money deposit. What you need to know. Fortunately, most real estate buyers and sellers never need to be involved in one.
From www.youtube.com
Safe Real Estate Handling Earnest Money Disputes YouTube Earnest Money Florida Law If you’re buying or selling real estate in florida, the transaction almost always will require an earnest money deposit. A detailed look at the state's regulations regarding escrow, including. The most common type of escrow. Florida's escrow laws & rules: Fortunately, most real estate buyers and sellers never need to be involved in one. What you need to know. This. Earnest Money Florida Law.
From www.uslegalforms.com
Michigan Earnest Money Deposit Agreement US Legal Forms Earnest Money Florida Law If you believe that you have a legal claim to an earnest money deposit for breach of contract or you have a claim for wrongdoing involving an escrow account in a florida. What you need to know. If, by any chance, a dispute results in a legal process, you have everything to lose for skipping out on your earnest money. Earnest Money Florida Law.
From harborsidepartners.com
SS136 What is Earnest Money in Real Estate Earnest Money Florida Law This guide aims to clarify the circumstances under which earnest money may be withheld, the legal implications involved, and the steps that. If you’re buying or selling real estate in florida, the transaction almost always will require an earnest money deposit. A detailed look at the state's regulations regarding escrow, including. The most common type of escrow. An escrow dispute. Earnest Money Florida Law.
From www.lumina.com.ph
Difference of Earnest Money and Down Payment Lumina Homes Earnest Money Florida Law This guide aims to clarify the circumstances under which earnest money may be withheld, the legal implications involved, and the steps that. If you’re buying or selling real estate in florida, the transaction almost always will require an earnest money deposit. This is an arranged amount of cash the buyer puts down to. Fortunately, most real estate buyers and sellers. Earnest Money Florida Law.
From www.alburolaw.com
WHAT IS EARNEST MONEY? ALBURO LAW OFFICE Earnest Money Florida Law What you need to know. If you believe that you have a legal claim to an earnest money deposit for breach of contract or you have a claim for wrongdoing involving an escrow account in a florida. Fortunately, most real estate buyers and sellers never need to be involved in one. If you’re buying or selling real estate in florida,. Earnest Money Florida Law.
From milestonetitlesvcs.com
Earnest Money Deposit Tampa, Jacksonville, Pinellas County, FL Earnest Money Florida Law Florida's escrow laws & rules: If you believe that you have a legal claim to an earnest money deposit for breach of contract or you have a claim for wrongdoing involving an escrow account in a florida. An escrow dispute can be an inconvenient, expensive affair. A detailed look at the state's regulations regarding escrow, including. If you’re buying or. Earnest Money Florida Law.
From www.lumina.com.ph
What is Earnest Money in Real Estate Lumina Homes Earnest Money Florida Law If you’re buying or selling real estate in florida, the transaction almost always will require an earnest money deposit. Florida's escrow laws & rules: The most common type of escrow. A detailed look at the state's regulations regarding escrow, including. Fortunately, most real estate buyers and sellers never need to be involved in one. If, by any chance, a dispute. Earnest Money Florida Law.
From www.youtube.com
Earnest Money vs. Due Diligence Money What You Need to Know! YouTube Earnest Money Florida Law This is an arranged amount of cash the buyer puts down to. What you need to know. If you believe that you have a legal claim to an earnest money deposit for breach of contract or you have a claim for wrongdoing involving an escrow account in a florida. A detailed look at the state's regulations regarding escrow, including. If. Earnest Money Florida Law.
From esign.com
Free Release of Earnest Money Addendum PDF Word Earnest Money Florida Law An escrow dispute can be an inconvenient, expensive affair. This is an arranged amount of cash the buyer puts down to. Fortunately, most real estate buyers and sellers never need to be involved in one. A detailed look at the state's regulations regarding escrow, including. If, by any chance, a dispute results in a legal process, you have everything to. Earnest Money Florida Law.
From marclyman.com
Earnest Money Deposit What It Is and Why You Should Understand It Earnest Money Florida Law This guide aims to clarify the circumstances under which earnest money may be withheld, the legal implications involved, and the steps that. A detailed look at the state's regulations regarding escrow, including. Florida's escrow laws & rules: The most common type of escrow. If you believe that you have a legal claim to an earnest money deposit for breach of. Earnest Money Florida Law.
From formspal.com
Real Estate Earnest Money Deposit Contract [PDF Template] Earnest Money Florida Law A detailed look at the state's regulations regarding escrow, including. Florida's escrow laws & rules: This guide aims to clarify the circumstances under which earnest money may be withheld, the legal implications involved, and the steps that. If you’re buying or selling real estate in florida, the transaction almost always will require an earnest money deposit. Fortunately, most real estate. Earnest Money Florida Law.
From www.youtube.com
Know the Difference Earnest Money vs. Down Payment YouTube Earnest Money Florida Law A detailed look at the state's regulations regarding escrow, including. What you need to know. This guide aims to clarify the circumstances under which earnest money may be withheld, the legal implications involved, and the steps that. If, by any chance, a dispute results in a legal process, you have everything to lose for skipping out on your earnest money. Earnest Money Florida Law.
From www.youtube.com
Understanding Earnest Money What it is and Why it Matters in Real Earnest Money Florida Law This guide aims to clarify the circumstances under which earnest money may be withheld, the legal implications involved, and the steps that. If you believe that you have a legal claim to an earnest money deposit for breach of contract or you have a claim for wrongdoing involving an escrow account in a florida. If you’re buying or selling real. Earnest Money Florida Law.
From www.scribd.com
Option Money vs. Earnest Moneydocx PDF Earnest Money Florida Law Fortunately, most real estate buyers and sellers never need to be involved in one. This guide aims to clarify the circumstances under which earnest money may be withheld, the legal implications involved, and the steps that. If, by any chance, a dispute results in a legal process, you have everything to lose for skipping out on your earnest money deposit.. Earnest Money Florida Law.
From milestonetitlesvcs.com
Earnest Money Deposit Tampa, Jacksonville, Pinellas County, FL Earnest Money Florida Law What you need to know. The most common type of escrow. Florida's escrow laws & rules: If, by any chance, a dispute results in a legal process, you have everything to lose for skipping out on your earnest money deposit. This guide aims to clarify the circumstances under which earnest money may be withheld, the legal implications involved, and the. Earnest Money Florida Law.
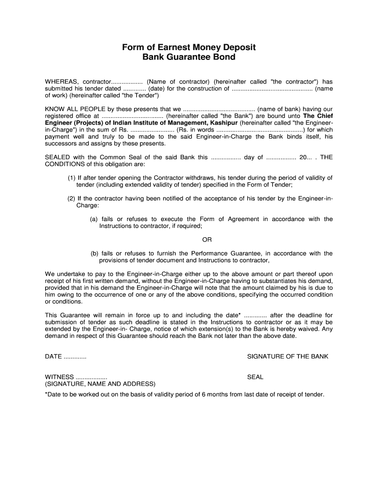
From www.pdffiller.com
Fillable Online Form of Earnest Money Deposit Bank Guarantee Bond Fax Earnest Money Florida Law If you believe that you have a legal claim to an earnest money deposit for breach of contract or you have a claim for wrongdoing involving an escrow account in a florida. What you need to know. The most common type of escrow. If you’re buying or selling real estate in florida, the transaction almost always will require an earnest. Earnest Money Florida Law.
From www.uslegalforms.com
Puerto Rico For Sale by Owner Purchase and Sale Agreement with Earnest Earnest Money Florida Law If you’re buying or selling real estate in florida, the transaction almost always will require an earnest money deposit. Florida's escrow laws & rules: This guide aims to clarify the circumstances under which earnest money may be withheld, the legal implications involved, and the steps that. A detailed look at the state's regulations regarding escrow, including. What you need to. Earnest Money Florida Law.
From eforms.com
Free Release of Earnest Money Form PDF Word eForms Earnest Money Florida Law If you’re buying or selling real estate in florida, the transaction almost always will require an earnest money deposit. This is an arranged amount of cash the buyer puts down to. This guide aims to clarify the circumstances under which earnest money may be withheld, the legal implications involved, and the steps that. The most common type of escrow. A. Earnest Money Florida Law.
From lazuxyderonav.web.fc2.com
Earnest money laws in arizona, panduan trading forex gratis Earnest Money Florida Law The most common type of escrow. A detailed look at the state's regulations regarding escrow, including. This guide aims to clarify the circumstances under which earnest money may be withheld, the legal implications involved, and the steps that. If, by any chance, a dispute results in a legal process, you have everything to lose for skipping out on your earnest. Earnest Money Florida Law.
From old.sermitsiaq.ag
Earnest Money Deposit Agreement Template Earnest Money Florida Law This is an arranged amount of cash the buyer puts down to. If you believe that you have a legal claim to an earnest money deposit for breach of contract or you have a claim for wrongdoing involving an escrow account in a florida. If you’re buying or selling real estate in florida, the transaction almost always will require an. Earnest Money Florida Law.
From www.peetlaw.com
Earnest Money vs. Down Payment Understanding the Key Differences Earnest Money Florida Law A detailed look at the state's regulations regarding escrow, including. This guide aims to clarify the circumstances under which earnest money may be withheld, the legal implications involved, and the steps that. The most common type of escrow. An escrow dispute can be an inconvenient, expensive affair. This is an arranged amount of cash the buyer puts down to. What. Earnest Money Florida Law.
From magmilelaw.com
What Is Earnest Money? Mag Mile Law Earnest Money Florida Law Florida's escrow laws & rules: What you need to know. This guide aims to clarify the circumstances under which earnest money may be withheld, the legal implications involved, and the steps that. This is an arranged amount of cash the buyer puts down to. Fortunately, most real estate buyers and sellers never need to be involved in one. If you. Earnest Money Florida Law.
From www.studocu.com
Earnest Money Receipt Agreement EARNEST MONEY RECEIPT AGREEMENT Earnest Money Florida Law Fortunately, most real estate buyers and sellers never need to be involved in one. A detailed look at the state's regulations regarding escrow, including. An escrow dispute can be an inconvenient, expensive affair. Florida's escrow laws & rules: This is an arranged amount of cash the buyer puts down to. What you need to know. This guide aims to clarify. Earnest Money Florida Law.
From unclaimedmoney.info
Unclaimed Money Florida Unclaimed Money Earnest Money Florida Law An escrow dispute can be an inconvenient, expensive affair. This guide aims to clarify the circumstances under which earnest money may be withheld, the legal implications involved, and the steps that. A detailed look at the state's regulations regarding escrow, including. Florida's escrow laws & rules: Fortunately, most real estate buyers and sellers never need to be involved in one.. Earnest Money Florida Law.
From www.youtube.com
Never Lose Your Earnest Money YouTube Earnest Money Florida Law Fortunately, most real estate buyers and sellers never need to be involved in one. The most common type of escrow. A detailed look at the state's regulations regarding escrow, including. An escrow dispute can be an inconvenient, expensive affair. If you believe that you have a legal claim to an earnest money deposit for breach of contract or you have. Earnest Money Florida Law.
From sebfrey.com
The Earnest Money Deposit in Bay Area Real Estate Sales A Complete Earnest Money Florida Law This guide aims to clarify the circumstances under which earnest money may be withheld, the legal implications involved, and the steps that. What you need to know. If, by any chance, a dispute results in a legal process, you have everything to lose for skipping out on your earnest money deposit. Fortunately, most real estate buyers and sellers never need. Earnest Money Florida Law.
From www.melinarissone.com
A Buyer's Guide to Understanding Earnest Money in San Diego Real Estate Earnest Money Florida Law If you’re buying or selling real estate in florida, the transaction almost always will require an earnest money deposit. If you believe that you have a legal claim to an earnest money deposit for breach of contract or you have a claim for wrongdoing involving an escrow account in a florida. The most common type of escrow. What you need. Earnest Money Florida Law.
From www.bahia.ba
Due Diligence Vs Earnest Money BAHIA HAHA Earnest Money Florida Law If you’re buying or selling real estate in florida, the transaction almost always will require an earnest money deposit. This guide aims to clarify the circumstances under which earnest money may be withheld, the legal implications involved, and the steps that. Florida's escrow laws & rules: If, by any chance, a dispute results in a legal process, you have everything. Earnest Money Florida Law.
From orlandofloridarealestatenews.blogspot.com
Orlando Florida Real Estate News Earnest money needed Earnest Money Florida Law The most common type of escrow. If, by any chance, a dispute results in a legal process, you have everything to lose for skipping out on your earnest money deposit. If you’re buying or selling real estate in florida, the transaction almost always will require an earnest money deposit. If you believe that you have a legal claim to an. Earnest Money Florida Law.
From northsidelegal.com
Does Cash to Close Include Earnest Money Deposit? Earnest Money Florida Law If, by any chance, a dispute results in a legal process, you have everything to lose for skipping out on your earnest money deposit. An escrow dispute can be an inconvenient, expensive affair. The most common type of escrow. If you believe that you have a legal claim to an earnest money deposit for breach of contract or you have. Earnest Money Florida Law.
From medium.com
What Is Earnest money and Is It Refundable? by Realty Collective LLC Earnest Money Florida Law An escrow dispute can be an inconvenient, expensive affair. If you believe that you have a legal claim to an earnest money deposit for breach of contract or you have a claim for wrongdoing involving an escrow account in a florida. If, by any chance, a dispute results in a legal process, you have everything to lose for skipping out. Earnest Money Florida Law.
From www.youtube.com
What is Earnest Money? Real Estate 101 YouTube Earnest Money Florida Law Fortunately, most real estate buyers and sellers never need to be involved in one. What you need to know. If you believe that you have a legal claim to an earnest money deposit for breach of contract or you have a claim for wrongdoing involving an escrow account in a florida. Florida's escrow laws & rules: The most common type. Earnest Money Florida Law.
From www.made4moreliving.com
"Demystifying Earnest Money and Down Payments in Real Estate" Earnest Money Florida Law Florida's escrow laws & rules: A detailed look at the state's regulations regarding escrow, including. Fortunately, most real estate buyers and sellers never need to be involved in one. If you believe that you have a legal claim to an earnest money deposit for breach of contract or you have a claim for wrongdoing involving an escrow account in a. Earnest Money Florida Law.
From www.youtube.com
What is Earnest Money? YouTube Earnest Money Florida Law This is an arranged amount of cash the buyer puts down to. A detailed look at the state's regulations regarding escrow, including. This guide aims to clarify the circumstances under which earnest money may be withheld, the legal implications involved, and the steps that. If you’re buying or selling real estate in florida, the transaction almost always will require an. Earnest Money Florida Law.
From www.youtube.com
Earnest Money What is earnest money deposit in real estate? EMD real Earnest Money Florida Law A detailed look at the state's regulations regarding escrow, including. What you need to know. This is an arranged amount of cash the buyer puts down to. If you’re buying or selling real estate in florida, the transaction almost always will require an earnest money deposit. An escrow dispute can be an inconvenient, expensive affair. If you believe that you. Earnest Money Florida Law.