Is Brass A Liquid . What makes something solid, liquid, or gas? What's the difference between a solid, a liquid, and a gas? The earliest brass, called calamine brass, dates to neolithic times;. Usually you can think of brass as a solid solution consisting of zinc and other metals (solutes) dissolved in copper (solvent). Liquid, in physics, one of the three principal states of matter, intermediate between gas and crystalline solid. You might think it's just a. The proportions of the copper and zinc are varied to yield many different kinds of brass. Yes, brass is a mixture made up of copper and zinc. Some brasses are homogeneous and consist. The most obvious physical properties of a liquid are its retention of. It is a mixture because the two elements only combine physically to form. Brass, alloy of copper and zinc, of historical and enduring importance because of its hardness and workability. Brass is an alloy made primarily of copper and zinc.
from blog.thepipingmart.com
What makes something solid, liquid, or gas? Yes, brass is a mixture made up of copper and zinc. Some brasses are homogeneous and consist. The earliest brass, called calamine brass, dates to neolithic times;. Brass is an alloy made primarily of copper and zinc. Liquid, in physics, one of the three principal states of matter, intermediate between gas and crystalline solid. Usually you can think of brass as a solid solution consisting of zinc and other metals (solutes) dissolved in copper (solvent). You might think it's just a. The most obvious physical properties of a liquid are its retention of. What's the difference between a solid, a liquid, and a gas?
How to Identify Brass A Complete Guide
Is Brass A Liquid What makes something solid, liquid, or gas? You might think it's just a. The most obvious physical properties of a liquid are its retention of. Usually you can think of brass as a solid solution consisting of zinc and other metals (solutes) dissolved in copper (solvent). Yes, brass is a mixture made up of copper and zinc. Liquid, in physics, one of the three principal states of matter, intermediate between gas and crystalline solid. It is a mixture because the two elements only combine physically to form. What makes something solid, liquid, or gas? The earliest brass, called calamine brass, dates to neolithic times;. What's the difference between a solid, a liquid, and a gas? Some brasses are homogeneous and consist. Brass is an alloy made primarily of copper and zinc. Brass, alloy of copper and zinc, of historical and enduring importance because of its hardness and workability. The proportions of the copper and zinc are varied to yield many different kinds of brass.
From blog.thepipingmart.com
Can Brass Be Welded to Steel? Is Brass A Liquid Yes, brass is a mixture made up of copper and zinc. It is a mixture because the two elements only combine physically to form. What's the difference between a solid, a liquid, and a gas? Some brasses are homogeneous and consist. Liquid, in physics, one of the three principal states of matter, intermediate between gas and crystalline solid. The proportions. Is Brass A Liquid.
From geotechnical-equipment.com
LIQUID LIMIT DEVICES CASAGRANDE METHOD GEOTECHNICAL Is Brass A Liquid It is a mixture because the two elements only combine physically to form. You might think it's just a. What makes something solid, liquid, or gas? Brass, alloy of copper and zinc, of historical and enduring importance because of its hardness and workability. The most obvious physical properties of a liquid are its retention of. The proportions of the copper. Is Brass A Liquid.
From cale-well-lozano.blogspot.com
What Is the Best Homemade Brass Cleaner Is Brass A Liquid The most obvious physical properties of a liquid are its retention of. Some brasses are homogeneous and consist. The proportions of the copper and zinc are varied to yield many different kinds of brass. What makes something solid, liquid, or gas? It is a mixture because the two elements only combine physically to form. Yes, brass is a mixture made. Is Brass A Liquid.
From blog.thepipingmart.com
Is Brass a Mixture or Pure Substance? Is Brass A Liquid It is a mixture because the two elements only combine physically to form. Yes, brass is a mixture made up of copper and zinc. What makes something solid, liquid, or gas? What's the difference between a solid, a liquid, and a gas? Some brasses are homogeneous and consist. The most obvious physical properties of a liquid are its retention of.. Is Brass A Liquid.
From blog.thepipingmart.com
Is Brass a MetalCeramic or Polymer? Is Brass A Liquid Brass, alloy of copper and zinc, of historical and enduring importance because of its hardness and workability. You might think it's just a. Brass is an alloy made primarily of copper and zinc. The proportions of the copper and zinc are varied to yield many different kinds of brass. The most obvious physical properties of a liquid are its retention. Is Brass A Liquid.
From blog.thepipingmart.com
How to Identify Brass A Complete Guide Is Brass A Liquid Brass is an alloy made primarily of copper and zinc. What's the difference between a solid, a liquid, and a gas? Some brasses are homogeneous and consist. Liquid, in physics, one of the three principal states of matter, intermediate between gas and crystalline solid. The most obvious physical properties of a liquid are its retention of. Yes, brass is a. Is Brass A Liquid.
From www.saxontheweb.net
Using different types of metal on the saxophone (Buescher example Is Brass A Liquid What makes something solid, liquid, or gas? Brass, alloy of copper and zinc, of historical and enduring importance because of its hardness and workability. Yes, brass is a mixture made up of copper and zinc. Liquid, in physics, one of the three principal states of matter, intermediate between gas and crystalline solid. The proportions of the copper and zinc are. Is Brass A Liquid.
From blog.thepipingmart.com
Is Brass a Mineral An Overview Is Brass A Liquid Some brasses are homogeneous and consist. What's the difference between a solid, a liquid, and a gas? You might think it's just a. Yes, brass is a mixture made up of copper and zinc. The proportions of the copper and zinc are varied to yield many different kinds of brass. Brass, alloy of copper and zinc, of historical and enduring. Is Brass A Liquid.
From yesdirt.com
Is Brass a Metal? (ANSWERED) Yes Dirt Is Brass A Liquid The earliest brass, called calamine brass, dates to neolithic times;. What's the difference between a solid, a liquid, and a gas? What makes something solid, liquid, or gas? The most obvious physical properties of a liquid are its retention of. Liquid, in physics, one of the three principal states of matter, intermediate between gas and crystalline solid. Brass is an. Is Brass A Liquid.
From ebay.com
BRASSO LIQUID METAL BRASS COPPER CHROME POLISH 175ML TIN eBay Is Brass A Liquid It is a mixture because the two elements only combine physically to form. What makes something solid, liquid, or gas? The earliest brass, called calamine brass, dates to neolithic times;. You might think it's just a. Some brasses are homogeneous and consist. Yes, brass is a mixture made up of copper and zinc. Liquid, in physics, one of the three. Is Brass A Liquid.
From www.slideserve.com
PPT Gold PowerPoint Presentation, free download ID5353795 Is Brass A Liquid Usually you can think of brass as a solid solution consisting of zinc and other metals (solutes) dissolved in copper (solvent). Brass, alloy of copper and zinc, of historical and enduring importance because of its hardness and workability. The earliest brass, called calamine brass, dates to neolithic times;. What's the difference between a solid, a liquid, and a gas? The. Is Brass A Liquid.
From artesanialatina.net
Liquid for Brass Bluing 125 ml Model Parts and DIY Projects Is Brass A Liquid What makes something solid, liquid, or gas? Usually you can think of brass as a solid solution consisting of zinc and other metals (solutes) dissolved in copper (solvent). You might think it's just a. Liquid, in physics, one of the three principal states of matter, intermediate between gas and crystalline solid. Brass, alloy of copper and zinc, of historical and. Is Brass A Liquid.
From www.3erp.com
What is Brass History, Types & Applications Is Brass A Liquid The proportions of the copper and zinc are varied to yield many different kinds of brass. The earliest brass, called calamine brass, dates to neolithic times;. Yes, brass is a mixture made up of copper and zinc. The most obvious physical properties of a liquid are its retention of. What makes something solid, liquid, or gas? Liquid, in physics, one. Is Brass A Liquid.
From www.etsy.com
Engraved Brass Glass Liquide Soap Pump Dispenser Etsy Is Brass A Liquid What's the difference between a solid, a liquid, and a gas? The most obvious physical properties of a liquid are its retention of. What makes something solid, liquid, or gas? It is a mixture because the two elements only combine physically to form. Liquid, in physics, one of the three principal states of matter, intermediate between gas and crystalline solid.. Is Brass A Liquid.
From healthyhome.co.in
Buy Brasso Brass Polishing Liquid, 100 ML Online HealthyHome Is Brass A Liquid Liquid, in physics, one of the three principal states of matter, intermediate between gas and crystalline solid. Yes, brass is a mixture made up of copper and zinc. You might think it's just a. Usually you can think of brass as a solid solution consisting of zinc and other metals (solutes) dissolved in copper (solvent). The most obvious physical properties. Is Brass A Liquid.
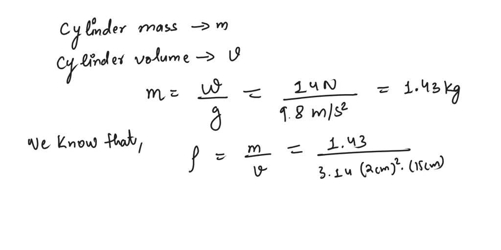
From www.numerade.com
SOLVED A copper (SG=8.8) cylinder of diameter 4 cm and length 15 cm Is Brass A Liquid Yes, brass is a mixture made up of copper and zinc. What makes something solid, liquid, or gas? What's the difference between a solid, a liquid, and a gas? The proportions of the copper and zinc are varied to yield many different kinds of brass. Brass is an alloy made primarily of copper and zinc. You might think it's just. Is Brass A Liquid.
From thatmetalcompany.com.au
Liquid Brass That Metal Company Is Brass A Liquid The proportions of the copper and zinc are varied to yield many different kinds of brass. Yes, brass is a mixture made up of copper and zinc. The earliest brass, called calamine brass, dates to neolithic times;. Brass is an alloy made primarily of copper and zinc. The most obvious physical properties of a liquid are its retention of. Liquid,. Is Brass A Liquid.
From www.robersonliquidmetal.co.uk
Roberson Liquid Metal Brass robersonliquidmetal.co.uk Is Brass A Liquid Brass is an alloy made primarily of copper and zinc. The proportions of the copper and zinc are varied to yield many different kinds of brass. What's the difference between a solid, a liquid, and a gas? The most obvious physical properties of a liquid are its retention of. Usually you can think of brass as a solid solution consisting. Is Brass A Liquid.
From www.thecoatingstore.com
Liquid Brass 3 Stage Auto Paint Kit Options Is Brass A Liquid You might think it's just a. Liquid, in physics, one of the three principal states of matter, intermediate between gas and crystalline solid. Yes, brass is a mixture made up of copper and zinc. Brass, alloy of copper and zinc, of historical and enduring importance because of its hardness and workability. Usually you can think of brass as a solid. Is Brass A Liquid.
From www.handbagholic.co.uk
Brasso Liquid Brass Metal Cleaner for Louis Vuitton Restoration 175ml Is Brass A Liquid It is a mixture because the two elements only combine physically to form. Brass is an alloy made primarily of copper and zinc. What's the difference between a solid, a liquid, and a gas? Yes, brass is a mixture made up of copper and zinc. You might think it's just a. What makes something solid, liquid, or gas? The proportions. Is Brass A Liquid.
From www.rightonblackburns.co.uk
Introduction to Brass Righton Blackburns Is Brass A Liquid Some brasses are homogeneous and consist. Brass, alloy of copper and zinc, of historical and enduring importance because of its hardness and workability. You might think it's just a. What makes something solid, liquid, or gas? Brass is an alloy made primarily of copper and zinc. The most obvious physical properties of a liquid are its retention of. The proportions. Is Brass A Liquid.
From healthyhome.co.in
Buy Brasso Brass Polishing Liquid, 100 ML Online HealthyHome Is Brass A Liquid Brass is an alloy made primarily of copper and zinc. The proportions of the copper and zinc are varied to yield many different kinds of brass. Liquid, in physics, one of the three principal states of matter, intermediate between gas and crystalline solid. You might think it's just a. It is a mixture because the two elements only combine physically. Is Brass A Liquid.
From thatmetalcompany.com.au
Liquid Brass That Metal Company Is Brass A Liquid Liquid, in physics, one of the three principal states of matter, intermediate between gas and crystalline solid. What makes something solid, liquid, or gas? Brass, alloy of copper and zinc, of historical and enduring importance because of its hardness and workability. Usually you can think of brass as a solid solution consisting of zinc and other metals (solutes) dissolved in. Is Brass A Liquid.
From www.orientaltrading.com
Plaid Liquid Leaf Brass Is Brass A Liquid The most obvious physical properties of a liquid are its retention of. Brass is an alloy made primarily of copper and zinc. What's the difference between a solid, a liquid, and a gas? Yes, brass is a mixture made up of copper and zinc. You might think it's just a. Usually you can think of brass as a solid solution. Is Brass A Liquid.
From blog.thepipingmart.com
Does Brass Attract Is Brass A Liquid Some brasses are homogeneous and consist. What makes something solid, liquid, or gas? The proportions of the copper and zinc are varied to yield many different kinds of brass. Liquid, in physics, one of the three principal states of matter, intermediate between gas and crystalline solid. What's the difference between a solid, a liquid, and a gas? Yes, brass is. Is Brass A Liquid.
From www.etsy.com
Engraved Brass Glass Liquide Soap Pump Dispenser Etsy Is Brass A Liquid Brass, alloy of copper and zinc, of historical and enduring importance because of its hardness and workability. Liquid, in physics, one of the three principal states of matter, intermediate between gas and crystalline solid. What's the difference between a solid, a liquid, and a gas? The most obvious physical properties of a liquid are its retention of. The earliest brass,. Is Brass A Liquid.
From www.tiranti.co.uk
Liquid LeafLiquid Leaf Brass 30ml (1307) Potterycrafts Ltd Trading Is Brass A Liquid It is a mixture because the two elements only combine physically to form. The most obvious physical properties of a liquid are its retention of. Some brasses are homogeneous and consist. What makes something solid, liquid, or gas? Brass is an alloy made primarily of copper and zinc. What's the difference between a solid, a liquid, and a gas? Usually. Is Brass A Liquid.
From shopee.com.my
[100 ORIGINAL] BRASSO 200ml Liquid Metal Brass Copper Chrome Polish Is Brass A Liquid Usually you can think of brass as a solid solution consisting of zinc and other metals (solutes) dissolved in copper (solvent). It is a mixture because the two elements only combine physically to form. Brass is an alloy made primarily of copper and zinc. The most obvious physical properties of a liquid are its retention of. You might think it's. Is Brass A Liquid.
From www.etsy.com
Engraved Brass Glass Liquide Soap Pump Dispenser Etsy Is Brass A Liquid The earliest brass, called calamine brass, dates to neolithic times;. The most obvious physical properties of a liquid are its retention of. Usually you can think of brass as a solid solution consisting of zinc and other metals (solutes) dissolved in copper (solvent). Brass is an alloy made primarily of copper and zinc. The proportions of the copper and zinc. Is Brass A Liquid.
From www.indiamart.com
Liquide Brass Cleaner, For Industrial, Grade Standard Technical Grade Is Brass A Liquid Yes, brass is a mixture made up of copper and zinc. The earliest brass, called calamine brass, dates to neolithic times;. Brass is an alloy made primarily of copper and zinc. It is a mixture because the two elements only combine physically to form. Brass, alloy of copper and zinc, of historical and enduring importance because of its hardness and. Is Brass A Liquid.
From www.metaliercoatings.com
Brass Liquid Metal Liquid Brass Metalier Coatings Limited Is Brass A Liquid Some brasses are homogeneous and consist. Liquid, in physics, one of the three principal states of matter, intermediate between gas and crystalline solid. Usually you can think of brass as a solid solution consisting of zinc and other metals (solutes) dissolved in copper (solvent). The most obvious physical properties of a liquid are its retention of. Yes, brass is a. Is Brass A Liquid.
From metalprofy.com
How Much Is Brass Worth? MetalProfy Is Brass A Liquid Brass, alloy of copper and zinc, of historical and enduring importance because of its hardness and workability. The most obvious physical properties of a liquid are its retention of. The earliest brass, called calamine brass, dates to neolithic times;. You might think it's just a. Usually you can think of brass as a solid solution consisting of zinc and other. Is Brass A Liquid.
From www.metaliercoatings.com
Brass Metalier Liquid Metal US Is Brass A Liquid It is a mixture because the two elements only combine physically to form. Some brasses are homogeneous and consist. What makes something solid, liquid, or gas? Yes, brass is a mixture made up of copper and zinc. You might think it's just a. The proportions of the copper and zinc are varied to yield many different kinds of brass. Brass. Is Brass A Liquid.
From www.etsy.com
Engraved Brass Glass Liquide Soap Pump Dispenser Etsy Is Brass A Liquid What makes something solid, liquid, or gas? The earliest brass, called calamine brass, dates to neolithic times;. Brass is an alloy made primarily of copper and zinc. The proportions of the copper and zinc are varied to yield many different kinds of brass. Liquid, in physics, one of the three principal states of matter, intermediate between gas and crystalline solid.. Is Brass A Liquid.
From www.indiamart.com
Brass Liquid Distributor, For Industrial at Rs 10000/piece in Pune ID Is Brass A Liquid Some brasses are homogeneous and consist. What's the difference between a solid, a liquid, and a gas? It is a mixture because the two elements only combine physically to form. Usually you can think of brass as a solid solution consisting of zinc and other metals (solutes) dissolved in copper (solvent). Brass is an alloy made primarily of copper and. Is Brass A Liquid.