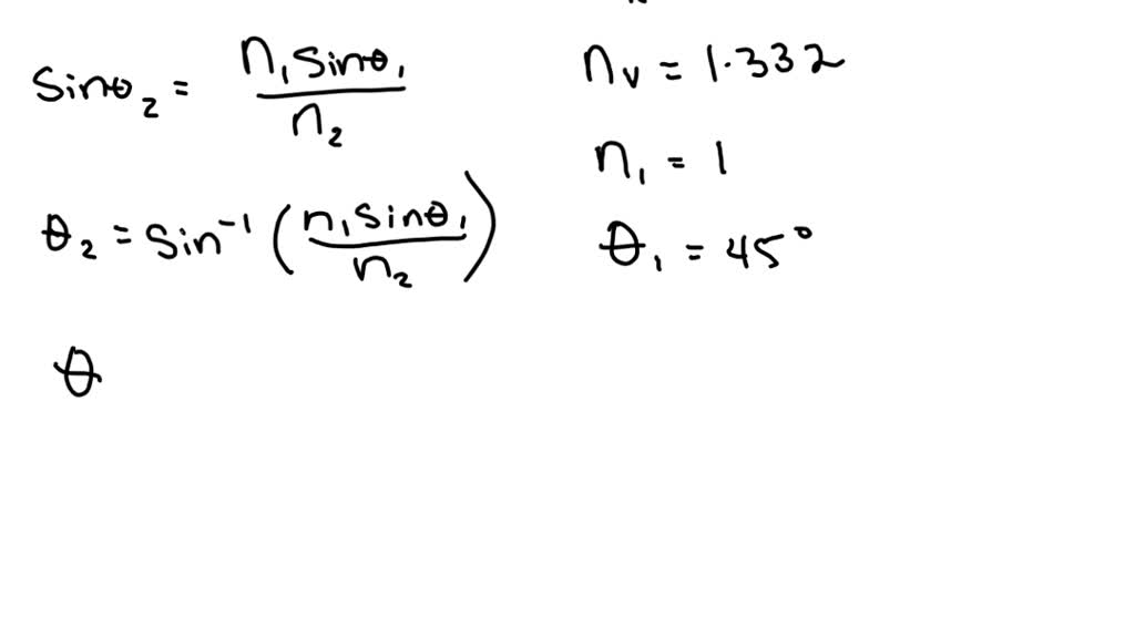
The Index Of Refraction For Red Light In Water Is 1.331 . In some references, the speed of light in air at standard temperature and pressure replaces the speed of light.  the changing of a light ray’s direction when it passes through variations in matter is called refraction. If a ray of white light enters the. This relationship between the angles of incidence and refraction and the indices of refraction of the two.   the index of refraction of light in water at 20 °c is 1.333.  the index of refraction for red light in water is $1.331$ and that for blue light is $1.340.$ if a ray of white light enters the water at. If a ray of white light enters the water at an. The speed of light in vacuuum c = 2.99792458 × 108 ∼ 3.00 × 108m / s.  nr = index of refraction of the refractive medium. Index of refraction n = c v, where v is the speed of light in the material, c is the speed of light in vacuum, and n is the index of refraction. It is also a valuable tool for determining the. The index of refraction for a red light in water is 1.331 and that for blue light is 1.340.   the index of refraction calculator will allow you to calculate the refractive index of any medium. The blue light's index is equal to 1.340. The index of refraction comparing wave speed to the speed of light in a vacuum is the absolute index of refraction.
        
         
         
        from www.chegg.com 
     
        
         nr = index of refraction of the refractive medium.   the index of refraction calculator will allow you to calculate the refractive index of any medium. If a ray of white light enters the. The index of refraction comparing wave speed to the speed of light in a vacuum is the absolute index of refraction. This relationship between the angles of incidence and refraction and the indices of refraction of the two. It is also a valuable tool for determining the. In some references, the speed of light in air at standard temperature and pressure replaces the speed of light.  the index of refraction for red light in water is $1.331$ and that for blue light is $1.340.$ if a ray of white light enters the water at. If a ray of white light enters the water at an. The speed of light in vacuuum c = 2.99792458 × 108 ∼ 3.00 × 108m / s.
    
    	
            
	
		 
	 
         
    Solved Glass of refractive index 1.5 coated with a film of 
    The Index Of Refraction For Red Light In Water Is 1.331   the index of refraction for red light in water is 1.331 and that for blue light is 1.340.   the index of refraction calculator will allow you to calculate the refractive index of any medium. The index of refraction for a red light in water is 1.331 and that for blue light is 1.340. The blue light's index is equal to 1.340. In some references, the speed of light in air at standard temperature and pressure replaces the speed of light. If a ray of white light enters the.   the index of refraction of light in water at 20 °c is 1.333. The index of refraction comparing wave speed to the speed of light in a vacuum is the absolute index of refraction. This relationship between the angles of incidence and refraction and the indices of refraction of the two.  the changing of a light ray’s direction when it passes through variations in matter is called refraction. We are given an index of the light's refraction in water.  the index of refraction for red light in water is 1.331 and that for blue light is 1.340. It is also a valuable tool for determining the.  the index of refraction for red light in water is $1.331$ and that for blue light is $1.340.$ if a ray of white light enters the water at. Index of refraction n = c v, where v is the speed of light in the material, c is the speed of light in vacuum, and n is the index of refraction. If a ray of white light enters the water at an.
            
	
		 
	 
         
 
    
         
        From printableherinaog3.z14.web.core.windows.net 
                    Table Of Indexes Of Refraction The Index Of Refraction For Red Light In Water Is 1.331  If a ray of white light enters the water at an. It is also a valuable tool for determining the.  the index of refraction for red light in water is $1.331$ and that for blue light is $1.340.$ if a ray of white light enters the water at. The index of refraction for a red light in water is. The Index Of Refraction For Red Light In Water Is 1.331.
     
    
         
        From www.philiplaven.com 
                    Refractive index The Index Of Refraction For Red Light In Water Is 1.331    the index of refraction calculator will allow you to calculate the refractive index of any medium.   the index of refraction of light in water at 20 °c is 1.333. We are given an index of the light's refraction in water. It is also a valuable tool for determining the. If a ray of white light enters the water. The Index Of Refraction For Red Light In Water Is 1.331.
     
    
         
        From socratic.org 
                    The refractive index of water is 1.33. What is the angle of refraction The Index Of Refraction For Red Light In Water Is 1.331  If a ray of white light enters the.  nr = index of refraction of the refractive medium. The speed of light in vacuuum c = 2.99792458 × 108 ∼ 3.00 × 108m / s. We are given an index of the light's refraction in water. The blue light's index is equal to 1.340.   the index of refraction of. The Index Of Refraction For Red Light In Water Is 1.331.
     
    
         
        From www.numerade.com 
                    SOLVED The index of refraction for water is 1.33 and that for glass is The Index Of Refraction For Red Light In Water Is 1.331  If a ray of white light enters the water at an. The index of refraction for a red light in water is 1.331 and that for blue light is 1.340. The speed of light in vacuuum c = 2.99792458 × 108 ∼ 3.00 × 108m / s. We are given an index of the light's refraction in water. This relationship. The Index Of Refraction For Red Light In Water Is 1.331.
     
    
         
        From www.youtube.com 
                    If the index of refraction of water is , what is the speed of light in The Index Of Refraction For Red Light In Water Is 1.331    the index of refraction of light in water at 20 °c is 1.333.   the index of refraction calculator will allow you to calculate the refractive index of any medium.  nr = index of refraction of the refractive medium. We are given an index of the light's refraction in water. Index of refraction n = c v, where. The Index Of Refraction For Red Light In Water Is 1.331.
     
    
         
        From mammothmemory.net 
                    Different refractive index The Index Of Refraction For Red Light In Water Is 1.331  Index of refraction n = c v, where v is the speed of light in the material, c is the speed of light in vacuum, and n is the index of refraction. This relationship between the angles of incidence and refraction and the indices of refraction of the two. We are given an index of the light's refraction in water.. The Index Of Refraction For Red Light In Water Is 1.331.
     
    
         
        From mavink.com 
                    Formula Of Refractive Index The Index Of Refraction For Red Light In Water Is 1.331   nr = index of refraction of the refractive medium.   the index of refraction of light in water at 20 °c is 1.333. The speed of light in vacuuum c = 2.99792458 × 108 ∼ 3.00 × 108m / s.  the index of refraction for red light in water is $1.331$ and that for blue light is $1.340.$. The Index Of Refraction For Red Light In Water Is 1.331.
     
    
         
        From www.scienceabc.com 
                    Index Of Refraction Definition, Formula, Example And A Brief Explanation The Index Of Refraction For Red Light In Water Is 1.331  Index of refraction n = c v, where v is the speed of light in the material, c is the speed of light in vacuum, and n is the index of refraction.   the index of refraction calculator will allow you to calculate the refractive index of any medium. If a ray of white light enters the water at an.. The Index Of Refraction For Red Light In Water Is 1.331.
     
    
         
        From www.chegg.com 
                    Solved Glass of refractive index 1.5 coated with a film of The Index Of Refraction For Red Light In Water Is 1.331   the index of refraction for red light in water is 1.331 and that for blue light is 1.340.   the index of refraction calculator will allow you to calculate the refractive index of any medium.  the index of refraction for red light in water is $1.331$ and that for blue light is $1.340.$ if a ray of white. The Index Of Refraction For Red Light In Water Is 1.331.
     
    
         
        From mavink.com 
                    Refraction Labelled Diagram The Index Of Refraction For Red Light In Water Is 1.331    the index of refraction of light in water at 20 °c is 1.333. Index of refraction n = c v, where v is the speed of light in the material, c is the speed of light in vacuum, and n is the index of refraction. If a ray of white light enters the water at an.  nr =. The Index Of Refraction For Red Light In Water Is 1.331.
     
    
         
        From www.chegg.com 
                    Solved The index of refraction for red light in water is The Index Of Refraction For Red Light In Water Is 1.331   the changing of a light ray’s direction when it passes through variations in matter is called refraction.  nr = index of refraction of the refractive medium. The index of refraction comparing wave speed to the speed of light in a vacuum is the absolute index of refraction. The index of refraction for a red light in water is. The Index Of Refraction For Red Light In Water Is 1.331.
     
    
         
        From printableembrioforgy.z4.web.core.windows.net 
                    Table Of Indexes Of Refraction The Index Of Refraction For Red Light In Water Is 1.331   nr = index of refraction of the refractive medium. This relationship between the angles of incidence and refraction and the indices of refraction of the two. If a ray of white light enters the.  the index of refraction for red light in water is 1.331 and that for blue light is 1.340. It is also a valuable tool. The Index Of Refraction For Red Light In Water Is 1.331.
     
    
         
        From slideplayer.com 
                    Chapter 18 Refraction and Lenses ppt download The Index Of Refraction For Red Light In Water Is 1.331  We are given an index of the light's refraction in water.   the index of refraction of light in water at 20 °c is 1.333. Index of refraction n = c v, where v is the speed of light in the material, c is the speed of light in vacuum, and n is the index of refraction.  nr =. The Index Of Refraction For Red Light In Water Is 1.331.
     
    
         
        From www.chegg.com 
                    Solved The index of refraction for red light in water is The Index Of Refraction For Red Light In Water Is 1.331  The blue light's index is equal to 1.340. Index of refraction n = c v, where v is the speed of light in the material, c is the speed of light in vacuum, and n is the index of refraction.  the changing of a light ray’s direction when it passes through variations in matter is called refraction. We are. The Index Of Refraction For Red Light In Water Is 1.331.
     
    
         
        From lessondbward.z13.web.core.windows.net 
                    How To Find The Index Of Refraction The Index Of Refraction For Red Light In Water Is 1.331   the changing of a light ray’s direction when it passes through variations in matter is called refraction. We are given an index of the light's refraction in water.  the index of refraction for red light in water is $1.331$ and that for blue light is $1.340.$ if a ray of white light enters the water at. The blue. The Index Of Refraction For Red Light In Water Is 1.331.
     
    
         
        From printablemimsie715j6.z22.web.core.windows.net 
                    Find The Index Of Refraction The Index Of Refraction For Red Light In Water Is 1.331  In some references, the speed of light in air at standard temperature and pressure replaces the speed of light. Index of refraction n = c v, where v is the speed of light in the material, c is the speed of light in vacuum, and n is the index of refraction.  the changing of a light ray’s direction when. The Index Of Refraction For Red Light In Water Is 1.331.
     
    
         
        From printableembrioforgy.z4.web.core.windows.net 
                    Refraction And Index Of Refraction The Index Of Refraction For Red Light In Water Is 1.331  If a ray of white light enters the. The speed of light in vacuuum c = 2.99792458 × 108 ∼ 3.00 × 108m / s. Index of refraction n = c v, where v is the speed of light in the material, c is the speed of light in vacuum, and n is the index of refraction.  nr =. The Index Of Refraction For Red Light In Water Is 1.331.
     
    
         
        From www.chegg.com 
                    Solved The index of refraction for red light in silica flint The Index Of Refraction For Red Light In Water Is 1.331  The index of refraction for a red light in water is 1.331 and that for blue light is 1.340. This relationship between the angles of incidence and refraction and the indices of refraction of the two. Index of refraction n = c v, where v is the speed of light in the material, c is the speed of light in. The Index Of Refraction For Red Light In Water Is 1.331.
     
    
         
        From www.numerade.com 
                    SOLVED The index of refraction for red light in a certain liquid is 1. The Index Of Refraction For Red Light In Water Is 1.331   the index of refraction for red light in water is $1.331$ and that for blue light is $1.340.$ if a ray of white light enters the water at. The index of refraction for a red light in water is 1.331 and that for blue light is 1.340.   the index of refraction calculator will allow you to calculate the. The Index Of Refraction For Red Light In Water Is 1.331.
     
    
         
        From lessoncampussamizdat.z13.web.core.windows.net 
                    How To Calculate The Index Of Refraction The Index Of Refraction For Red Light In Water Is 1.331  Index of refraction n = c v, where v is the speed of light in the material, c is the speed of light in vacuum, and n is the index of refraction.   the index of refraction calculator will allow you to calculate the refractive index of any medium. The speed of light in vacuuum c = 2.99792458 × 108. The Index Of Refraction For Red Light In Water Is 1.331.
     
    
         
        From www.asrmeta.com 
                    Refractive Index of a material and material properties The Index Of Refraction For Red Light In Water Is 1.331  The index of refraction comparing wave speed to the speed of light in a vacuum is the absolute index of refraction. This relationship between the angles of incidence and refraction and the indices of refraction of the two.   the index of refraction calculator will allow you to calculate the refractive index of any medium. We are given an index. The Index Of Refraction For Red Light In Water Is 1.331.
     
    
         
        From slideplayer.com 
                    The Refraction of Light 1 ppt download The Index Of Refraction For Red Light In Water Is 1.331   the changing of a light ray’s direction when it passes through variations in matter is called refraction. The index of refraction for a red light in water is 1.331 and that for blue light is 1.340.   the index of refraction of light in water at 20 °c is 1.333.  the index of refraction for red light in. The Index Of Refraction For Red Light In Water Is 1.331.
     
    
         
        From www.scienceabc.com 
                    Index Of Refraction Definition, Formula, Example And A Brief Explanation The Index Of Refraction For Red Light In Water Is 1.331    the index of refraction calculator will allow you to calculate the refractive index of any medium.  the index of refraction for red light in water is 1.331 and that for blue light is 1.340.  the index of refraction for red light in water is $1.331$ and that for blue light is $1.340.$ if a ray of white. The Index Of Refraction For Red Light In Water Is 1.331.
     
    
         
        From brainly.in 
                    Refractive index of water is 1.33 and crown glass is 1.52 then the The Index Of Refraction For Red Light In Water Is 1.331   the changing of a light ray’s direction when it passes through variations in matter is called refraction. The speed of light in vacuuum c = 2.99792458 × 108 ∼ 3.00 × 108m / s.   the index of refraction of light in water at 20 °c is 1.333. If a ray of white light enters the water at an.. The Index Of Refraction For Red Light In Water Is 1.331.
     
    
         
        From www.numerade.com 
                    SOLVED The index of refraction for red light in a certain liquid is 1. The Index Of Refraction For Red Light In Water Is 1.331   the index of refraction for red light in water is $1.331$ and that for blue light is $1.340.$ if a ray of white light enters the water at. This relationship between the angles of incidence and refraction and the indices of refraction of the two. The speed of light in vacuuum c = 2.99792458 × 108 ∼ 3.00 ×. The Index Of Refraction For Red Light In Water Is 1.331.
     
    
         
        From lessondbward.z13.web.core.windows.net 
                    How To Find The Index Of Refraction The Index Of Refraction For Red Light In Water Is 1.331  It is also a valuable tool for determining the.   the index of refraction calculator will allow you to calculate the refractive index of any medium. The index of refraction for a red light in water is 1.331 and that for blue light is 1.340.   the index of refraction of light in water at 20 °c is 1.333. We. The Index Of Refraction For Red Light In Water Is 1.331.
     
    
         
        From www.numerade.com 
                    SOLVED Air has an index of refraction of 1.00. Water has an index of The Index Of Refraction For Red Light In Water Is 1.331  If a ray of white light enters the.   the index of refraction of light in water at 20 °c is 1.333. If a ray of white light enters the water at an.  the index of refraction for red light in water is 1.331 and that for blue light is 1.340.  the changing of a light ray’s direction. The Index Of Refraction For Red Light In Water Is 1.331.
     
    
         
        From quizzfullultimarisace.z14.web.core.windows.net 
                    How To Determine The Index Of Refraction The Index Of Refraction For Red Light In Water Is 1.331   the index of refraction for red light in water is $1.331$ and that for blue light is $1.340.$ if a ray of white light enters the water at. Index of refraction n = c v, where v is the speed of light in the material, c is the speed of light in vacuum, and n is the index of. The Index Of Refraction For Red Light In Water Is 1.331.
     
    
         
        From exojifvdt.blob.core.windows.net 
                    Refractive Index Refraction Laws at Mary Mullins blog The Index Of Refraction For Red Light In Water Is 1.331  This relationship between the angles of incidence and refraction and the indices of refraction of the two. The index of refraction for a red light in water is 1.331 and that for blue light is 1.340.  nr = index of refraction of the refractive medium. In some references, the speed of light in air at standard temperature and pressure. The Index Of Refraction For Red Light In Water Is 1.331.
     
    
         
        From www.sciencelearn.org 
                    Refraction of light in water — Science Learning Hub The Index Of Refraction For Red Light In Water Is 1.331  The index of refraction for a red light in water is 1.331 and that for blue light is 1.340.   the index of refraction of light in water at 20 °c is 1.333. We are given an index of the light's refraction in water. In some references, the speed of light in air at standard temperature and pressure replaces the. The Index Of Refraction For Red Light In Water Is 1.331.
     
    
         
        From www.numerade.com 
                    SOLVEDThe index of refraction for red light in a certain liquid is 1. The Index Of Refraction For Red Light In Water Is 1.331   the changing of a light ray’s direction when it passes through variations in matter is called refraction. The index of refraction for a red light in water is 1.331 and that for blue light is 1.340. It is also a valuable tool for determining the.   the index of refraction calculator will allow you to calculate the refractive index. The Index Of Refraction For Red Light In Water Is 1.331.
     
    
         
        From learningschoolszobiel.z19.web.core.windows.net 
                    How To Determine The Index Of Refraction The Index Of Refraction For Red Light In Water Is 1.331    the index of refraction of light in water at 20 °c is 1.333. If a ray of white light enters the. Index of refraction n = c v, where v is the speed of light in the material, c is the speed of light in vacuum, and n is the index of refraction. If a ray of white light. The Index Of Refraction For Red Light In Water Is 1.331.
     
    
         
        From lightcolourvision.org 
                    Refractive Index of Water The Index Of Refraction For Red Light In Water Is 1.331  The blue light's index is equal to 1.340.  nr = index of refraction of the refractive medium.  the index of refraction for red light in water is $1.331$ and that for blue light is $1.340.$ if a ray of white light enters the water at. Index of refraction n = c v, where v is the speed of. The Index Of Refraction For Red Light In Water Is 1.331.
     
    
         
        From slideplayer.com 
                    The Refraction of Light ppt download The Index Of Refraction For Red Light In Water Is 1.331    the index of refraction calculator will allow you to calculate the refractive index of any medium. The speed of light in vacuuum c = 2.99792458 × 108 ∼ 3.00 × 108m / s. This relationship between the angles of incidence and refraction and the indices of refraction of the two.  the index of refraction for red light in. The Index Of Refraction For Red Light In Water Is 1.331.
     
    
         
        From www.bartleby.com 
                    Answered 114. The index of refraction for red… bartleby The Index Of Refraction For Red Light In Water Is 1.331  If a ray of white light enters the water at an.   the index of refraction of light in water at 20 °c is 1.333. We are given an index of the light's refraction in water.  the index of refraction for red light in water is 1.331 and that for blue light is 1.340. The blue light's index is. The Index Of Refraction For Red Light In Water Is 1.331.