Rectifier Has Ripple . rectifiers yield a unidirectional but pulsating direct current; the variation in the capacitor voltage due to the charging and discharging is called the ripple voltage. the variation in the capacitor voltage due to the charging and discharging is called the ripple voltage. Probably poor practice to use the \$r\$ from the filter in the equation: Thus, the smaller the ripple, the better the filtering action, as illustrated in below figure. ripple with full wave rectification is \$i / (2 f c)\$, and with half wave is \$i / (f c)\$. Filter circuits in full wave rectifiers help smooth out the dc output by reducing ripples, making the dc voltage more stable.
from electronics.stackexchange.com
Thus, the smaller the ripple, the better the filtering action, as illustrated in below figure. ripple with full wave rectification is \$i / (2 f c)\$, and with half wave is \$i / (f c)\$. rectifiers yield a unidirectional but pulsating direct current; the variation in the capacitor voltage due to the charging and discharging is called the ripple voltage. Probably poor practice to use the \$r\$ from the filter in the equation: Filter circuits in full wave rectifiers help smooth out the dc output by reducing ripples, making the dc voltage more stable. the variation in the capacitor voltage due to the charging and discharging is called the ripple voltage.
Ripple in full wave rectifier Electrical Engineering Stack Exchange
Rectifier Has Ripple the variation in the capacitor voltage due to the charging and discharging is called the ripple voltage. the variation in the capacitor voltage due to the charging and discharging is called the ripple voltage. rectifiers yield a unidirectional but pulsating direct current; Filter circuits in full wave rectifiers help smooth out the dc output by reducing ripples, making the dc voltage more stable. Probably poor practice to use the \$r\$ from the filter in the equation: the variation in the capacitor voltage due to the charging and discharging is called the ripple voltage. Thus, the smaller the ripple, the better the filtering action, as illustrated in below figure. ripple with full wave rectification is \$i / (2 f c)\$, and with half wave is \$i / (f c)\$.
From www.watelectrical.com
CenterTapped Full Wave Rectifier Definition, Principle & Benefits Rectifier Has Ripple ripple with full wave rectification is \$i / (2 f c)\$, and with half wave is \$i / (f c)\$. the variation in the capacitor voltage due to the charging and discharging is called the ripple voltage. Probably poor practice to use the \$r\$ from the filter in the equation: Thus, the smaller the ripple, the better the. Rectifier Has Ripple.
From www.electricaltechnology.org
What is a Rectifier? Types of Rectifiers and their Operation Rectifier Has Ripple ripple with full wave rectification is \$i / (2 f c)\$, and with half wave is \$i / (f c)\$. the variation in the capacitor voltage due to the charging and discharging is called the ripple voltage. the variation in the capacitor voltage due to the charging and discharging is called the ripple voltage. Filter circuits in. Rectifier Has Ripple.
From exodeubty.blob.core.windows.net
What Is Bridge Rectifier Ripple Factor at Damion Mesta blog Rectifier Has Ripple rectifiers yield a unidirectional but pulsating direct current; Thus, the smaller the ripple, the better the filtering action, as illustrated in below figure. the variation in the capacitor voltage due to the charging and discharging is called the ripple voltage. Probably poor practice to use the \$r\$ from the filter in the equation: Filter circuits in full wave. Rectifier Has Ripple.
From wiringdbdeggysingeru6.z21.web.core.windows.net
Rectifying Circuit Diagram Rectifier Has Ripple Probably poor practice to use the \$r\$ from the filter in the equation: rectifiers yield a unidirectional but pulsating direct current; the variation in the capacitor voltage due to the charging and discharging is called the ripple voltage. Filter circuits in full wave rectifiers help smooth out the dc output by reducing ripples, making the dc voltage more. Rectifier Has Ripple.
From www.youtube.com
Three phase bridge, 6 pulse and 12 pulse diode rectifiers using Plecs Rectifier Has Ripple Thus, the smaller the ripple, the better the filtering action, as illustrated in below figure. Probably poor practice to use the \$r\$ from the filter in the equation: rectifiers yield a unidirectional but pulsating direct current; Filter circuits in full wave rectifiers help smooth out the dc output by reducing ripples, making the dc voltage more stable. the. Rectifier Has Ripple.
From www.slideserve.com
PPT Chapter 2 AC to DC CONVERSION (RECTIFIER) PowerPoint Presentation Rectifier Has Ripple the variation in the capacitor voltage due to the charging and discharging is called the ripple voltage. Filter circuits in full wave rectifiers help smooth out the dc output by reducing ripples, making the dc voltage more stable. Thus, the smaller the ripple, the better the filtering action, as illustrated in below figure. Probably poor practice to use the. Rectifier Has Ripple.
From www.etechnog.com
Rectifier Circuit Diagram Half Wave, Full Wave, Bridge ETechnoG Rectifier Has Ripple Filter circuits in full wave rectifiers help smooth out the dc output by reducing ripples, making the dc voltage more stable. the variation in the capacitor voltage due to the charging and discharging is called the ripple voltage. Thus, the smaller the ripple, the better the filtering action, as illustrated in below figure. rectifiers yield a unidirectional but. Rectifier Has Ripple.
From www.vedantu.com
Ripple Factor Learn Important Terms and Concepts Rectifier Has Ripple Thus, the smaller the ripple, the better the filtering action, as illustrated in below figure. rectifiers yield a unidirectional but pulsating direct current; the variation in the capacitor voltage due to the charging and discharging is called the ripple voltage. ripple with full wave rectification is \$i / (2 f c)\$, and with half wave is \$i. Rectifier Has Ripple.
From www.electricalelibrary.com
Why is the system threephase? Electrical Rectifier Has Ripple Thus, the smaller the ripple, the better the filtering action, as illustrated in below figure. Probably poor practice to use the \$r\$ from the filter in the equation: rectifiers yield a unidirectional but pulsating direct current; the variation in the capacitor voltage due to the charging and discharging is called the ripple voltage. ripple with full wave. Rectifier Has Ripple.
From www.coursehero.com
[Solved] Determine the ripple factor for the filtered bridge rectifier Rectifier Has Ripple Filter circuits in full wave rectifiers help smooth out the dc output by reducing ripples, making the dc voltage more stable. Probably poor practice to use the \$r\$ from the filter in the equation: the variation in the capacitor voltage due to the charging and discharging is called the ripple voltage. Thus, the smaller the ripple, the better the. Rectifier Has Ripple.
From electronics.stackexchange.com
Ripple in full wave rectifier Electrical Engineering Stack Exchange Rectifier Has Ripple ripple with full wave rectification is \$i / (2 f c)\$, and with half wave is \$i / (f c)\$. Probably poor practice to use the \$r\$ from the filter in the equation: the variation in the capacitor voltage due to the charging and discharging is called the ripple voltage. rectifiers yield a unidirectional but pulsating direct. Rectifier Has Ripple.
From schematicdbackerman.z19.web.core.windows.net
Half Bridge Rectifier Circuit Diagram Rectifier Has Ripple ripple with full wave rectification is \$i / (2 f c)\$, and with half wave is \$i / (f c)\$. Probably poor practice to use the \$r\$ from the filter in the equation: Thus, the smaller the ripple, the better the filtering action, as illustrated in below figure. the variation in the capacitor voltage due to the charging. Rectifier Has Ripple.
From guidefixaplomats0i.z4.web.core.windows.net
Bridge Rectifier Circuit With Output Rectifier Has Ripple ripple with full wave rectification is \$i / (2 f c)\$, and with half wave is \$i / (f c)\$. Probably poor practice to use the \$r\$ from the filter in the equation: Thus, the smaller the ripple, the better the filtering action, as illustrated in below figure. Filter circuits in full wave rectifiers help smooth out the dc. Rectifier Has Ripple.
From www.electricalvolt.com
What is Ripple and Ripple Factor?Formula of Ripple Factor Electrical Volt Rectifier Has Ripple Filter circuits in full wave rectifiers help smooth out the dc output by reducing ripples, making the dc voltage more stable. Probably poor practice to use the \$r\$ from the filter in the equation: the variation in the capacitor voltage due to the charging and discharging is called the ripple voltage. rectifiers yield a unidirectional but pulsating direct. Rectifier Has Ripple.
From sra.vjti.info
Phase Control Rectifiers Explained in 2 Minutes Society of Robotics Rectifier Has Ripple ripple with full wave rectification is \$i / (2 f c)\$, and with half wave is \$i / (f c)\$. rectifiers yield a unidirectional but pulsating direct current; the variation in the capacitor voltage due to the charging and discharging is called the ripple voltage. Probably poor practice to use the \$r\$ from the filter in the. Rectifier Has Ripple.
From www.youtube.com
Full Wave Rectifier (Form Factor & Ripple Factor) YouTube Rectifier Has Ripple Thus, the smaller the ripple, the better the filtering action, as illustrated in below figure. Filter circuits in full wave rectifiers help smooth out the dc output by reducing ripples, making the dc voltage more stable. rectifiers yield a unidirectional but pulsating direct current; ripple with full wave rectification is \$i / (2 f c)\$, and with half. Rectifier Has Ripple.
From fixenginecarthorse.z13.web.core.windows.net
3 Phase Half Wave Rectifier Circuit Diagram Rectifier Has Ripple ripple with full wave rectification is \$i / (2 f c)\$, and with half wave is \$i / (f c)\$. the variation in the capacitor voltage due to the charging and discharging is called the ripple voltage. Thus, the smaller the ripple, the better the filtering action, as illustrated in below figure. Probably poor practice to use the. Rectifier Has Ripple.
From www.slidemake.com
Construction And Working Of Bridge Rectifier Rectifier Has Ripple rectifiers yield a unidirectional but pulsating direct current; the variation in the capacitor voltage due to the charging and discharging is called the ripple voltage. ripple with full wave rectification is \$i / (2 f c)\$, and with half wave is \$i / (f c)\$. the variation in the capacitor voltage due to the charging and. Rectifier Has Ripple.
From haipernews.com
How To Calculate Ripple Frequency Of Full Wave Rectifier Haiper Rectifier Has Ripple Probably poor practice to use the \$r\$ from the filter in the equation: rectifiers yield a unidirectional but pulsating direct current; Filter circuits in full wave rectifiers help smooth out the dc output by reducing ripples, making the dc voltage more stable. ripple with full wave rectification is \$i / (2 f c)\$, and with half wave is. Rectifier Has Ripple.
From www.numerade.com
SOLVED A half wave rectifier has half the ripple output of a fullwave Rectifier Has Ripple ripple with full wave rectification is \$i / (2 f c)\$, and with half wave is \$i / (f c)\$. the variation in the capacitor voltage due to the charging and discharging is called the ripple voltage. Probably poor practice to use the \$r\$ from the filter in the equation: rectifiers yield a unidirectional but pulsating direct. Rectifier Has Ripple.
From www.slideserve.com
PPT Electronics 1 Lecture 7 Diode types and application PowerPoint Rectifier Has Ripple rectifiers yield a unidirectional but pulsating direct current; the variation in the capacitor voltage due to the charging and discharging is called the ripple voltage. Filter circuits in full wave rectifiers help smooth out the dc output by reducing ripples, making the dc voltage more stable. ripple with full wave rectification is \$i / (2 f c)\$,. Rectifier Has Ripple.
From fixlibraryunterfallu1.z14.web.core.windows.net
Rectifier Circuit Diagram With Explanation Rectifier Has Ripple Probably poor practice to use the \$r\$ from the filter in the equation: the variation in the capacitor voltage due to the charging and discharging is called the ripple voltage. the variation in the capacitor voltage due to the charging and discharging is called the ripple voltage. rectifiers yield a unidirectional but pulsating direct current; ripple. Rectifier Has Ripple.
From www.youtube.com
Ripple Factor of Rectifier Experiment Hindi YouTube Rectifier Has Ripple rectifiers yield a unidirectional but pulsating direct current; the variation in the capacitor voltage due to the charging and discharging is called the ripple voltage. Filter circuits in full wave rectifiers help smooth out the dc output by reducing ripples, making the dc voltage more stable. the variation in the capacitor voltage due to the charging and. Rectifier Has Ripple.
From dxoiuzomp.blob.core.windows.net
Function Of Rectifier And Capacitor at Ruby Darlington blog Rectifier Has Ripple Filter circuits in full wave rectifiers help smooth out the dc output by reducing ripples, making the dc voltage more stable. the variation in the capacitor voltage due to the charging and discharging is called the ripple voltage. rectifiers yield a unidirectional but pulsating direct current; the variation in the capacitor voltage due to the charging and. Rectifier Has Ripple.
From circuitdiagramknubs.z22.web.core.windows.net
Half Wave Rectifier Schematic Diagram Rectifier Has Ripple Thus, the smaller the ripple, the better the filtering action, as illustrated in below figure. the variation in the capacitor voltage due to the charging and discharging is called the ripple voltage. the variation in the capacitor voltage due to the charging and discharging is called the ripple voltage. Probably poor practice to use the \$r\$ from the. Rectifier Has Ripple.
From www.theengineeringknowledge.com
Three Phase Half Wave Rectifier Circuit The Engineering Knowledge Rectifier Has Ripple Filter circuits in full wave rectifiers help smooth out the dc output by reducing ripples, making the dc voltage more stable. ripple with full wave rectification is \$i / (2 f c)\$, and with half wave is \$i / (f c)\$. Thus, the smaller the ripple, the better the filtering action, as illustrated in below figure. Probably poor practice. Rectifier Has Ripple.
From circuitchemas.blogspot.com
Full Wave Bridge Rectifier With Capacitor Filter Design Pcb Circuits Rectifier Has Ripple Filter circuits in full wave rectifiers help smooth out the dc output by reducing ripples, making the dc voltage more stable. the variation in the capacitor voltage due to the charging and discharging is called the ripple voltage. Thus, the smaller the ripple, the better the filtering action, as illustrated in below figure. Probably poor practice to use the. Rectifier Has Ripple.
From mungfali.com
Solved A Singlephase Fullwave Bridge Rectifier Has A Rectifier Has Ripple ripple with full wave rectification is \$i / (2 f c)\$, and with half wave is \$i / (f c)\$. the variation in the capacitor voltage due to the charging and discharging is called the ripple voltage. Thus, the smaller the ripple, the better the filtering action, as illustrated in below figure. rectifiers yield a unidirectional but. Rectifier Has Ripple.
From www.quora.com
What is ripple voltage in a rectifier? Quora Rectifier Has Ripple the variation in the capacitor voltage due to the charging and discharging is called the ripple voltage. rectifiers yield a unidirectional but pulsating direct current; Probably poor practice to use the \$r\$ from the filter in the equation: Filter circuits in full wave rectifiers help smooth out the dc output by reducing ripples, making the dc voltage more. Rectifier Has Ripple.
From www.numerade.com
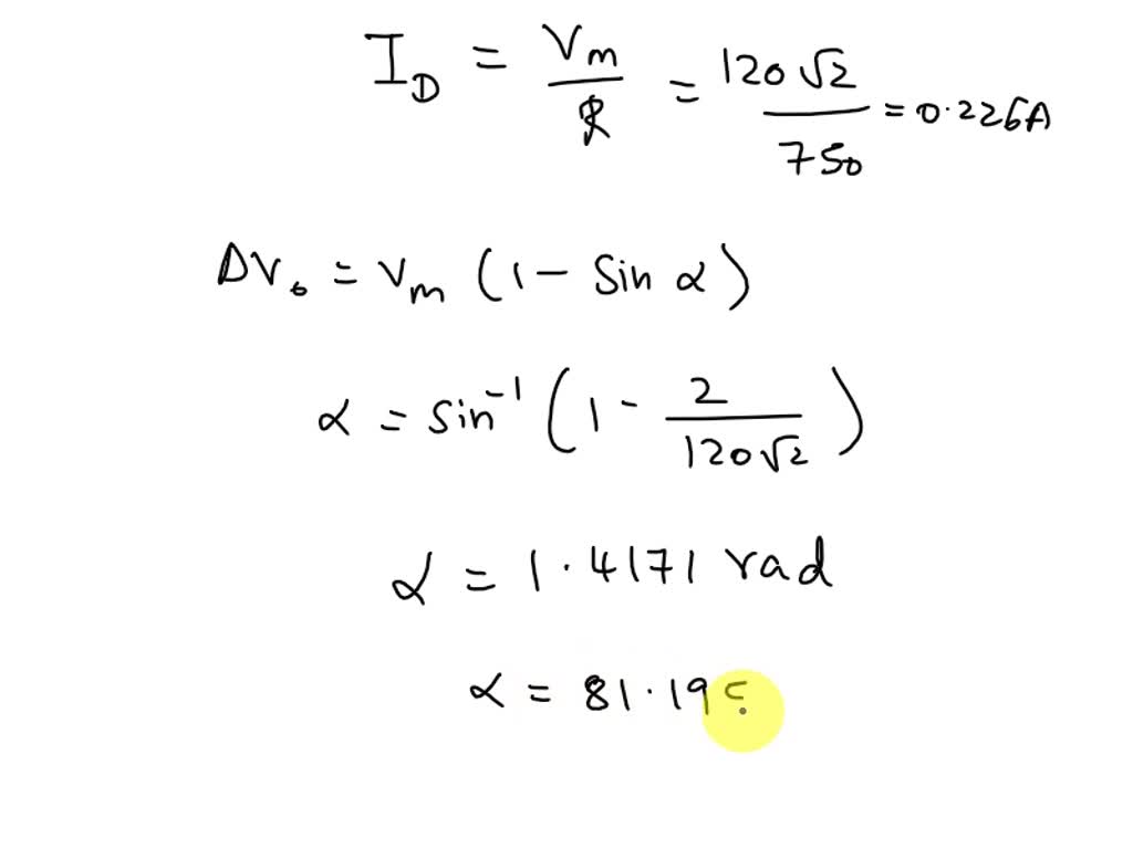
A halfwave rectifier has a 120 Vrms,60 Hz ac source. The load is 750 Rectifier Has Ripple Thus, the smaller the ripple, the better the filtering action, as illustrated in below figure. the variation in the capacitor voltage due to the charging and discharging is called the ripple voltage. Filter circuits in full wave rectifiers help smooth out the dc output by reducing ripples, making the dc voltage more stable. Probably poor practice to use the. Rectifier Has Ripple.
From itecnotes.com
Rectifier Ripple Interpreting the Ripple Curve of a Half Wave Rectifier Has Ripple Filter circuits in full wave rectifiers help smooth out the dc output by reducing ripples, making the dc voltage more stable. Probably poor practice to use the \$r\$ from the filter in the equation: the variation in the capacitor voltage due to the charging and discharging is called the ripple voltage. the variation in the capacitor voltage due. Rectifier Has Ripple.
From www.youtube.com
20 expression of peak to peak ripple voltage in a Full Wave Rectifier Rectifier Has Ripple Probably poor practice to use the \$r\$ from the filter in the equation: Thus, the smaller the ripple, the better the filtering action, as illustrated in below figure. the variation in the capacitor voltage due to the charging and discharging is called the ripple voltage. Filter circuits in full wave rectifiers help smooth out the dc output by reducing. Rectifier Has Ripple.
From wiringdiagramsankt.z19.web.core.windows.net
Three Phase Half Wave Uncontrolled Rectifier Rectifier Has Ripple rectifiers yield a unidirectional but pulsating direct current; the variation in the capacitor voltage due to the charging and discharging is called the ripple voltage. the variation in the capacitor voltage due to the charging and discharging is called the ripple voltage. Filter circuits in full wave rectifiers help smooth out the dc output by reducing ripples,. Rectifier Has Ripple.
From www.collegesearch.in
Rectifier Definition, Types, Application, Uses and Working Principle Rectifier Has Ripple Filter circuits in full wave rectifiers help smooth out the dc output by reducing ripples, making the dc voltage more stable. the variation in the capacitor voltage due to the charging and discharging is called the ripple voltage. Probably poor practice to use the \$r\$ from the filter in the equation: rectifiers yield a unidirectional but pulsating direct. Rectifier Has Ripple.
From www.electricaltechnology.org
What is a Rectifier? Types of Rectifiers and their Operation Rectifier Has Ripple the variation in the capacitor voltage due to the charging and discharging is called the ripple voltage. ripple with full wave rectification is \$i / (2 f c)\$, and with half wave is \$i / (f c)\$. the variation in the capacitor voltage due to the charging and discharging is called the ripple voltage. Thus, the smaller. Rectifier Has Ripple.