Law Practice For Sale . That’s good news for those in the market to buy a law firm or invest in a legal services business for sale. Sell a $2m+ in revenues firm. Save precious time and money. The law practice exchange provides an efficient marketplace for buyers to research, communicate, and close on the perfect law firm to acquire. Our guide covers valuation, succession planning, and trends in law practices. Search for your new practice. Discover how to navigate the process of selling your law firm. Senior attorneys have the following options when considering selling their law practices: Here are some tips on how to get started. Law firms deal directly with: Obviously, the first step to buying a law practice is finding. Sell to a growing law firm If you’re considering going solo, you may be interested in purchasing an established practice from an. Structure an internal sale (potential); Our intuitive platform makes it easy to find and close on law.
from studylib.net
Discover how to navigate the process of selling your law firm. Our guide covers valuation, succession planning, and trends in law practices. We can help you successfully transfer the value of your practice through a sale, merger, retirement, or breakup, turning your years of effort in building client files and a. Sell a $2m+ in revenues firm. Senior attorneys have the following options when considering selling their law practices: Obviously, the first step to buying a law practice is finding. Search for your new practice. Our intuitive platform makes it easy to find and close on law. Sell to a growing law firm Three options for selling a law practice.
Intro to Law on Sales
Law Practice For Sale Here are some tips on how to get started. Law firms deal directly with: Search for your new practice. Sell to a growing law firm Obviously, the first step to buying a law practice is finding. We can help you successfully transfer the value of your practice through a sale, merger, retirement, or breakup, turning your years of effort in building client files and a. Criminal, civil negligence, and personal injury. Structure an internal sale (potential); Our intuitive platform makes it easy to find and close on law. Discover how to navigate the process of selling your law firm. Sell a $2m+ in revenues firm. That’s good news for those in the market to buy a law firm or invest in a legal services business for sale. Three options for selling a law practice. Here are some tips on how to get started. Where to find firms for sale. Our guide covers valuation, succession planning, and trends in law practices.
From www.brumleyprinting.com
Printing for Law Practices What Every Law Firm Needs Brumley Printing Law Practice For Sale If you’re considering going solo, you may be interested in purchasing an established practice from an. Our guide covers valuation, succession planning, and trends in law practices. Save precious time and money. That’s good news for those in the market to buy a law firm or invest in a legal services business for sale. Sell a $2m+ in revenues firm.. Law Practice For Sale.
From www.lexinter.net
SALES LAW Lexinter Law Law Practice For Sale Search for your new practice. Here are some tips on how to get started. Senior attorneys have the following options when considering selling their law practices: That’s good news for those in the market to buy a law firm or invest in a legal services business for sale. Sell a $2m+ in revenues firm. Purchase an established law firm with. Law Practice For Sale.
From fyosinoej.blob.core.windows.net
Law Practice For Sale Ontario at Merle Parker blog Law Practice For Sale Three options for selling a law practice. Sell to a growing law firm (preferred); Our intuitive platform makes it easy to find and close on law. Senior attorneys have the following options when considering selling their law practices: Discover how to navigate the process of selling your law firm. Law firms deal directly with: Search for your new practice. That’s. Law Practice For Sale.
From www.scribd.com
Law On Sales PDF Offer And Acceptance Option (Finance) Law Practice For Sale Senior attorneys have the following options when considering selling their law practices: Our intuitive platform makes it easy to find and close on law. Law firms deal directly with: Three options for selling a law practice. Here are some tips on how to get started. Where to find firms for sale. If you’re considering going solo, you may be interested. Law Practice For Sale.
From studylib.net
Global Sales Law Theory and Practice Law Practice For Sale Law firms deal directly with: Sell to a growing law firm (preferred); We can help you successfully transfer the value of your practice through a sale, merger, retirement, or breakup, turning your years of effort in building client files and a. Our intuitive platform makes it easy to find and close on law. Sell a $2m+ in revenues firm. If. Law Practice For Sale.
From www.scribd.com
Law On Sales PDF Law Practice For Sale Search for your new practice. The law practice exchange provides an efficient marketplace for buyers to research, communicate, and close on the perfect law firm to acquire. Sell to a growing law firm (preferred); Here are some tips on how to get started. Sell a $2m+ in revenues firm. Criminal, civil negligence, and personal injury. Law firms deal directly with:. Law Practice For Sale.
From legal60.com
Law of Sale of Goods Notes, Case Laws And Study Material Legal 60 Law Practice For Sale Our guide covers valuation, succession planning, and trends in law practices. Three options for selling a law practice. Law firms deal directly with: The law practice exchange provides an efficient marketplace for buyers to research, communicate, and close on the perfect law firm to acquire. Our intuitive platform makes it easy to find and close on law. Sell to a. Law Practice For Sale.
From www.dreamstime.com
Law Book on Sales stock photo. Image of studying, statute 66413772 Law Practice For Sale If you’re considering going solo, you may be interested in purchasing an established practice from an. The law practice exchange provides an efficient marketplace for buyers to research, communicate, and close on the perfect law firm to acquire. Discover how to navigate the process of selling your law firm. Senior attorneys have the following options when considering selling their law. Law Practice For Sale.
From soderpalm.se
Law of Sales Soderpalm Publishing Law Practice For Sale The law practice exchange provides an efficient marketplace for buyers to research, communicate, and close on the perfect law firm to acquire. Our guide covers valuation, succession planning, and trends in law practices. Save precious time and money. Where to find firms for sale. Purchase an established law firm with confidence. Structure an internal sale (potential); Senior attorneys have the. Law Practice For Sale.
From lawrina.org
7+ Steps for Buying a Law Practice Lawrina Law Practice For Sale Search for your new practice. Structure an internal sale (potential); Discover how to navigate the process of selling your law firm. Senior attorneys have the following options when considering selling their law practices: Our intuitive platform makes it easy to find and close on law. Sell to a growing law firm Save precious time and money. Sell to a growing. Law Practice For Sale.
From wingfiremedia.com
Sample Sales Funnel Layout Law Practice Wingfire Media Law Practice For Sale Three options for selling a law practice. Criminal, civil negligence, and personal injury. Discover how to navigate the process of selling your law firm. Sell to a growing law firm (preferred); That’s good news for those in the market to buy a law firm or invest in a legal services business for sale. Here are some tips on how to. Law Practice For Sale.
From www.jaxbar.org
Solo Law Practice for Sale Jacksonville Bar Association Law Practice For Sale That’s good news for those in the market to buy a law firm or invest in a legal services business for sale. Senior attorneys have the following options when considering selling their law practices: Search for your new practice. We can help you successfully transfer the value of your practice through a sale, merger, retirement, or breakup, turning your years. Law Practice For Sale.
From trufortebusinessgroup.com
Law Practice for Sale in Sarasota Truforte Business Group Law Practice For Sale Sell to a growing law firm Obviously, the first step to buying a law practice is finding. Sell to a growing law firm (preferred); Our intuitive platform makes it easy to find and close on law. Save precious time and money. That’s good news for those in the market to buy a law firm or invest in a legal services. Law Practice For Sale.
From www.halt.org
Time To Start Your Own Law Practice? Great Tips To Get Started Law Practice For Sale Sell to a growing law firm (preferred); Search for your new practice. If you’re considering going solo, you may be interested in purchasing an established practice from an. Our guide covers valuation, succession planning, and trends in law practices. Save precious time and money. Purchase an established law firm with confidence. Law firms deal directly with: The law practice exchange. Law Practice For Sale.
From www.studocu.com
LAW01 LAW ON SalesPDF Lecture notes 1 LAW ON SALES General Law Practice For Sale Our guide covers valuation, succession planning, and trends in law practices. Law firms deal directly with: Discover how to navigate the process of selling your law firm. Three options for selling a law practice. Criminal, civil negligence, and personal injury. Obviously, the first step to buying a law practice is finding. That’s good news for those in the market to. Law Practice For Sale.
From studylib.net
Intro to Law on Sales Law Practice For Sale Law firms deal directly with: Search for your new practice. Sell to a growing law firm (preferred); Our guide covers valuation, succession planning, and trends in law practices. Senior attorneys have the following options when considering selling their law practices: Structure an internal sale (potential); Our intuitive platform makes it easy to find and close on law. Sell a $2m+. Law Practice For Sale.
From fyosinoej.blob.core.windows.net
Law Practice For Sale Ontario at Merle Parker blog Law Practice For Sale Save precious time and money. Search for your new practice. The law practice exchange provides an efficient marketplace for buyers to research, communicate, and close on the perfect law firm to acquire. Senior attorneys have the following options when considering selling their law practices: Structure an internal sale (potential); Where to find firms for sale. Our intuitive platform makes it. Law Practice For Sale.
From fyosinoej.blob.core.windows.net
Law Practice For Sale Ontario at Merle Parker blog Law Practice For Sale Sell to a growing law firm (preferred); Search for your new practice. The law practice exchange provides an efficient marketplace for buyers to research, communicate, and close on the perfect law firm to acquire. Our guide covers valuation, succession planning, and trends in law practices. Structure an internal sale (potential); Discover how to navigate the process of selling your law. Law Practice For Sale.
From www.worthview.com
6 Major Types of Law Practices WorthvieW Law Practice For Sale We can help you successfully transfer the value of your practice through a sale, merger, retirement, or breakup, turning your years of effort in building client files and a. Search for your new practice. Sell to a growing law firm Senior attorneys have the following options when considering selling their law practices: Save precious time and money. Sell to a. Law Practice For Sale.
From www.sherwoodbooks.co.za
Ebook Principles of the Law of Sale and Lease Sherwood Books Law Practice For Sale Here are some tips on how to get started. Our intuitive platform makes it easy to find and close on law. Sell to a growing law firm (preferred); Our guide covers valuation, succession planning, and trends in law practices. Sell to a growing law firm Search for your new practice. Obviously, the first step to buying a law practice is. Law Practice For Sale.
From www.pdffiller.com
sale law Doc Template pdfFiller Law Practice For Sale Three options for selling a law practice. Sell a $2m+ in revenues firm. Discover how to navigate the process of selling your law firm. Obviously, the first step to buying a law practice is finding. Criminal, civil negligence, and personal injury. Our guide covers valuation, succession planning, and trends in law practices. Structure an internal sale (potential); Sell to a. Law Practice For Sale.
From petiwalabooks.com
Petiwala Books. Law & Practice of Sales Tax on Services 2023 Law Practice For Sale Here are some tips on how to get started. Sell a $2m+ in revenues firm. The law practice exchange provides an efficient marketplace for buyers to research, communicate, and close on the perfect law firm to acquire. Sell to a growing law firm Three options for selling a law practice. Search for your new practice. We can help you successfully. Law Practice For Sale.
From www.youtube.com
Q.1 How do I best prepare my law practice for sale? YouTube Law Practice For Sale Save precious time and money. Sell a $2m+ in revenues firm. Our guide covers valuation, succession planning, and trends in law practices. Our intuitive platform makes it easy to find and close on law. Where to find firms for sale. Criminal, civil negligence, and personal injury. The law practice exchange provides an efficient marketplace for buyers to research, communicate, and. Law Practice For Sale.
From www.youtube.com
LAW ON SALES REVIEW YouTube Law Practice For Sale Sell a $2m+ in revenues firm. Search for your new practice. Purchase an established law firm with confidence. The law practice exchange provides an efficient marketplace for buyers to research, communicate, and close on the perfect law firm to acquire. Sell to a growing law firm (preferred); Where to find firms for sale. Senior attorneys have the following options when. Law Practice For Sale.
From www.practicepanther.com
Attorneys 5 Step Guide to Selling A Law Firm Law Practice For Sale Our intuitive platform makes it easy to find and close on law. Purchase an established law firm with confidence. Our guide covers valuation, succession planning, and trends in law practices. Criminal, civil negligence, and personal injury. Sell to a growing law firm Sell a $2m+ in revenues firm. Obviously, the first step to buying a law practice is finding. Save. Law Practice For Sale.
From www.uslegalforms.com
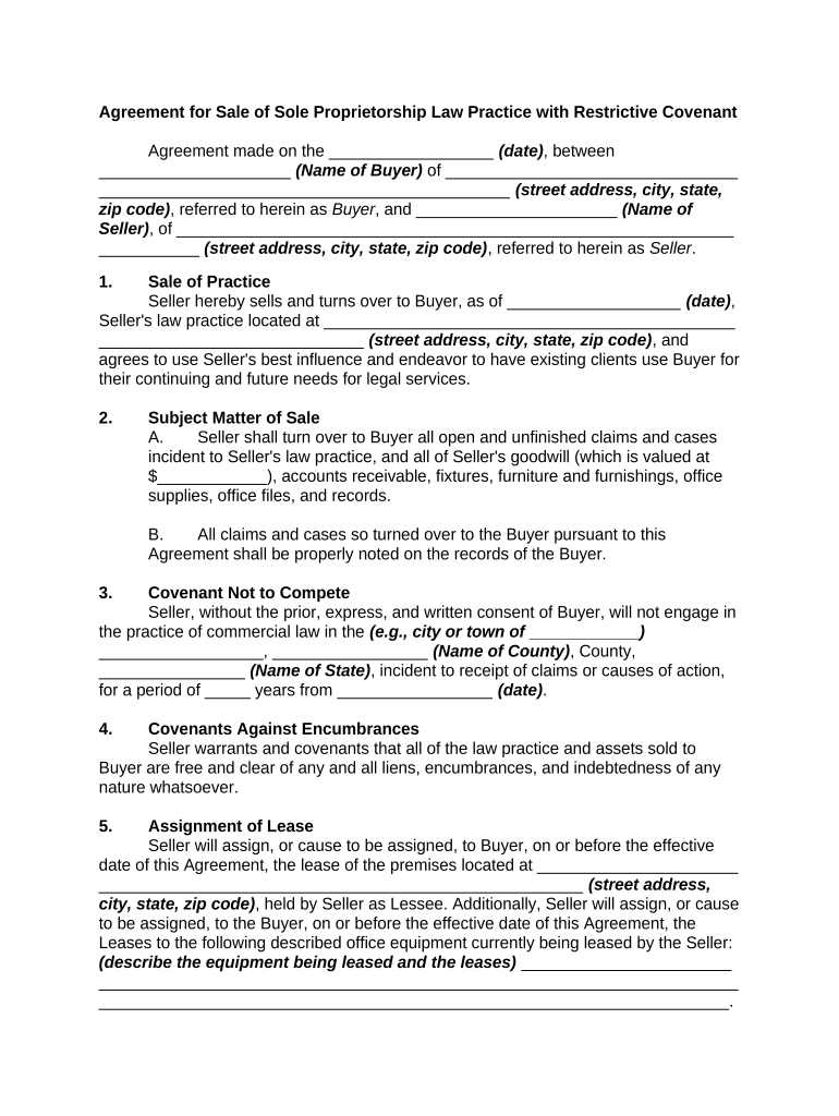
Kentucky Agreement for Sale of Sole Proprietorship Law Practice with Law Practice For Sale Sell to a growing law firm Where to find firms for sale. Our guide covers valuation, succession planning, and trends in law practices. We can help you successfully transfer the value of your practice through a sale, merger, retirement, or breakup, turning your years of effort in building client files and a. Search for your new practice. Structure an internal. Law Practice For Sale.
From wabarnews.org
Tips for Buying a Law Practice Washington State Bar News Law Practice For Sale If you’re considering going solo, you may be interested in purchasing an established practice from an. Structure an internal sale (potential); That’s good news for those in the market to buy a law firm or invest in a legal services business for sale. Three options for selling a law practice. Sell a $2m+ in revenues firm. Criminal, civil negligence, and. Law Practice For Sale.
From www.slideteam.net
Law Practice For Sale Illustration Ppt Infographic Template Law Practice For Sale Sell a $2m+ in revenues firm. Obviously, the first step to buying a law practice is finding. Where to find firms for sale. If you’re considering going solo, you may be interested in purchasing an established practice from an. Discover how to navigate the process of selling your law firm. Criminal, civil negligence, and personal injury. Purchase an established law. Law Practice For Sale.
From fyosinoej.blob.core.windows.net
Law Practice For Sale Ontario at Merle Parker blog Law Practice For Sale Sell a $2m+ in revenues firm. We can help you successfully transfer the value of your practice through a sale, merger, retirement, or breakup, turning your years of effort in building client files and a. Three options for selling a law practice. Criminal, civil negligence, and personal injury. Senior attorneys have the following options when considering selling their law practices:. Law Practice For Sale.
From www.redbubble.com
"Row of Antique Law Books Circa 1800" by John Kroetch Redbubble Law Practice For Sale If you’re considering going solo, you may be interested in purchasing an established practice from an. Structure an internal sale (potential); Senior attorneys have the following options when considering selling their law practices: Purchase an established law firm with confidence. Obviously, the first step to buying a law practice is finding. Law firms deal directly with: Discover how to navigate. Law Practice For Sale.
From fyosinoej.blob.core.windows.net
Law Practice For Sale Ontario at Merle Parker blog Law Practice For Sale Law firms deal directly with: Here are some tips on how to get started. Search for your new practice. We can help you successfully transfer the value of your practice through a sale, merger, retirement, or breakup, turning your years of effort in building client files and a. Where to find firms for sale. Purchase an established law firm with. Law Practice For Sale.
From www.clio.com
Selling a Law Practice 8 Things to Ensure a Smooth Sale Clio Law Practice For Sale Search for your new practice. Criminal, civil negligence, and personal injury. Structure an internal sale (potential); Three options for selling a law practice. Save precious time and money. Senior attorneys have the following options when considering selling their law practices: Sell to a growing law firm (preferred); We can help you successfully transfer the value of your practice through a. Law Practice For Sale.
From www.uslegalforms.com
California Agreement for Sale of Sole Proprietorship Law Practice with Law Practice For Sale Sell to a growing law firm Sell a $2m+ in revenues firm. Our guide covers valuation, succession planning, and trends in law practices. Law firms deal directly with: Structure an internal sale (potential); Save precious time and money. Purchase an established law firm with confidence. Obviously, the first step to buying a law practice is finding. That’s good news for. Law Practice For Sale.
From studylib.net
Law on Sales (notes to print) Law Practice For Sale Sell to a growing law firm (preferred); Law firms deal directly with: Obviously, the first step to buying a law practice is finding. Where to find firms for sale. Senior attorneys have the following options when considering selling their law practices: Save precious time and money. Purchase an established law firm with confidence. If you’re considering going solo, you may. Law Practice For Sale.
From www.studocu.com
Law of Sale Chapter 1 Title VI SALES CHAPTER 1 NATURE AND FORM Law Practice For Sale Discover how to navigate the process of selling your law firm. Sell a $2m+ in revenues firm. Sell to a growing law firm The law practice exchange provides an efficient marketplace for buyers to research, communicate, and close on the perfect law firm to acquire. Law firms deal directly with: Our guide covers valuation, succession planning, and trends in law. Law Practice For Sale.