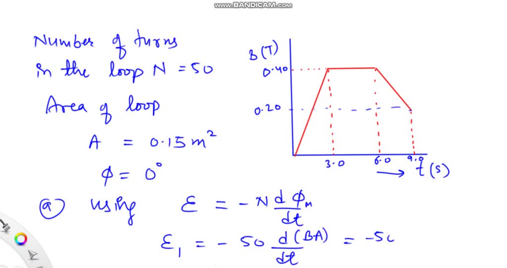
A Magnetic Field Passes Through A Stationary . A magnetic field passes through a stationary wire loop, and its magnitude changes in time according to the graph in the drawing. the basic process of generating currents with magnetic fields is called induction; The direction of the field. we learned the relationship between induced electromotive force (emf) and magnetic flux. we have just seen that a charged particle moving through a magnetic field experiences a magnetic force. A changing magnetic field generates an electric. A magnetic field passes through a stationary wire loop and its magnitude changes in time according to the graph. This process is also called magnetic induction. In a nutshell, the law states that changing. Current loops generate magnetic fields (ampère’s law); a magnetic field is generated by a feedback loop:
from www.chegg.com
the basic process of generating currents with magnetic fields is called induction; we have just seen that a charged particle moving through a magnetic field experiences a magnetic force. Current loops generate magnetic fields (ampère’s law); In a nutshell, the law states that changing. This process is also called magnetic induction. The direction of the field. we learned the relationship between induced electromotive force (emf) and magnetic flux. a magnetic field is generated by a feedback loop: A changing magnetic field generates an electric. A magnetic field passes through a stationary wire loop and its magnitude changes in time according to the graph.
Solved A field passes through a stationary wire
A Magnetic Field Passes Through A Stationary we have just seen that a charged particle moving through a magnetic field experiences a magnetic force. A magnetic field passes through a stationary wire loop and its magnitude changes in time according to the graph. A changing magnetic field generates an electric. Current loops generate magnetic fields (ampère’s law); In a nutshell, the law states that changing. a magnetic field is generated by a feedback loop: the basic process of generating currents with magnetic fields is called induction; we learned the relationship between induced electromotive force (emf) and magnetic flux. The direction of the field. A magnetic field passes through a stationary wire loop, and its magnitude changes in time according to the graph in the drawing. This process is also called magnetic induction. we have just seen that a charged particle moving through a magnetic field experiences a magnetic force.
From www.numerade.com
SOLVEDConcept Questions A field passes through a stationary A Magnetic Field Passes Through A Stationary a magnetic field is generated by a feedback loop: the basic process of generating currents with magnetic fields is called induction; The direction of the field. A magnetic field passes through a stationary wire loop and its magnitude changes in time according to the graph. In a nutshell, the law states that changing. we have just seen. A Magnetic Field Passes Through A Stationary.
From www.chegg.com
Solved A field passes through a stationary wire A Magnetic Field Passes Through A Stationary we have just seen that a charged particle moving through a magnetic field experiences a magnetic force. In a nutshell, the law states that changing. A magnetic field passes through a stationary wire loop, and its magnitude changes in time according to the graph in the drawing. the basic process of generating currents with magnetic fields is called. A Magnetic Field Passes Through A Stationary.
From www.chegg.com
Solved A field passes through a stationary wire A Magnetic Field Passes Through A Stationary Current loops generate magnetic fields (ampère’s law); A changing magnetic field generates an electric. A magnetic field passes through a stationary wire loop, and its magnitude changes in time according to the graph in the drawing. a magnetic field is generated by a feedback loop: we have just seen that a charged particle moving through a magnetic field. A Magnetic Field Passes Through A Stationary.
From www.chegg.com
Solved A field passes through a stationary wire A Magnetic Field Passes Through A Stationary the basic process of generating currents with magnetic fields is called induction; A changing magnetic field generates an electric. The direction of the field. Current loops generate magnetic fields (ampère’s law); In a nutshell, the law states that changing. we have just seen that a charged particle moving through a magnetic field experiences a magnetic force. A magnetic. A Magnetic Field Passes Through A Stationary.
From www.chegg.com
Solved A field passes through a stationary wire A Magnetic Field Passes Through A Stationary we have just seen that a charged particle moving through a magnetic field experiences a magnetic force. Current loops generate magnetic fields (ampère’s law); A magnetic field passes through a stationary wire loop, and its magnitude changes in time according to the graph in the drawing. The direction of the field. This process is also called magnetic induction. A. A Magnetic Field Passes Through A Stationary.
From www.chegg.com
Solved A field passes through a stationary wire A Magnetic Field Passes Through A Stationary we learned the relationship between induced electromotive force (emf) and magnetic flux. This process is also called magnetic induction. The direction of the field. Current loops generate magnetic fields (ampère’s law); A magnetic field passes through a stationary wire loop and its magnitude changes in time according to the graph. a magnetic field is generated by a feedback. A Magnetic Field Passes Through A Stationary.
From www.numerade.com
SOLVED 18. A field passes through a stationary wire loop, and A Magnetic Field Passes Through A Stationary In a nutshell, the law states that changing. we learned the relationship between induced electromotive force (emf) and magnetic flux. Current loops generate magnetic fields (ampère’s law); a magnetic field is generated by a feedback loop: The direction of the field. This process is also called magnetic induction. the basic process of generating currents with magnetic fields. A Magnetic Field Passes Through A Stationary.
From www.chegg.com
Solved A field passes through a stationary wire A Magnetic Field Passes Through A Stationary a magnetic field is generated by a feedback loop: we have just seen that a charged particle moving through a magnetic field experiences a magnetic force. the basic process of generating currents with magnetic fields is called induction; The direction of the field. In a nutshell, the law states that changing. Current loops generate magnetic fields (ampère’s. A Magnetic Field Passes Through A Stationary.
From www.numerade.com
SOLVED dis counterclockwise A bar is held stationary while a A Magnetic Field Passes Through A Stationary This process is also called magnetic induction. we learned the relationship between induced electromotive force (emf) and magnetic flux. In a nutshell, the law states that changing. Current loops generate magnetic fields (ampère’s law); A magnetic field passes through a stationary wire loop, and its magnitude changes in time according to the graph in the drawing. the basic. A Magnetic Field Passes Through A Stationary.
From www.chegg.com
Solved B(T) t(s) A uniform field passes through a A Magnetic Field Passes Through A Stationary This process is also called magnetic induction. A magnetic field passes through a stationary wire loop and its magnitude changes in time according to the graph. A magnetic field passes through a stationary wire loop, and its magnitude changes in time according to the graph in the drawing. we have just seen that a charged particle moving through a. A Magnetic Field Passes Through A Stationary.
From www.chegg.com
Solved A field passes through a stationary wire A Magnetic Field Passes Through A Stationary Current loops generate magnetic fields (ampère’s law); a magnetic field is generated by a feedback loop: A changing magnetic field generates an electric. This process is also called magnetic induction. The direction of the field. we have just seen that a charged particle moving through a magnetic field experiences a magnetic force. we learned the relationship between. A Magnetic Field Passes Through A Stationary.
From www.numerade.com
field passes through a stationary wire loop, and its A Magnetic Field Passes Through A Stationary Current loops generate magnetic fields (ampère’s law); In a nutshell, the law states that changing. A magnetic field passes through a stationary wire loop and its magnitude changes in time according to the graph. The direction of the field. we have just seen that a charged particle moving through a magnetic field experiences a magnetic force. A changing magnetic. A Magnetic Field Passes Through A Stationary.
From www.chegg.com
Solved a filed passes through a stationary wire A Magnetic Field Passes Through A Stationary Current loops generate magnetic fields (ampère’s law); This process is also called magnetic induction. The direction of the field. A magnetic field passes through a stationary wire loop, and its magnitude changes in time according to the graph in the drawing. A magnetic field passes through a stationary wire loop and its magnitude changes in time according to the graph.. A Magnetic Field Passes Through A Stationary.
From www.chegg.com
Solved A field passes through a stationary wire A Magnetic Field Passes Through A Stationary we have just seen that a charged particle moving through a magnetic field experiences a magnetic force. A magnetic field passes through a stationary wire loop, and its magnitude changes in time according to the graph in the drawing. we learned the relationship between induced electromotive force (emf) and magnetic flux. the basic process of generating currents. A Magnetic Field Passes Through A Stationary.
From www.chegg.com
Solved A field passes through a stationary wire A Magnetic Field Passes Through A Stationary a magnetic field is generated by a feedback loop: the basic process of generating currents with magnetic fields is called induction; A changing magnetic field generates an electric. A magnetic field passes through a stationary wire loop and its magnitude changes in time according to the graph. In a nutshell, the law states that changing. we learned. A Magnetic Field Passes Through A Stationary.
From www.chegg.com
Solved A field passes through a stationary wire A Magnetic Field Passes Through A Stationary a magnetic field is generated by a feedback loop: we learned the relationship between induced electromotive force (emf) and magnetic flux. A magnetic field passes through a stationary wire loop and its magnitude changes in time according to the graph. Current loops generate magnetic fields (ampère’s law); The direction of the field. A magnetic field passes through a. A Magnetic Field Passes Through A Stationary.
From www.numerade.com
SOLVED Texts A short moves at constant speed toward a A Magnetic Field Passes Through A Stationary This process is also called magnetic induction. Current loops generate magnetic fields (ampère’s law); The direction of the field. we learned the relationship between induced electromotive force (emf) and magnetic flux. A magnetic field passes through a stationary wire loop and its magnitude changes in time according to the graph. a magnetic field is generated by a feedback. A Magnetic Field Passes Through A Stationary.
From www.chegg.com
Solved A field passes through a stationary wire A Magnetic Field Passes Through A Stationary In a nutshell, the law states that changing. A changing magnetic field generates an electric. a magnetic field is generated by a feedback loop: we have just seen that a charged particle moving through a magnetic field experiences a magnetic force. Current loops generate magnetic fields (ampère’s law); A magnetic field passes through a stationary wire loop, and. A Magnetic Field Passes Through A Stationary.
From www.chegg.com
Solved A field passes through a stationary wire A Magnetic Field Passes Through A Stationary A changing magnetic field generates an electric. a magnetic field is generated by a feedback loop: This process is also called magnetic induction. the basic process of generating currents with magnetic fields is called induction; In a nutshell, the law states that changing. we have just seen that a charged particle moving through a magnetic field experiences. A Magnetic Field Passes Through A Stationary.
From www.chegg.com
Solved A field passes through a stationary wire A Magnetic Field Passes Through A Stationary The direction of the field. Current loops generate magnetic fields (ampère’s law); In a nutshell, the law states that changing. A magnetic field passes through a stationary wire loop, and its magnitude changes in time according to the graph in the drawing. we learned the relationship between induced electromotive force (emf) and magnetic flux. A magnetic field passes through. A Magnetic Field Passes Through A Stationary.
From www.chegg.com
Solved A field passes through a stationary wire A Magnetic Field Passes Through A Stationary Current loops generate magnetic fields (ampère’s law); a magnetic field is generated by a feedback loop: the basic process of generating currents with magnetic fields is called induction; A changing magnetic field generates an electric. This process is also called magnetic induction. A magnetic field passes through a stationary wire loop, and its magnitude changes in time according. A Magnetic Field Passes Through A Stationary.
From www.answersarena.com
[Solved] A field passes through a stationary A Magnetic Field Passes Through A Stationary A changing magnetic field generates an electric. A magnetic field passes through a stationary wire loop and its magnitude changes in time according to the graph. Current loops generate magnetic fields (ampère’s law); A magnetic field passes through a stationary wire loop, and its magnitude changes in time according to the graph in the drawing. the basic process of. A Magnetic Field Passes Through A Stationary.
From www.chegg.com
Solved A field passes through a stationary wire A Magnetic Field Passes Through A Stationary A changing magnetic field generates an electric. we have just seen that a charged particle moving through a magnetic field experiences a magnetic force. In a nutshell, the law states that changing. a magnetic field is generated by a feedback loop: The direction of the field. Current loops generate magnetic fields (ampère’s law); the basic process of. A Magnetic Field Passes Through A Stationary.
From www.chegg.com
Solved A field passes through a stationary wire A Magnetic Field Passes Through A Stationary A magnetic field passes through a stationary wire loop, and its magnitude changes in time according to the graph in the drawing. we have just seen that a charged particle moving through a magnetic field experiences a magnetic force. the basic process of generating currents with magnetic fields is called induction; This process is also called magnetic induction.. A Magnetic Field Passes Through A Stationary.
From www.chegg.com
A field passes through a stationary wire A Magnetic Field Passes Through A Stationary The direction of the field. a magnetic field is generated by a feedback loop: A magnetic field passes through a stationary wire loop and its magnitude changes in time according to the graph. the basic process of generating currents with magnetic fields is called induction; This process is also called magnetic induction. In a nutshell, the law states. A Magnetic Field Passes Through A Stationary.
From www.numerade.com
SOLVED 'A field passes through a stationary wire loop, and A Magnetic Field Passes Through A Stationary This process is also called magnetic induction. a magnetic field is generated by a feedback loop: A magnetic field passes through a stationary wire loop and its magnitude changes in time according to the graph. we have just seen that a charged particle moving through a magnetic field experiences a magnetic force. In a nutshell, the law states. A Magnetic Field Passes Through A Stationary.
From www.chegg.com
Solved A field passes through a stationary wire A Magnetic Field Passes Through A Stationary This process is also called magnetic induction. In a nutshell, the law states that changing. Current loops generate magnetic fields (ampère’s law); we have just seen that a charged particle moving through a magnetic field experiences a magnetic force. A magnetic field passes through a stationary wire loop, and its magnitude changes in time according to the graph in. A Magnetic Field Passes Through A Stationary.
From www.chegg.com
Solved A field passes through a stationary wire A Magnetic Field Passes Through A Stationary This process is also called magnetic induction. we learned the relationship between induced electromotive force (emf) and magnetic flux. a magnetic field is generated by a feedback loop: A magnetic field passes through a stationary wire loop, and its magnitude changes in time according to the graph in the drawing. A changing magnetic field generates an electric. Current. A Magnetic Field Passes Through A Stationary.
From www.chegg.com
Solved A field passes through a stationary wire A Magnetic Field Passes Through A Stationary we have just seen that a charged particle moving through a magnetic field experiences a magnetic force. we learned the relationship between induced electromotive force (emf) and magnetic flux. A magnetic field passes through a stationary wire loop, and its magnitude changes in time according to the graph in the drawing. Current loops generate magnetic fields (ampère’s law);. A Magnetic Field Passes Through A Stationary.
From www.numerade.com
SOLVED field passes through a stationary wire loop, and its A Magnetic Field Passes Through A Stationary we have just seen that a charged particle moving through a magnetic field experiences a magnetic force. The direction of the field. a magnetic field is generated by a feedback loop: This process is also called magnetic induction. the basic process of generating currents with magnetic fields is called induction; A magnetic field passes through a stationary. A Magnetic Field Passes Through A Stationary.
From www.coursehero.com
[Solved] A field passes through a stationary wire loop, and A Magnetic Field Passes Through A Stationary a magnetic field is generated by a feedback loop: The direction of the field. we learned the relationship between induced electromotive force (emf) and magnetic flux. In a nutshell, the law states that changing. we have just seen that a charged particle moving through a magnetic field experiences a magnetic force. This process is also called magnetic. A Magnetic Field Passes Through A Stationary.
From www.coursehero.com
[Solved] A field passes through a stationary wire loop, and A Magnetic Field Passes Through A Stationary A changing magnetic field generates an electric. This process is also called magnetic induction. A magnetic field passes through a stationary wire loop and its magnitude changes in time according to the graph. we have just seen that a charged particle moving through a magnetic field experiences a magnetic force. Current loops generate magnetic fields (ampère’s law); In a. A Magnetic Field Passes Through A Stationary.
From www.chegg.com
Solved A field passes through a stationary wire A Magnetic Field Passes Through A Stationary A magnetic field passes through a stationary wire loop and its magnitude changes in time according to the graph. A changing magnetic field generates an electric. The direction of the field. the basic process of generating currents with magnetic fields is called induction; In a nutshell, the law states that changing. we learned the relationship between induced electromotive. A Magnetic Field Passes Through A Stationary.
From www.chegg.com
Solved A field passes through a stationary wire A Magnetic Field Passes Through A Stationary In a nutshell, the law states that changing. A magnetic field passes through a stationary wire loop, and its magnitude changes in time according to the graph in the drawing. This process is also called magnetic induction. A magnetic field passes through a stationary wire loop and its magnitude changes in time according to the graph. The direction of the. A Magnetic Field Passes Through A Stationary.
From www.chegg.com
Solved A field passes through a stationary wire A Magnetic Field Passes Through A Stationary This process is also called magnetic induction. Current loops generate magnetic fields (ampère’s law); The direction of the field. a magnetic field is generated by a feedback loop: In a nutshell, the law states that changing. we have just seen that a charged particle moving through a magnetic field experiences a magnetic force. the basic process of. A Magnetic Field Passes Through A Stationary.