Sample Articles Of Incorporation Alabama . domestic limited partnership (lp) certificate of information. in 1850, legislation authorized the alabama secretary of state to file and certify articles of incorporation for road construction. articles of incorporation help an incorporation legally recognize their business entity. This guide provides instructions and tips when preparing and. This document can give liability protection to. the articles of incorporation alabama must be filed with the secretary of state in order to start a corporation. alabama articles of incorporation are filed to create a corporation. file the original and one copy of the domestic business corporation certificate of formation and the certificate of name. the alabama articles of incorporation form serves as a formal document required to legally establish a corporation within the. the purpose includes the transaction of any lawful business for which corporations may be incorporated in alabama under title.
from articlesofincorporation.org
the alabama articles of incorporation form serves as a formal document required to legally establish a corporation within the. This guide provides instructions and tips when preparing and. in 1850, legislation authorized the alabama secretary of state to file and certify articles of incorporation for road construction. alabama articles of incorporation are filed to create a corporation. domestic limited partnership (lp) certificate of information. articles of incorporation help an incorporation legally recognize their business entity. This document can give liability protection to. file the original and one copy of the domestic business corporation certificate of formation and the certificate of name. the articles of incorporation alabama must be filed with the secretary of state in order to start a corporation. the purpose includes the transaction of any lawful business for which corporations may be incorporated in alabama under title.
Free Alabama Articles Of Incorporation Templates AL Secretary Of State
Sample Articles Of Incorporation Alabama domestic limited partnership (lp) certificate of information. domestic limited partnership (lp) certificate of information. This document can give liability protection to. articles of incorporation help an incorporation legally recognize their business entity. in 1850, legislation authorized the alabama secretary of state to file and certify articles of incorporation for road construction. the articles of incorporation alabama must be filed with the secretary of state in order to start a corporation. alabama articles of incorporation are filed to create a corporation. the purpose includes the transaction of any lawful business for which corporations may be incorporated in alabama under title. the alabama articles of incorporation form serves as a formal document required to legally establish a corporation within the. file the original and one copy of the domestic business corporation certificate of formation and the certificate of name. This guide provides instructions and tips when preparing and.
From sampletemplatenet.blogspot.com
Articles Of Organization Alabama Template Sample Articles Of Incorporation Alabama the articles of incorporation alabama must be filed with the secretary of state in order to start a corporation. alabama articles of incorporation are filed to create a corporation. the purpose includes the transaction of any lawful business for which corporations may be incorporated in alabama under title. This guide provides instructions and tips when preparing and.. Sample Articles Of Incorporation Alabama.
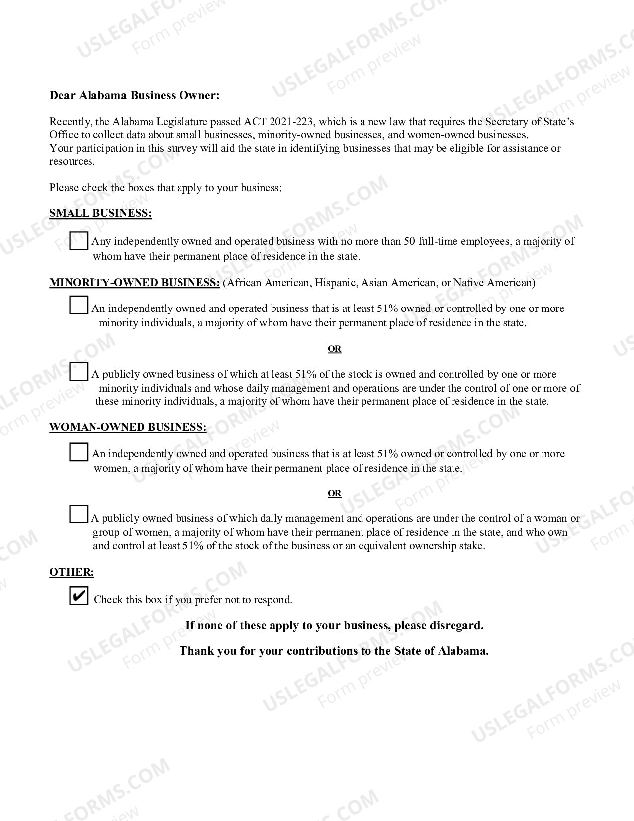
From www.uslegalforms.com
Sample Transmittal Letter to Secretary of State's Office to File Sample Articles Of Incorporation Alabama the articles of incorporation alabama must be filed with the secretary of state in order to start a corporation. domestic limited partnership (lp) certificate of information. file the original and one copy of the domestic business corporation certificate of formation and the certificate of name. This guide provides instructions and tips when preparing and. articles of. Sample Articles Of Incorporation Alabama.
From www.uslegalforms.com
Alabama Certificate of Incorporation For Church Alabama Certificate Sample Articles Of Incorporation Alabama This guide provides instructions and tips when preparing and. domestic limited partnership (lp) certificate of information. the purpose includes the transaction of any lawful business for which corporations may be incorporated in alabama under title. in 1850, legislation authorized the alabama secretary of state to file and certify articles of incorporation for road construction. This document can. Sample Articles Of Incorporation Alabama.
From templatelab.com
Articles of Incorporation 47 Templates for Any State ᐅ TemplateLab Sample Articles Of Incorporation Alabama the alabama articles of incorporation form serves as a formal document required to legally establish a corporation within the. This guide provides instructions and tips when preparing and. alabama articles of incorporation are filed to create a corporation. articles of incorporation help an incorporation legally recognize their business entity. the articles of incorporation alabama must be. Sample Articles Of Incorporation Alabama.
From articlesofincorporation.org
Free Alabama Articles Of Incorporation Templates AL Secretary Of State Sample Articles Of Incorporation Alabama This guide provides instructions and tips when preparing and. the articles of incorporation alabama must be filed with the secretary of state in order to start a corporation. This document can give liability protection to. alabama articles of incorporation are filed to create a corporation. the alabama articles of incorporation form serves as a formal document required. Sample Articles Of Incorporation Alabama.
From templatelab.com
Articles of Incorporation 47 Templates for Any State ᐅ TemplateLab Sample Articles Of Incorporation Alabama file the original and one copy of the domestic business corporation certificate of formation and the certificate of name. in 1850, legislation authorized the alabama secretary of state to file and certify articles of incorporation for road construction. the articles of incorporation alabama must be filed with the secretary of state in order to start a corporation.. Sample Articles Of Incorporation Alabama.
From llcbible.com
Alabama Articles of Incorporation LLC Bible Sample Articles Of Incorporation Alabama the articles of incorporation alabama must be filed with the secretary of state in order to start a corporation. This document can give liability protection to. the purpose includes the transaction of any lawful business for which corporations may be incorporated in alabama under title. alabama articles of incorporation are filed to create a corporation. in. Sample Articles Of Incorporation Alabama.
From www.templateroller.com
Alabama Domestic Business Corporation Amendment to Certificate/Articles Sample Articles Of Incorporation Alabama the purpose includes the transaction of any lawful business for which corporations may be incorporated in alabama under title. articles of incorporation help an incorporation legally recognize their business entity. the alabama articles of incorporation form serves as a formal document required to legally establish a corporation within the. the articles of incorporation alabama must be. Sample Articles Of Incorporation Alabama.
From www.northwestregisteredagent.com
How to file an Alabama LLC amendment with the Secretary of State Sample Articles Of Incorporation Alabama alabama articles of incorporation are filed to create a corporation. in 1850, legislation authorized the alabama secretary of state to file and certify articles of incorporation for road construction. file the original and one copy of the domestic business corporation certificate of formation and the certificate of name. the purpose includes the transaction of any lawful. Sample Articles Of Incorporation Alabama.
From articlesofincorporation.org
Free Alabama Articles Of Incorporation Templates AL Secretary Of State Sample Articles Of Incorporation Alabama domestic limited partnership (lp) certificate of information. the purpose includes the transaction of any lawful business for which corporations may be incorporated in alabama under title. alabama articles of incorporation are filed to create a corporation. articles of incorporation help an incorporation legally recognize their business entity. the articles of incorporation alabama must be filed. Sample Articles Of Incorporation Alabama.
From www.scribd.com
Alabama Articles of Incorporation Sample Articles Of Incorporation Alabama This document can give liability protection to. in 1850, legislation authorized the alabama secretary of state to file and certify articles of incorporation for road construction. This guide provides instructions and tips when preparing and. the articles of incorporation alabama must be filed with the secretary of state in order to start a corporation. file the original. Sample Articles Of Incorporation Alabama.
From www.uslegalforms.com
Alabama Articles of Incorporation US Legal Forms Sample Articles Of Incorporation Alabama This document can give liability protection to. the purpose includes the transaction of any lawful business for which corporations may be incorporated in alabama under title. in 1850, legislation authorized the alabama secretary of state to file and certify articles of incorporation for road construction. alabama articles of incorporation are filed to create a corporation. the. Sample Articles Of Incorporation Alabama.
From www.uslegalforms.com
Alabama Articles of Incorporation US Legal Forms Sample Articles Of Incorporation Alabama This document can give liability protection to. the articles of incorporation alabama must be filed with the secretary of state in order to start a corporation. domestic limited partnership (lp) certificate of information. the purpose includes the transaction of any lawful business for which corporations may be incorporated in alabama under title. in 1850, legislation authorized. Sample Articles Of Incorporation Alabama.
From www.signnow.com
For Profit Articles Form Fill Out and Sign Printable PDF Template Sample Articles Of Incorporation Alabama alabama articles of incorporation are filed to create a corporation. in 1850, legislation authorized the alabama secretary of state to file and certify articles of incorporation for road construction. domestic limited partnership (lp) certificate of information. the alabama articles of incorporation form serves as a formal document required to legally establish a corporation within the. This. Sample Articles Of Incorporation Alabama.
From templatelab.com
Articles of Incorporation 47 Templates for Any State ᐅ TemplateLab Sample Articles Of Incorporation Alabama domestic limited partnership (lp) certificate of information. the articles of incorporation alabama must be filed with the secretary of state in order to start a corporation. alabama articles of incorporation are filed to create a corporation. articles of incorporation help an incorporation legally recognize their business entity. the alabama articles of incorporation form serves as. Sample Articles Of Incorporation Alabama.
From templatelab.com
Articles of Incorporation 47 Templates for Any State ᐅ TemplateLab Sample Articles Of Incorporation Alabama file the original and one copy of the domestic business corporation certificate of formation and the certificate of name. the alabama articles of incorporation form serves as a formal document required to legally establish a corporation within the. alabama articles of incorporation are filed to create a corporation. in 1850, legislation authorized the alabama secretary of. Sample Articles Of Incorporation Alabama.
From articlesofincorporation.org
Free Alabama Articles Of Incorporation Templates AL Secretary Of State Sample Articles Of Incorporation Alabama articles of incorporation help an incorporation legally recognize their business entity. file the original and one copy of the domestic business corporation certificate of formation and the certificate of name. This document can give liability protection to. domestic limited partnership (lp) certificate of information. in 1850, legislation authorized the alabama secretary of state to file and. Sample Articles Of Incorporation Alabama.
From www.pinterest.com
Alabama Articles of Incorporation in 2022 Certified copy, Articles Sample Articles Of Incorporation Alabama alabama articles of incorporation are filed to create a corporation. domestic limited partnership (lp) certificate of information. the alabama articles of incorporation form serves as a formal document required to legally establish a corporation within the. in 1850, legislation authorized the alabama secretary of state to file and certify articles of incorporation for road construction. This. Sample Articles Of Incorporation Alabama.
From www.uslegalforms.com
Alabama Articles of Incorporation US Legal Forms Sample Articles Of Incorporation Alabama in 1850, legislation authorized the alabama secretary of state to file and certify articles of incorporation for road construction. the articles of incorporation alabama must be filed with the secretary of state in order to start a corporation. the alabama articles of incorporation form serves as a formal document required to legally establish a corporation within the.. Sample Articles Of Incorporation Alabama.
From www.uslegalforms.com
Alabama Articles of Organization for Domestic Limited Liability Company Sample Articles Of Incorporation Alabama in 1850, legislation authorized the alabama secretary of state to file and certify articles of incorporation for road construction. the articles of incorporation alabama must be filed with the secretary of state in order to start a corporation. the alabama articles of incorporation form serves as a formal document required to legally establish a corporation within the.. Sample Articles Of Incorporation Alabama.
From articlesofincorporation.org
Free Alabama Domestic Profit Articles of Incorporation Template Sample Articles Of Incorporation Alabama articles of incorporation help an incorporation legally recognize their business entity. the purpose includes the transaction of any lawful business for which corporations may be incorporated in alabama under title. This document can give liability protection to. domestic limited partnership (lp) certificate of information. in 1850, legislation authorized the alabama secretary of state to file and. Sample Articles Of Incorporation Alabama.
From www.typecalendar.com
Free Printable Articles Of Incorporation Templates [PDF, Word] Non Profit Sample Articles Of Incorporation Alabama the purpose includes the transaction of any lawful business for which corporations may be incorporated in alabama under title. the alabama articles of incorporation form serves as a formal document required to legally establish a corporation within the. articles of incorporation help an incorporation legally recognize their business entity. This document can give liability protection to. . Sample Articles Of Incorporation Alabama.
From old.sermitsiaq.ag
Articles Of Incorporation Alabama Template Sample Articles Of Incorporation Alabama in 1850, legislation authorized the alabama secretary of state to file and certify articles of incorporation for road construction. This guide provides instructions and tips when preparing and. the alabama articles of incorporation form serves as a formal document required to legally establish a corporation within the. domestic limited partnership (lp) certificate of information. the purpose. Sample Articles Of Incorporation Alabama.
From www.signnow.com
Sample Transmittal Letter for Articles of Incorporation Alabama Form Sample Articles Of Incorporation Alabama file the original and one copy of the domestic business corporation certificate of formation and the certificate of name. This document can give liability protection to. in 1850, legislation authorized the alabama secretary of state to file and certify articles of incorporation for road construction. the purpose includes the transaction of any lawful business for which corporations. Sample Articles Of Incorporation Alabama.
From articlesofincorporation.org
Free Alabama Domestic Profit Articles of Incorporation Template Sample Articles Of Incorporation Alabama domestic limited partnership (lp) certificate of information. alabama articles of incorporation are filed to create a corporation. in 1850, legislation authorized the alabama secretary of state to file and certify articles of incorporation for road construction. file the original and one copy of the domestic business corporation certificate of formation and the certificate of name. This. Sample Articles Of Incorporation Alabama.
From articlesofincorporation.org
Free Alabama Domestic Profit Articles of Incorporation Template Sample Articles Of Incorporation Alabama alabama articles of incorporation are filed to create a corporation. the purpose includes the transaction of any lawful business for which corporations may be incorporated in alabama under title. domestic limited partnership (lp) certificate of information. file the original and one copy of the domestic business corporation certificate of formation and the certificate of name. This. Sample Articles Of Incorporation Alabama.
From www.template.net
Alabama Articles Of Incorporation Template in Word, Google Docs Sample Articles Of Incorporation Alabama the alabama articles of incorporation form serves as a formal document required to legally establish a corporation within the. in 1850, legislation authorized the alabama secretary of state to file and certify articles of incorporation for road construction. This document can give liability protection to. articles of incorporation help an incorporation legally recognize their business entity. . Sample Articles Of Incorporation Alabama.
From articlesofincorporation.org
Free Alabama Articles Of Incorporation Templates AL Secretary Of State Sample Articles Of Incorporation Alabama in 1850, legislation authorized the alabama secretary of state to file and certify articles of incorporation for road construction. the alabama articles of incorporation form serves as a formal document required to legally establish a corporation within the. the purpose includes the transaction of any lawful business for which corporations may be incorporated in alabama under title.. Sample Articles Of Incorporation Alabama.
From articlesofincorporation.org
Free Alabama Domestic Profit Articles of Incorporation Template Sample Articles Of Incorporation Alabama This guide provides instructions and tips when preparing and. the articles of incorporation alabama must be filed with the secretary of state in order to start a corporation. in 1850, legislation authorized the alabama secretary of state to file and certify articles of incorporation for road construction. file the original and one copy of the domestic business. Sample Articles Of Incorporation Alabama.
From www.uslegalforms.com
Alabama Articles of Incorporation for Domestic For Articles Of Sample Articles Of Incorporation Alabama the articles of incorporation alabama must be filed with the secretary of state in order to start a corporation. in 1850, legislation authorized the alabama secretary of state to file and certify articles of incorporation for road construction. This document can give liability protection to. articles of incorporation help an incorporation legally recognize their business entity. This. Sample Articles Of Incorporation Alabama.
From www.uslegalforms.com
Articles Of Incorporation Alabama Template Form US Legal Forms Sample Articles Of Incorporation Alabama the purpose includes the transaction of any lawful business for which corporations may be incorporated in alabama under title. alabama articles of incorporation are filed to create a corporation. articles of incorporation help an incorporation legally recognize their business entity. in 1850, legislation authorized the alabama secretary of state to file and certify articles of incorporation. Sample Articles Of Incorporation Alabama.
From old.sermitsiaq.ag
Articles Of Incorporation Alabama Template Sample Articles Of Incorporation Alabama articles of incorporation help an incorporation legally recognize their business entity. alabama articles of incorporation are filed to create a corporation. file the original and one copy of the domestic business corporation certificate of formation and the certificate of name. This guide provides instructions and tips when preparing and. the purpose includes the transaction of any. Sample Articles Of Incorporation Alabama.
From articlesofincorporation.org
Free Alabama Articles Of Incorporation Templates AL Secretary Of State Sample Articles Of Incorporation Alabama the articles of incorporation alabama must be filed with the secretary of state in order to start a corporation. alabama articles of incorporation are filed to create a corporation. the purpose includes the transaction of any lawful business for which corporations may be incorporated in alabama under title. This document can give liability protection to. This guide. Sample Articles Of Incorporation Alabama.
From templatelab.com
Articles of Incorporation 47 Templates for Any State ᐅ TemplateLab Sample Articles Of Incorporation Alabama domestic limited partnership (lp) certificate of information. This document can give liability protection to. alabama articles of incorporation are filed to create a corporation. the alabama articles of incorporation form serves as a formal document required to legally establish a corporation within the. This guide provides instructions and tips when preparing and. articles of incorporation help. Sample Articles Of Incorporation Alabama.
From www.uslegalforms.com
Alabama Articles of Incorporation for Professional Corporation Sample Articles Of Incorporation Alabama domestic limited partnership (lp) certificate of information. alabama articles of incorporation are filed to create a corporation. the articles of incorporation alabama must be filed with the secretary of state in order to start a corporation. the purpose includes the transaction of any lawful business for which corporations may be incorporated in alabama under title. . Sample Articles Of Incorporation Alabama.