How Does Antifreeze Affect The Boiling Point In A Car's Radiator . The boiling point of water is 212 f, and normal engine operating temperatures can get up to 250 f. Learn the difference between antifreeze and coolant, and how to choose the right type for your vehicle. Engine coolant, also known as antifreeze, is a liquid that lowers the freezing and boiling points of water and protects the engine from corrosion. Besides, this mixture of antifreeze and water circulates through the engine to regulate temperature, preventing freezing in winter and overheating in summer. The boiling point of antifreeze is between 225 and 300 degrees. As the proportion of antifreeze (ethylene glycol or propylene glycol). The primary purpose of antifreeze is to reduce the freezing point of the coolant, preventing it from solidifying in cold temperatures. How does antifreeze concentration affect coolant boiling point? Learn about the different types of coolant, how to check and replace it, and why it is essential for your car's performance. It doesn’t only help prevent overheating, it also reduces. Engine coolant raises the boiling point while lowering the freezing point.
from fourwheeltrends.com
Learn the difference between antifreeze and coolant, and how to choose the right type for your vehicle. As the proportion of antifreeze (ethylene glycol or propylene glycol). The boiling point of antifreeze is between 225 and 300 degrees. Engine coolant, also known as antifreeze, is a liquid that lowers the freezing and boiling points of water and protects the engine from corrosion. Learn about the different types of coolant, how to check and replace it, and why it is essential for your car's performance. It doesn’t only help prevent overheating, it also reduces. The primary purpose of antifreeze is to reduce the freezing point of the coolant, preventing it from solidifying in cold temperatures. The boiling point of water is 212 f, and normal engine operating temperatures can get up to 250 f. Besides, this mixture of antifreeze and water circulates through the engine to regulate temperature, preventing freezing in winter and overheating in summer. Engine coolant raises the boiling point while lowering the freezing point.
How Many Gallons Of Antifreeze Does A Car Radiator Hold? Four Wheel
How Does Antifreeze Affect The Boiling Point In A Car's Radiator The primary purpose of antifreeze is to reduce the freezing point of the coolant, preventing it from solidifying in cold temperatures. The primary purpose of antifreeze is to reduce the freezing point of the coolant, preventing it from solidifying in cold temperatures. Engine coolant, also known as antifreeze, is a liquid that lowers the freezing and boiling points of water and protects the engine from corrosion. The boiling point of water is 212 f, and normal engine operating temperatures can get up to 250 f. The boiling point of antifreeze is between 225 and 300 degrees. Besides, this mixture of antifreeze and water circulates through the engine to regulate temperature, preventing freezing in winter and overheating in summer. Learn the difference between antifreeze and coolant, and how to choose the right type for your vehicle. Engine coolant raises the boiling point while lowering the freezing point. As the proportion of antifreeze (ethylene glycol or propylene glycol). How does antifreeze concentration affect coolant boiling point? It doesn’t only help prevent overheating, it also reduces. Learn about the different types of coolant, how to check and replace it, and why it is essential for your car's performance.
From vehq.com
Where Does Antifreeze/Coolant Go In Your Car? How Does Antifreeze Affect The Boiling Point In A Car's Radiator The boiling point of water is 212 f, and normal engine operating temperatures can get up to 250 f. Engine coolant raises the boiling point while lowering the freezing point. Learn the difference between antifreeze and coolant, and how to choose the right type for your vehicle. Engine coolant, also known as antifreeze, is a liquid that lowers the freezing. How Does Antifreeze Affect The Boiling Point In A Car's Radiator.
From vehq.com
How Do You Check Antifreeze/Coolant Level? How Does Antifreeze Affect The Boiling Point In A Car's Radiator Besides, this mixture of antifreeze and water circulates through the engine to regulate temperature, preventing freezing in winter and overheating in summer. Learn the difference between antifreeze and coolant, and how to choose the right type for your vehicle. The boiling point of antifreeze is between 225 and 300 degrees. How does antifreeze concentration affect coolant boiling point? The boiling. How Does Antifreeze Affect The Boiling Point In A Car's Radiator.
From ranwhenparked.net
Boiling Point for Antifreeze Understanding the Science Ran When How Does Antifreeze Affect The Boiling Point In A Car's Radiator As the proportion of antifreeze (ethylene glycol or propylene glycol). Learn about the different types of coolant, how to check and replace it, and why it is essential for your car's performance. The primary purpose of antifreeze is to reduce the freezing point of the coolant, preventing it from solidifying in cold temperatures. How does antifreeze concentration affect coolant boiling. How Does Antifreeze Affect The Boiling Point In A Car's Radiator.
From www.startrescue.co.uk
Where do you put antifreeze in your car startrescue.co.uk How Does Antifreeze Affect The Boiling Point In A Car's Radiator Learn the difference between antifreeze and coolant, and how to choose the right type for your vehicle. Engine coolant raises the boiling point while lowering the freezing point. The boiling point of antifreeze is between 225 and 300 degrees. The primary purpose of antifreeze is to reduce the freezing point of the coolant, preventing it from solidifying in cold temperatures.. How Does Antifreeze Affect The Boiling Point In A Car's Radiator.
From rerev.com
Where does antifreeze go? — explained REREV How Does Antifreeze Affect The Boiling Point In A Car's Radiator Engine coolant raises the boiling point while lowering the freezing point. It doesn’t only help prevent overheating, it also reduces. The primary purpose of antifreeze is to reduce the freezing point of the coolant, preventing it from solidifying in cold temperatures. Engine coolant, also known as antifreeze, is a liquid that lowers the freezing and boiling points of water and. How Does Antifreeze Affect The Boiling Point In A Car's Radiator.
From www.numerade.com
SOLVED Why is antifreeze is added to a car radiator? The engine needs How Does Antifreeze Affect The Boiling Point In A Car's Radiator How does antifreeze concentration affect coolant boiling point? As the proportion of antifreeze (ethylene glycol or propylene glycol). The primary purpose of antifreeze is to reduce the freezing point of the coolant, preventing it from solidifying in cold temperatures. Engine coolant, also known as antifreeze, is a liquid that lowers the freezing and boiling points of water and protects the. How Does Antifreeze Affect The Boiling Point In A Car's Radiator.
From goodcar.com
What Is Antifreeze and Why Does Your Car Need It? How Does Antifreeze Affect The Boiling Point In A Car's Radiator As the proportion of antifreeze (ethylene glycol or propylene glycol). The boiling point of water is 212 f, and normal engine operating temperatures can get up to 250 f. Learn the difference between antifreeze and coolant, and how to choose the right type for your vehicle. How does antifreeze concentration affect coolant boiling point? The boiling point of antifreeze is. How Does Antifreeze Affect The Boiling Point In A Car's Radiator.
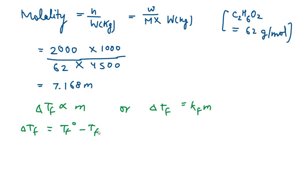
From www.numerade.com
SOLVED Add 2.00 kg of ethylene glycol antifreeze to 4500 g of water in How Does Antifreeze Affect The Boiling Point In A Car's Radiator Engine coolant raises the boiling point while lowering the freezing point. The boiling point of water is 212 f, and normal engine operating temperatures can get up to 250 f. Learn the difference between antifreeze and coolant, and how to choose the right type for your vehicle. Besides, this mixture of antifreeze and water circulates through the engine to regulate. How Does Antifreeze Affect The Boiling Point In A Car's Radiator.
From autowise.com
9 Best Antifreeze and Coolant Car Products Autowise How Does Antifreeze Affect The Boiling Point In A Car's Radiator Learn the difference between antifreeze and coolant, and how to choose the right type for your vehicle. How does antifreeze concentration affect coolant boiling point? Engine coolant raises the boiling point while lowering the freezing point. As the proportion of antifreeze (ethylene glycol or propylene glycol). The boiling point of water is 212 f, and normal engine operating temperatures can. How Does Antifreeze Affect The Boiling Point In A Car's Radiator.
From bestcarsessex.com
Does Antifreeze Raise Boiling Point of Water? (Explained) How Does Antifreeze Affect The Boiling Point In A Car's Radiator Engine coolant, also known as antifreeze, is a liquid that lowers the freezing and boiling points of water and protects the engine from corrosion. As the proportion of antifreeze (ethylene glycol or propylene glycol). The primary purpose of antifreeze is to reduce the freezing point of the coolant, preventing it from solidifying in cold temperatures. The boiling point of antifreeze. How Does Antifreeze Affect The Boiling Point In A Car's Radiator.
From www.bobshop.co.za
Paints & Finishing DUOYI DY23F Brake Fluid Boiling Point Tester How Does Antifreeze Affect The Boiling Point In A Car's Radiator Learn the difference between antifreeze and coolant, and how to choose the right type for your vehicle. It doesn’t only help prevent overheating, it also reduces. The primary purpose of antifreeze is to reduce the freezing point of the coolant, preventing it from solidifying in cold temperatures. Engine coolant, also known as antifreeze, is a liquid that lowers the freezing. How Does Antifreeze Affect The Boiling Point In A Car's Radiator.
From johnbwickers.blob.core.windows.net
Antifreeze Water Boiling Point at johnbwickers blog How Does Antifreeze Affect The Boiling Point In A Car's Radiator Learn about the different types of coolant, how to check and replace it, and why it is essential for your car's performance. Engine coolant raises the boiling point while lowering the freezing point. The boiling point of antifreeze is between 225 and 300 degrees. As the proportion of antifreeze (ethylene glycol or propylene glycol). It doesn’t only help prevent overheating,. How Does Antifreeze Affect The Boiling Point In A Car's Radiator.
From www.kseal.com
What is the Difference Between Coolant and Antifreeze? KSeal® How Does Antifreeze Affect The Boiling Point In A Car's Radiator The primary purpose of antifreeze is to reduce the freezing point of the coolant, preventing it from solidifying in cold temperatures. The boiling point of antifreeze is between 225 and 300 degrees. Engine coolant raises the boiling point while lowering the freezing point. Learn about the different types of coolant, how to check and replace it, and why it is. How Does Antifreeze Affect The Boiling Point In A Car's Radiator.
From www.howacarworks.com
Checking and topping up car antifreeze coolant How a Car Works How Does Antifreeze Affect The Boiling Point In A Car's Radiator Besides, this mixture of antifreeze and water circulates through the engine to regulate temperature, preventing freezing in winter and overheating in summer. The boiling point of antifreeze is between 225 and 300 degrees. The primary purpose of antifreeze is to reduce the freezing point of the coolant, preventing it from solidifying in cold temperatures. Engine coolant, also known as antifreeze,. How Does Antifreeze Affect The Boiling Point In A Car's Radiator.
From www.twelfthroundauto.com
How does antifreeze work Twelfth Round Auto How Does Antifreeze Affect The Boiling Point In A Car's Radiator Engine coolant raises the boiling point while lowering the freezing point. The boiling point of antifreeze is between 225 and 300 degrees. It doesn’t only help prevent overheating, it also reduces. Learn about the different types of coolant, how to check and replace it, and why it is essential for your car's performance. How does antifreeze concentration affect coolant boiling. How Does Antifreeze Affect The Boiling Point In A Car's Radiator.
From www.cashcarsbuyer.com
How Much Antifreeze Does A Car Need ️ What You Need To Know How Does Antifreeze Affect The Boiling Point In A Car's Radiator Learn about the different types of coolant, how to check and replace it, and why it is essential for your car's performance. Engine coolant, also known as antifreeze, is a liquid that lowers the freezing and boiling points of water and protects the engine from corrosion. Engine coolant raises the boiling point while lowering the freezing point. The primary purpose. How Does Antifreeze Affect The Boiling Point In A Car's Radiator.
From vehq.com
Where Does Antifreeze/Coolant Go In Your Car? How Does Antifreeze Affect The Boiling Point In A Car's Radiator Engine coolant, also known as antifreeze, is a liquid that lowers the freezing and boiling points of water and protects the engine from corrosion. Learn about the different types of coolant, how to check and replace it, and why it is essential for your car's performance. How does antifreeze concentration affect coolant boiling point? It doesn’t only help prevent overheating,. How Does Antifreeze Affect The Boiling Point In A Car's Radiator.
From www.slideserve.com
PPT Boiling Points Distillations PowerPoint Presentation, free How Does Antifreeze Affect The Boiling Point In A Car's Radiator It doesn’t only help prevent overheating, it also reduces. Engine coolant raises the boiling point while lowering the freezing point. Engine coolant, also known as antifreeze, is a liquid that lowers the freezing and boiling points of water and protects the engine from corrosion. The boiling point of antifreeze is between 225 and 300 degrees. Learn the difference between antifreeze. How Does Antifreeze Affect The Boiling Point In A Car's Radiator.
From vehiclefreak.com
What Is The Boiling Point Of Coolant And Antifreeze? How Does Antifreeze Affect The Boiling Point In A Car's Radiator Engine coolant, also known as antifreeze, is a liquid that lowers the freezing and boiling points of water and protects the engine from corrosion. Learn the difference between antifreeze and coolant, and how to choose the right type for your vehicle. The boiling point of water is 212 f, and normal engine operating temperatures can get up to 250 f.. How Does Antifreeze Affect The Boiling Point In A Car's Radiator.
From ranwhenparked.net
Does Antifreeze Expire? Effects of Using Bad Antifreeze Ran When How Does Antifreeze Affect The Boiling Point In A Car's Radiator Learn the difference between antifreeze and coolant, and how to choose the right type for your vehicle. As the proportion of antifreeze (ethylene glycol or propylene glycol). The boiling point of antifreeze is between 225 and 300 degrees. Learn about the different types of coolant, how to check and replace it, and why it is essential for your car's performance.. How Does Antifreeze Affect The Boiling Point In A Car's Radiator.
From beezzly.com
At What Temperature Does Antifreeze Freeze? Beezzly How Does Antifreeze Affect The Boiling Point In A Car's Radiator Besides, this mixture of antifreeze and water circulates through the engine to regulate temperature, preventing freezing in winter and overheating in summer. The primary purpose of antifreeze is to reduce the freezing point of the coolant, preventing it from solidifying in cold temperatures. The boiling point of antifreeze is between 225 and 300 degrees. As the proportion of antifreeze (ethylene. How Does Antifreeze Affect The Boiling Point In A Car's Radiator.
From ranwhenparked.net
Boiling Point for Antifreeze Understanding the Science Ran When How Does Antifreeze Affect The Boiling Point In A Car's Radiator The primary purpose of antifreeze is to reduce the freezing point of the coolant, preventing it from solidifying in cold temperatures. As the proportion of antifreeze (ethylene glycol or propylene glycol). Engine coolant raises the boiling point while lowering the freezing point. The boiling point of antifreeze is between 225 and 300 degrees. Engine coolant, also known as antifreeze, is. How Does Antifreeze Affect The Boiling Point In A Car's Radiator.
From www.youtube.com
How to Test Condition of Antifreeze Freezing & Boiling Points YouTube How Does Antifreeze Affect The Boiling Point In A Car's Radiator It doesn’t only help prevent overheating, it also reduces. Engine coolant raises the boiling point while lowering the freezing point. Learn about the different types of coolant, how to check and replace it, and why it is essential for your car's performance. The boiling point of antifreeze is between 225 and 300 degrees. How does antifreeze concentration affect coolant boiling. How Does Antifreeze Affect The Boiling Point In A Car's Radiator.
From vehq.com
What is Antifreeze Used for in Cars? How Does Antifreeze Affect The Boiling Point In A Car's Radiator Engine coolant raises the boiling point while lowering the freezing point. Learn about the different types of coolant, how to check and replace it, and why it is essential for your car's performance. How does antifreeze concentration affect coolant boiling point? The primary purpose of antifreeze is to reduce the freezing point of the coolant, preventing it from solidifying in. How Does Antifreeze Affect The Boiling Point In A Car's Radiator.
From carretro.blogspot.com
How Often Should You Change The Antifreeze In Your Car Car Retro How Does Antifreeze Affect The Boiling Point In A Car's Radiator Besides, this mixture of antifreeze and water circulates through the engine to regulate temperature, preventing freezing in winter and overheating in summer. How does antifreeze concentration affect coolant boiling point? As the proportion of antifreeze (ethylene glycol or propylene glycol). Engine coolant raises the boiling point while lowering the freezing point. Engine coolant, also known as antifreeze, is a liquid. How Does Antifreeze Affect The Boiling Point In A Car's Radiator.
From fourwheeltrends.com
How Many Gallons Of Antifreeze Does A Car Radiator Hold? Four Wheel How Does Antifreeze Affect The Boiling Point In A Car's Radiator Besides, this mixture of antifreeze and water circulates through the engine to regulate temperature, preventing freezing in winter and overheating in summer. Engine coolant, also known as antifreeze, is a liquid that lowers the freezing and boiling points of water and protects the engine from corrosion. As the proportion of antifreeze (ethylene glycol or propylene glycol). The boiling point of. How Does Antifreeze Affect The Boiling Point In A Car's Radiator.
From ranwhenparked.net
Boiling Point for Antifreeze Understanding the Science Ran When How Does Antifreeze Affect The Boiling Point In A Car's Radiator The boiling point of water is 212 f, and normal engine operating temperatures can get up to 250 f. Engine coolant, also known as antifreeze, is a liquid that lowers the freezing and boiling points of water and protects the engine from corrosion. Besides, this mixture of antifreeze and water circulates through the engine to regulate temperature, preventing freezing in. How Does Antifreeze Affect The Boiling Point In A Car's Radiator.
From ranwhenparked.net
Boiling Point for Antifreeze Understanding the Science Ran When How Does Antifreeze Affect The Boiling Point In A Car's Radiator Learn about the different types of coolant, how to check and replace it, and why it is essential for your car's performance. Besides, this mixture of antifreeze and water circulates through the engine to regulate temperature, preventing freezing in winter and overheating in summer. The boiling point of water is 212 f, and normal engine operating temperatures can get up. How Does Antifreeze Affect The Boiling Point In A Car's Radiator.
From www.youtube.com
How To Use A Refractometer Test Freezing Point Of Engine Coolant How Does Antifreeze Affect The Boiling Point In A Car's Radiator The primary purpose of antifreeze is to reduce the freezing point of the coolant, preventing it from solidifying in cold temperatures. The boiling point of antifreeze is between 225 and 300 degrees. How does antifreeze concentration affect coolant boiling point? Besides, this mixture of antifreeze and water circulates through the engine to regulate temperature, preventing freezing in winter and overheating. How Does Antifreeze Affect The Boiling Point In A Car's Radiator.
From www.scottrobinsonhonda.com
Antifreeze & Coolant Everything You Need To Know! Scott Robinson Honda How Does Antifreeze Affect The Boiling Point In A Car's Radiator Besides, this mixture of antifreeze and water circulates through the engine to regulate temperature, preventing freezing in winter and overheating in summer. It doesn’t only help prevent overheating, it also reduces. Engine coolant, also known as antifreeze, is a liquid that lowers the freezing and boiling points of water and protects the engine from corrosion. Learn the difference between antifreeze. How Does Antifreeze Affect The Boiling Point In A Car's Radiator.
From www.easternshorehyundai.com
Antifreeze And Car Coolant A Detailed Guide Eastern Shore Hyundai How Does Antifreeze Affect The Boiling Point In A Car's Radiator It doesn’t only help prevent overheating, it also reduces. The primary purpose of antifreeze is to reduce the freezing point of the coolant, preventing it from solidifying in cold temperatures. Engine coolant, also known as antifreeze, is a liquid that lowers the freezing and boiling points of water and protects the engine from corrosion. The boiling point of water is. How Does Antifreeze Affect The Boiling Point In A Car's Radiator.
From slideplayer.com
Chapter 7 sec 1 Understanding Solutions Standard 5d ppt download How Does Antifreeze Affect The Boiling Point In A Car's Radiator The boiling point of water is 212 f, and normal engine operating temperatures can get up to 250 f. Learn about the different types of coolant, how to check and replace it, and why it is essential for your car's performance. The boiling point of antifreeze is between 225 and 300 degrees. As the proportion of antifreeze (ethylene glycol or. How Does Antifreeze Affect The Boiling Point In A Car's Radiator.
From rerev.com
Where does antifreeze go? — explained REREV How Does Antifreeze Affect The Boiling Point In A Car's Radiator The boiling point of water is 212 f, and normal engine operating temperatures can get up to 250 f. Engine coolant, also known as antifreeze, is a liquid that lowers the freezing and boiling points of water and protects the engine from corrosion. The primary purpose of antifreeze is to reduce the freezing point of the coolant, preventing it from. How Does Antifreeze Affect The Boiling Point In A Car's Radiator.
From www.carid.com
Antifreeze Explained What Does it Do and Why is it Needed? CARiD How Does Antifreeze Affect The Boiling Point In A Car's Radiator Learn the difference between antifreeze and coolant, and how to choose the right type for your vehicle. It doesn’t only help prevent overheating, it also reduces. As the proportion of antifreeze (ethylene glycol or propylene glycol). Engine coolant raises the boiling point while lowering the freezing point. The boiling point of water is 212 f, and normal engine operating temperatures. How Does Antifreeze Affect The Boiling Point In A Car's Radiator.
From ranwhenparked.net
Boiling Point for Antifreeze Understanding the Science Ran When How Does Antifreeze Affect The Boiling Point In A Car's Radiator Besides, this mixture of antifreeze and water circulates through the engine to regulate temperature, preventing freezing in winter and overheating in summer. It doesn’t only help prevent overheating, it also reduces. Learn about the different types of coolant, how to check and replace it, and why it is essential for your car's performance. How does antifreeze concentration affect coolant boiling. How Does Antifreeze Affect The Boiling Point In A Car's Radiator.