Logical Connectors Exercises . Study with quizlet and memorize flashcards containing terms like coordinate. Complete following sentences using an appropriate connecting word. In this course, you will find the 50 most useful english logical connectors, along with examples, videos, and exercises to test your. Fill in the blanks with suitable logical connectors : Advanced level exercises in english _____, she changed her mind the next day. This section is all about aconnetcives and linking phrases. Practice with fun exercises and download the explanations and. Susie refused to take part in the concert. Alice seems to be quite intelligent;.…………………, she often gets poor.
        
         
         
        from www.eslprintables.com 
     
        
        In this course, you will find the 50 most useful english logical connectors, along with examples, videos, and exercises to test your. This section is all about aconnetcives and linking phrases. Study with quizlet and memorize flashcards containing terms like coordinate. Advanced level exercises in english Complete following sentences using an appropriate connecting word. Alice seems to be quite intelligent;.…………………, she often gets poor. Susie refused to take part in the concert. Practice with fun exercises and download the explanations and. Fill in the blanks with suitable logical connectors : _____, she changed her mind the next day.
    
    	
            
	
		 
	 
         
    Logical connectors ESL worksheet by idanadira 
    Logical Connectors Exercises  Alice seems to be quite intelligent;.…………………, she often gets poor. Alice seems to be quite intelligent;.…………………, she often gets poor. Complete following sentences using an appropriate connecting word. In this course, you will find the 50 most useful english logical connectors, along with examples, videos, and exercises to test your. _____, she changed her mind the next day. Susie refused to take part in the concert. Study with quizlet and memorize flashcards containing terms like coordinate. Fill in the blanks with suitable logical connectors : Advanced level exercises in english This section is all about aconnetcives and linking phrases. Practice with fun exercises and download the explanations and.
            
	
		 
	 
         
 
    
         
        From englishgrammarhere.com 
                    Sequence Connectors List and Example Sentences English Grammar Here Logical Connectors Exercises  Susie refused to take part in the concert. Study with quizlet and memorize flashcards containing terms like coordinate. In this course, you will find the 50 most useful english logical connectors, along with examples, videos, and exercises to test your. Alice seems to be quite intelligent;.…………………, she often gets poor. _____, she changed her mind the next day. Advanced level. Logical Connectors Exercises.
     
    
         
        From englishstudyhere.com 
                    16 Sequence Connectors List and Example Sentences English Study Here Logical Connectors Exercises  Fill in the blanks with suitable logical connectors : Study with quizlet and memorize flashcards containing terms like coordinate. Practice with fun exercises and download the explanations and. _____, she changed her mind the next day. Complete following sentences using an appropriate connecting word. This section is all about aconnetcives and linking phrases. Alice seems to be quite intelligent;.…………………, she. Logical Connectors Exercises.
     
    
         
        From www.scribd.com 
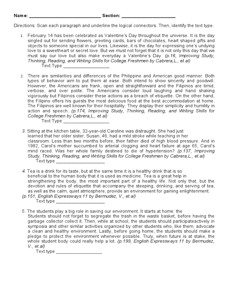
                    Logical Connectors and Text Types Activity Sheets PDF Logical Connectors Exercises  Complete following sentences using an appropriate connecting word. In this course, you will find the 50 most useful english logical connectors, along with examples, videos, and exercises to test your. Practice with fun exercises and download the explanations and. Study with quizlet and memorize flashcards containing terms like coordinate. Fill in the blanks with suitable logical connectors : This section. Logical Connectors Exercises.
     
    
         
        From www.pinterest.jp 
                    Connectors worksheet Free ESL printable worksheets made by teachers Logical Connectors Exercises  Advanced level exercises in english In this course, you will find the 50 most useful english logical connectors, along with examples, videos, and exercises to test your. _____, she changed her mind the next day. Fill in the blanks with suitable logical connectors : This section is all about aconnetcives and linking phrases. Practice with fun exercises and download the. Logical Connectors Exercises.
     
    
         
        From www.emile-education.com 
                    Teaching Connectives 5 Activities and worksheets for the classroom. Logical Connectors Exercises  In this course, you will find the 50 most useful english logical connectors, along with examples, videos, and exercises to test your. Susie refused to take part in the concert. Alice seems to be quite intelligent;.…………………, she often gets poor. This section is all about aconnetcives and linking phrases. Advanced level exercises in english Complete following sentences using an appropriate. Logical Connectors Exercises.
     
    
         
        From www.topworksheets.com 
                    Logical connectors 2. Interactive worksheet TopWorksheets Logical Connectors Exercises  Study with quizlet and memorize flashcards containing terms like coordinate. Complete following sentences using an appropriate connecting word. Susie refused to take part in the concert. _____, she changed her mind the next day. Alice seems to be quite intelligent;.…………………, she often gets poor. In this course, you will find the 50 most useful english logical connectors, along with examples,. Logical Connectors Exercises.
     
    
         
        From loewlahjv.blob.core.windows.net 
                    Connectors Exercises 2 Bachillerato at Walter Stone blog Logical Connectors Exercises  Susie refused to take part in the concert. Advanced level exercises in english In this course, you will find the 50 most useful english logical connectors, along with examples, videos, and exercises to test your. This section is all about aconnetcives and linking phrases. Study with quizlet and memorize flashcards containing terms like coordinate. Fill in the blanks with suitable. Logical Connectors Exercises.
     
    
         
        From worksheetlibrarychan55.z13.web.core.windows.net 
                    Logical Connectors Lesson Plan Grade 7 Logical Connectors Exercises  This section is all about aconnetcives and linking phrases. Advanced level exercises in english Complete following sentences using an appropriate connecting word. Alice seems to be quite intelligent;.…………………, she often gets poor. Study with quizlet and memorize flashcards containing terms like coordinate. In this course, you will find the 50 most useful english logical connectors, along with examples, videos, and. Logical Connectors Exercises.
     
    
         
        From englishstudyhere.com 
                    Connectors List English Study Here Logical Connectors Exercises  This section is all about aconnetcives and linking phrases. Complete following sentences using an appropriate connecting word. Advanced level exercises in english Fill in the blanks with suitable logical connectors : In this course, you will find the 50 most useful english logical connectors, along with examples, videos, and exercises to test your. Alice seems to be quite intelligent;.…………………, she. Logical Connectors Exercises.
     
    
         
        From www.studypool.com 
                    SOLUTION Logical connectors sentence connectors Studypool Logical Connectors Exercises  Advanced level exercises in english Susie refused to take part in the concert. Complete following sentences using an appropriate connecting word. Study with quizlet and memorize flashcards containing terms like coordinate. Practice with fun exercises and download the explanations and. In this course, you will find the 50 most useful english logical connectors, along with examples, videos, and exercises to. Logical Connectors Exercises.
     
    
         
        From www.pinterest.ca 
                    Connectors Worksheet English ESL Worksheets Logical Connectors Exercises  Study with quizlet and memorize flashcards containing terms like coordinate. In this course, you will find the 50 most useful english logical connectors, along with examples, videos, and exercises to test your. Fill in the blanks with suitable logical connectors : Advanced level exercises in english Alice seems to be quite intelligent;.…………………, she often gets poor. _____, she changed her. Logical Connectors Exercises.
     
    
         
        From www.eslprintables.com 
                    CONNECTORS ESL worksheet by ascincoquinas Logical Connectors Exercises  Fill in the blanks with suitable logical connectors : _____, she changed her mind the next day. Study with quizlet and memorize flashcards containing terms like coordinate. This section is all about aconnetcives and linking phrases. Complete following sentences using an appropriate connecting word. Practice with fun exercises and download the explanations and. Susie refused to take part in the. Logical Connectors Exercises.
     
    
         
        From www.eslprintables.com 
                    Connectors exercise ESL worksheet by johanne23232 Logical Connectors Exercises  Susie refused to take part in the concert. _____, she changed her mind the next day. In this course, you will find the 50 most useful english logical connectors, along with examples, videos, and exercises to test your. Alice seems to be quite intelligent;.…………………, she often gets poor. Practice with fun exercises and download the explanations and. Fill in the. Logical Connectors Exercises.
     
    
         
        From www.topworksheets.com 
                    Logical connectors 1. Interactive worksheet TopWorksheets Logical Connectors Exercises  _____, she changed her mind the next day. Alice seems to be quite intelligent;.…………………, she often gets poor. This section is all about aconnetcives and linking phrases. In this course, you will find the 50 most useful english logical connectors, along with examples, videos, and exercises to test your. Study with quizlet and memorize flashcards containing terms like coordinate. Fill. Logical Connectors Exercises.
     
    
         
        From loewlahjv.blob.core.windows.net 
                    Connectors Exercises 2 Bachillerato at Walter Stone blog Logical Connectors Exercises  Complete following sentences using an appropriate connecting word. _____, she changed her mind the next day. Advanced level exercises in english Alice seems to be quite intelligent;.…………………, she often gets poor. Practice with fun exercises and download the explanations and. Study with quizlet and memorize flashcards containing terms like coordinate. Susie refused to take part in the concert. In this. Logical Connectors Exercises.
     
    
         
        From www.eslprintables.com 
                    logical connectors ESL worksheet by kasarherou Logical Connectors Exercises  Study with quizlet and memorize flashcards containing terms like coordinate. _____, she changed her mind the next day. Complete following sentences using an appropriate connecting word. Fill in the blanks with suitable logical connectors : Susie refused to take part in the concert. Alice seems to be quite intelligent;.…………………, she often gets poor. Practice with fun exercises and download the. Logical Connectors Exercises.
     
    
         
        From lessonsforenglish.com 
                    10 Sequence Connectors, Expressions and Exercises Lessons For English Logical Connectors Exercises  Alice seems to be quite intelligent;.…………………, she often gets poor. _____, she changed her mind the next day. Advanced level exercises in english Susie refused to take part in the concert. This section is all about aconnetcives and linking phrases. Fill in the blanks with suitable logical connectors : In this course, you will find the 50 most useful english. Logical Connectors Exercises.
     
    
         
        From www.topworksheets.com 
                    Logical connectors 1. Interactive worksheet TopWorksheets Logical Connectors Exercises  Alice seems to be quite intelligent;.…………………, she often gets poor. Study with quizlet and memorize flashcards containing terms like coordinate. Fill in the blanks with suitable logical connectors : Complete following sentences using an appropriate connecting word. Advanced level exercises in english _____, she changed her mind the next day. Practice with fun exercises and download the explanations and. This. Logical Connectors Exercises.
     
    
         
        From englishgrammarhere.com 
                    Connectors List and Example Sentences English Grammar Here Logical Connectors Exercises  In this course, you will find the 50 most useful english logical connectors, along with examples, videos, and exercises to test your. Advanced level exercises in english Study with quizlet and memorize flashcards containing terms like coordinate. _____, she changed her mind the next day. Susie refused to take part in the concert. Fill in the blanks with suitable logical. Logical Connectors Exercises.
     
    
         
        From englishstudyhere.com 
                    English Connectors and Example Sentences English Study Here Logical Connectors Exercises  Study with quizlet and memorize flashcards containing terms like coordinate. _____, she changed her mind the next day. Complete following sentences using an appropriate connecting word. Fill in the blanks with suitable logical connectors : Susie refused to take part in the concert. Alice seems to be quite intelligent;.…………………, she often gets poor. Practice with fun exercises and download the. Logical Connectors Exercises.
     
    
         
        From www.eslprintables.com 
                    because, so, but, however, although reformulation and logical Logical Connectors Exercises  Advanced level exercises in english Complete following sentences using an appropriate connecting word. _____, she changed her mind the next day. In this course, you will find the 50 most useful english logical connectors, along with examples, videos, and exercises to test your. This section is all about aconnetcives and linking phrases. Susie refused to take part in the concert.. Logical Connectors Exercises.
     
    
         
        From www.slideserve.com 
                    PPT LOGICAL CONNECTORS PowerPoint Presentation, free download ID Logical Connectors Exercises  Alice seems to be quite intelligent;.…………………, she often gets poor. _____, she changed her mind the next day. Fill in the blanks with suitable logical connectors : Advanced level exercises in english This section is all about aconnetcives and linking phrases. Practice with fun exercises and download the explanations and. Susie refused to take part in the concert. In this. Logical Connectors Exercises.
     
    
         
        From www.eslprintables.com 
                    Connectors ESL worksheet by vanda51 Logical Connectors Exercises  _____, she changed her mind the next day. In this course, you will find the 50 most useful english logical connectors, along with examples, videos, and exercises to test your. Fill in the blanks with suitable logical connectors : Complete following sentences using an appropriate connecting word. This section is all about aconnetcives and linking phrases. Advanced level exercises in. Logical Connectors Exercises.
     
    
         
        From lessonsforenglish.com 
                    English Connectors & Examples Lessons For English Logical Connectors Exercises  Complete following sentences using an appropriate connecting word. This section is all about aconnetcives and linking phrases. Practice with fun exercises and download the explanations and. Study with quizlet and memorize flashcards containing terms like coordinate. Advanced level exercises in english _____, she changed her mind the next day. Fill in the blanks with suitable logical connectors : Susie refused. Logical Connectors Exercises.
     
    
         
        From www.eslprintables.com 
                    Table of logical connectors ESL worksheet by borisvian Logical Connectors Exercises  Alice seems to be quite intelligent;.…………………, she often gets poor. Susie refused to take part in the concert. This section is all about aconnetcives and linking phrases. Fill in the blanks with suitable logical connectors : _____, she changed her mind the next day. Advanced level exercises in english In this course, you will find the 50 most useful english. Logical Connectors Exercises.
     
    
         
        From en.islcollective.com 
                    102 Connectors English ESL worksheets pdf & doc Logical Connectors Exercises  Fill in the blanks with suitable logical connectors : _____, she changed her mind the next day. This section is all about aconnetcives and linking phrases. Alice seems to be quite intelligent;.…………………, she often gets poor. Complete following sentences using an appropriate connecting word. Susie refused to take part in the concert. Advanced level exercises in english In this course,. Logical Connectors Exercises.
     
    
         
        From connectchoices.blogspot.com 
                    Logical connective Connective Words Connect Choices Logical Connectors Exercises  Susie refused to take part in the concert. Fill in the blanks with suitable logical connectors : Complete following sentences using an appropriate connecting word. Practice with fun exercises and download the explanations and. Study with quizlet and memorize flashcards containing terms like coordinate. _____, she changed her mind the next day. Advanced level exercises in english Alice seems to. Logical Connectors Exercises.
     
    
         
        From en.islcollective.com 
                    WRITING CONNECTORS OF SEQUENCE pic… English ESL worksheets pdf & doc Logical Connectors Exercises  Alice seems to be quite intelligent;.…………………, she often gets poor. Susie refused to take part in the concert. Study with quizlet and memorize flashcards containing terms like coordinate. Advanced level exercises in english Complete following sentences using an appropriate connecting word. In this course, you will find the 50 most useful english logical connectors, along with examples, videos, and exercises. Logical Connectors Exercises.
     
    
         
        From quizizz.com 
                    Online Exercise 3 (Logical Connectors) 5B2020 Quizizz Logical Connectors Exercises  Alice seems to be quite intelligent;.…………………, she often gets poor. Advanced level exercises in english Practice with fun exercises and download the explanations and. _____, she changed her mind the next day. Complete following sentences using an appropriate connecting word. This section is all about aconnetcives and linking phrases. In this course, you will find the 50 most useful english. Logical Connectors Exercises.
     
    
         
        From englishstudyhere.com 
                    20 Connectors and Example Sentences English Study Here Logical Connectors Exercises  In this course, you will find the 50 most useful english logical connectors, along with examples, videos, and exercises to test your. _____, she changed her mind the next day. Alice seems to be quite intelligent;.…………………, she often gets poor. This section is all about aconnetcives and linking phrases. Susie refused to take part in the concert. Advanced level exercises. Logical Connectors Exercises.
     
    
         
        From emile-education.com 
                    Teaching Connectives 5 Activities and worksheets for the classroom. Logical Connectors Exercises  Study with quizlet and memorize flashcards containing terms like coordinate. Practice with fun exercises and download the explanations and. This section is all about aconnetcives and linking phrases. Fill in the blanks with suitable logical connectors : Advanced level exercises in english In this course, you will find the 50 most useful english logical connectors, along with examples, videos, and. Logical Connectors Exercises.
     
    
         
        From www.eslprintables.com 
                    Logical connectors ESL worksheet by idanadira Logical Connectors Exercises  In this course, you will find the 50 most useful english logical connectors, along with examples, videos, and exercises to test your. This section is all about aconnetcives and linking phrases. Fill in the blanks with suitable logical connectors : Study with quizlet and memorize flashcards containing terms like coordinate. Advanced level exercises in english _____, she changed her mind. Logical Connectors Exercises.
     
    
         
        From cemvcxux.blob.core.windows.net 
                    Connectors Exercises With Answers at Richard Simmons blog Logical Connectors Exercises  Susie refused to take part in the concert. _____, she changed her mind the next day. This section is all about aconnetcives and linking phrases. Alice seems to be quite intelligent;.…………………, she often gets poor. Complete following sentences using an appropriate connecting word. Advanced level exercises in english Study with quizlet and memorize flashcards containing terms like coordinate. Fill in. Logical Connectors Exercises.
     
    
         
        From www.pinterest.cl 
                    Connectors online pdf activity English worksheets for kids, Linking Logical Connectors Exercises  Alice seems to be quite intelligent;.…………………, she often gets poor. Fill in the blanks with suitable logical connectors : Advanced level exercises in english Study with quizlet and memorize flashcards containing terms like coordinate. Susie refused to take part in the concert. Practice with fun exercises and download the explanations and. In this course, you will find the 50 most. Logical Connectors Exercises.
     
    
         
        From www.scribd.com 
                    Exercises Logical Connectors PDF Logical Connectors Exercises  Complete following sentences using an appropriate connecting word. Susie refused to take part in the concert. Practice with fun exercises and download the explanations and. Alice seems to be quite intelligent;.…………………, she often gets poor. This section is all about aconnetcives and linking phrases. Advanced level exercises in english Fill in the blanks with suitable logical connectors : _____, she. Logical Connectors Exercises.