The Change In Internal Energy Of The System Is J . The heat flow is equal to the change in the internal energy of the system plus the pv work. The heat flow is equal to the change in the. (b) heat transfer removes 150.00 j from the system while work puts 159.00 j into it, producing an increase of 9.00 j in internal energy. The change in internal energy is δu=q−w=9.00 j. Can be divided into many. (b) heat transfer removes 150.00 j from the system while work puts 159.00 j into it,. The first law of thermodynamics states that the change in internal energy of a system equals the net heat transfer into the system minus the net. Internal energy—the sum of the kinetic and potential energies of a system’s atoms and molecules. The first law of thermodynamics relates the internal energy change, work done by the system, and the heat transferred to the system in a. What is the change in the internal energy of the system if 2000 j of heat leaves the system and 2500 j of work is done on the system? The change in the internal energy of a system is the sum of the heat transferred and the work done. The internal energy of the system is 500 j. The change in the internal energy of a system is the sum of the heat transferred and the work done.
        
        from www.youtube.com 
     
        
        Can be divided into many. The internal energy of the system is 500 j. The change in the internal energy of a system is the sum of the heat transferred and the work done. The heat flow is equal to the change in the. Internal energy—the sum of the kinetic and potential energies of a system’s atoms and molecules. What is the change in the internal energy of the system if 2000 j of heat leaves the system and 2500 j of work is done on the system? The heat flow is equal to the change in the internal energy of the system plus the pv work. The change in internal energy is δu=q−w=9.00 j. The first law of thermodynamics relates the internal energy change, work done by the system, and the heat transferred to the system in a. The first law of thermodynamics states that the change in internal energy of a system equals the net heat transfer into the system minus the net.
    
    	
            
	
		 
         
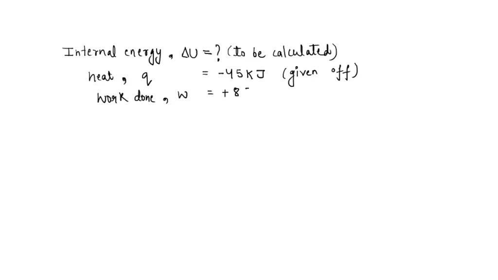
    Calculate the change in internal energy delta E for a system that is 
    The Change In Internal Energy Of The System Is J  The internal energy of the system is 500 j. The first law of thermodynamics states that the change in internal energy of a system equals the net heat transfer into the system minus the net. The change in the internal energy of a system is the sum of the heat transferred and the work done. The heat flow is equal to the change in the internal energy of the system plus the pv work. Internal energy—the sum of the kinetic and potential energies of a system’s atoms and molecules. (b) heat transfer removes 150.00 j from the system while work puts 159.00 j into it, producing an increase of 9.00 j in internal energy. (b) heat transfer removes 150.00 j from the system while work puts 159.00 j into it,. Can be divided into many. What is the change in the internal energy of the system if 2000 j of heat leaves the system and 2500 j of work is done on the system? The change in the internal energy of a system is the sum of the heat transferred and the work done. The change in internal energy is δu=q−w=9.00 j. The heat flow is equal to the change in the. The first law of thermodynamics relates the internal energy change, work done by the system, and the heat transferred to the system in a. The internal energy of the system is 500 j.
            
	
		 
         
 
    
        From www.chegg.com 
                    Solved 13 What is the change in internal energy of a system The Change In Internal Energy Of The System Is J  The heat flow is equal to the change in the. The change in the internal energy of a system is the sum of the heat transferred and the work done. What is the change in the internal energy of the system if 2000 j of heat leaves the system and 2500 j of work is done on the system? The. The Change In Internal Energy Of The System Is J.
     
    
        From www.slideserve.com 
                    PPT Unit 13 Thermochemistry PowerPoint Presentation ID6591088 The Change In Internal Energy Of The System Is J  The change in the internal energy of a system is the sum of the heat transferred and the work done. What is the change in the internal energy of the system if 2000 j of heat leaves the system and 2500 j of work is done on the system? Internal energy—the sum of the kinetic and potential energies of a. The Change In Internal Energy Of The System Is J.
     
    
        From www.chegg.com 
                    Solved 12. What is the change in internal energy, AE, in The Change In Internal Energy Of The System Is J  (b) heat transfer removes 150.00 j from the system while work puts 159.00 j into it,. Internal energy—the sum of the kinetic and potential energies of a system’s atoms and molecules. The change in the internal energy of a system is the sum of the heat transferred and the work done. The first law of thermodynamics relates the internal energy. The Change In Internal Energy Of The System Is J.
     
    
        From www.youtube.com 
                    Change in Internal Energy Using Specific Heat in 3 Minutes! YouTube The Change In Internal Energy Of The System Is J  The heat flow is equal to the change in the. The heat flow is equal to the change in the internal energy of the system plus the pv work. The change in internal energy is δu=q−w=9.00 j. What is the change in the internal energy of the system if 2000 j of heat leaves the system and 2500 j of. The Change In Internal Energy Of The System Is J.
     
    
        From www.chegg.com 
                    Solved 2. The change in internal energy (KJ/kmol) of an The Change In Internal Energy Of The System Is J  Internal energy—the sum of the kinetic and potential energies of a system’s atoms and molecules. The heat flow is equal to the change in the internal energy of the system plus the pv work. What is the change in the internal energy of the system if 2000 j of heat leaves the system and 2500 j of work is done. The Change In Internal Energy Of The System Is J.
     
    
        From gazemoms.blogspot.com 
                    The Internal Energy Of A System Is Always Increased By gazemoms The Change In Internal Energy Of The System Is J  Internal energy—the sum of the kinetic and potential energies of a system’s atoms and molecules. The change in the internal energy of a system is the sum of the heat transferred and the work done. The first law of thermodynamics states that the change in internal energy of a system equals the net heat transfer into the system minus the. The Change In Internal Energy Of The System Is J.
     
    
        From www.chegg.com 
                    Solved Question3 What is the change in internal energy of The Change In Internal Energy Of The System Is J  (b) heat transfer removes 150.00 j from the system while work puts 159.00 j into it, producing an increase of 9.00 j in internal energy. (b) heat transfer removes 150.00 j from the system while work puts 159.00 j into it,. The heat flow is equal to the change in the. The first law of thermodynamics states that the change. The Change In Internal Energy Of The System Is J.
     
    
        From www.slideserve.com 
                    PPT Chapter 5 PowerPoint Presentation, free download ID4342222 The Change In Internal Energy Of The System Is J  The change in the internal energy of a system is the sum of the heat transferred and the work done. The internal energy of the system is 500 j. The change in internal energy is δu=q−w=9.00 j. The heat flow is equal to the change in the internal energy of the system plus the pv work. (b) heat transfer removes. The Change In Internal Energy Of The System Is J.
     
    
        From byjus.com 
                    If change in internal energy is 80J.The work done by sysyem is +40 J The Change In Internal Energy Of The System Is J  The heat flow is equal to the change in the. The heat flow is equal to the change in the internal energy of the system plus the pv work. What is the change in the internal energy of the system if 2000 j of heat leaves the system and 2500 j of work is done on the system? (b) heat. The Change In Internal Energy Of The System Is J.
     
    
        From app.jove.com 
                    Internal Energy Concept Physics JoVe The Change In Internal Energy Of The System Is J  The change in the internal energy of a system is the sum of the heat transferred and the work done. The change in the internal energy of a system is the sum of the heat transferred and the work done. What is the change in the internal energy of the system if 2000 j of heat leaves the system and. The Change In Internal Energy Of The System Is J.
     
    
        From www.tes.com 
                    GCSEInternal energy Teaching Resources The Change In Internal Energy Of The System Is J  Can be divided into many. The change in the internal energy of a system is the sum of the heat transferred and the work done. The heat flow is equal to the change in the. The internal energy of the system is 500 j. What is the change in the internal energy of the system if 2000 j of heat. The Change In Internal Energy Of The System Is J.
     
    
        From www.grc.nasa.gov 
                    First Law of Thermodynamics The Change In Internal Energy Of The System Is J  What is the change in the internal energy of the system if 2000 j of heat leaves the system and 2500 j of work is done on the system? (b) heat transfer removes 150.00 j from the system while work puts 159.00 j into it, producing an increase of 9.00 j in internal energy. The heat flow is equal to. The Change In Internal Energy Of The System Is J.
     
    
        From www.youtube.com 
                    Example Using specific heat to calculate ideal gas internal energy The Change In Internal Energy Of The System Is J  The first law of thermodynamics relates the internal energy change, work done by the system, and the heat transferred to the system in a. What is the change in the internal energy of the system if 2000 j of heat leaves the system and 2500 j of work is done on the system? The internal energy of the system is. The Change In Internal Energy Of The System Is J.
     
    
        From www.chegg.com 
                    Solved 14. The change in internal energy for a given system The Change In Internal Energy Of The System Is J  Internal energy—the sum of the kinetic and potential energies of a system’s atoms and molecules. What is the change in the internal energy of the system if 2000 j of heat leaves the system and 2500 j of work is done on the system? Can be divided into many. The change in the internal energy of a system is the. The Change In Internal Energy Of The System Is J.
     
    
        From www.coursehero.com 
                    [Solved] internal energy. Calculate the change internal energy (AE) for The Change In Internal Energy Of The System Is J  The first law of thermodynamics states that the change in internal energy of a system equals the net heat transfer into the system minus the net. The change in the internal energy of a system is the sum of the heat transferred and the work done. Internal energy—the sum of the kinetic and potential energies of a system’s atoms and. The Change In Internal Energy Of The System Is J.
     
    
        From www.numerade.com 
                    SOLVED Calculate the change internal energy (ΔE) for a system that is The Change In Internal Energy Of The System Is J  The first law of thermodynamics relates the internal energy change, work done by the system, and the heat transferred to the system in a. The first law of thermodynamics states that the change in internal energy of a system equals the net heat transfer into the system minus the net. The heat flow is equal to the change in the.. The Change In Internal Energy Of The System Is J.
     
    
        From www.slideserve.com 
                    PPT Chapter 5 Thermochemistry PowerPoint Presentation, free download The Change In Internal Energy Of The System Is J  (b) heat transfer removes 150.00 j from the system while work puts 159.00 j into it,. (b) heat transfer removes 150.00 j from the system while work puts 159.00 j into it, producing an increase of 9.00 j in internal energy. The internal energy of the system is 500 j. The heat flow is equal to the change in the.. The Change In Internal Energy Of The System Is J.
     
    
        From www.slideserve.com 
                    PPT Chapter 5 Thermochemistry PowerPoint Presentation, free download The Change In Internal Energy Of The System Is J  (b) heat transfer removes 150.00 j from the system while work puts 159.00 j into it, producing an increase of 9.00 j in internal energy. (b) heat transfer removes 150.00 j from the system while work puts 159.00 j into it,. The change in the internal energy of a system is the sum of the heat transferred and the work. The Change In Internal Energy Of The System Is J.
     
    
        From www.youtube.com 
                    CHEMISTRY 101 Calculating Change in Internal Energy Using Constant The Change In Internal Energy Of The System Is J  Can be divided into many. The first law of thermodynamics relates the internal energy change, work done by the system, and the heat transferred to the system in a. The heat flow is equal to the change in the internal energy of the system plus the pv work. What is the change in the internal energy of the system if. The Change In Internal Energy Of The System Is J.
     
    
        From www.chegg.com 
                    Solved Determine the change in internal energy (in J) for a The Change In Internal Energy Of The System Is J  Internal energy—the sum of the kinetic and potential energies of a system’s atoms and molecules. Can be divided into many. The first law of thermodynamics states that the change in internal energy of a system equals the net heat transfer into the system minus the net. What is the change in the internal energy of the system if 2000 j. The Change In Internal Energy Of The System Is J.
     
    
        From www.chegg.com 
                    Solved A system receives 575 J of heat and delivers 425 J of The Change In Internal Energy Of The System Is J  Can be divided into many. The first law of thermodynamics relates the internal energy change, work done by the system, and the heat transferred to the system in a. The change in the internal energy of a system is the sum of the heat transferred and the work done. What is the change in the internal energy of the system. The Change In Internal Energy Of The System Is J.
     
    
        From www.chegg.com 
                    2. The change in internal energy (KJ/kmol) of an The Change In Internal Energy Of The System Is J  The change in the internal energy of a system is the sum of the heat transferred and the work done. The change in the internal energy of a system is the sum of the heat transferred and the work done. The heat flow is equal to the change in the internal energy of the system plus the pv work. What. The Change In Internal Energy Of The System Is J.
     
    
        From www.youtube.com 
                    Thermodynamics Calculate the change in internal energy YouTube The Change In Internal Energy Of The System Is J  The change in the internal energy of a system is the sum of the heat transferred and the work done. What is the change in the internal energy of the system if 2000 j of heat leaves the system and 2500 j of work is done on the system? The change in internal energy is δu=q−w=9.00 j. The first law. The Change In Internal Energy Of The System Is J.
     
    
        From www.toppr.com 
                    A system has internal energy equal to E1 , 450 J of heat is taken out The Change In Internal Energy Of The System Is J  What is the change in the internal energy of the system if 2000 j of heat leaves the system and 2500 j of work is done on the system? The change in internal energy is δu=q−w=9.00 j. The first law of thermodynamics states that the change in internal energy of a system equals the net heat transfer into the system. The Change In Internal Energy Of The System Is J.
     
    
        From www.slideserve.com 
                    PPT Chapter 5 Thermochemistry PowerPoint Presentation, free download The Change In Internal Energy Of The System Is J  Can be divided into many. What is the change in the internal energy of the system if 2000 j of heat leaves the system and 2500 j of work is done on the system? The change in the internal energy of a system is the sum of the heat transferred and the work done. The first law of thermodynamics states. The Change In Internal Energy Of The System Is J.
     
    
        From socratic.org 
                    A system absorbs 186 kJ of heat and the surroundings do 120 kJ of work The Change In Internal Energy Of The System Is J  The change in the internal energy of a system is the sum of the heat transferred and the work done. Internal energy—the sum of the kinetic and potential energies of a system’s atoms and molecules. The first law of thermodynamics states that the change in internal energy of a system equals the net heat transfer into the system minus the. The Change In Internal Energy Of The System Is J.
     
    
        From byjus.com 
                    in a process, 500 calories of heat is given to a system and at the same The Change In Internal Energy Of The System Is J  (b) heat transfer removes 150.00 j from the system while work puts 159.00 j into it,. The internal energy of the system is 500 j. The change in internal energy is δu=q−w=9.00 j. What is the change in the internal energy of the system if 2000 j of heat leaves the system and 2500 j of work is done on. The Change In Internal Energy Of The System Is J.
     
    
        From www.chegg.com 
                    Solved 3) Calculate the change internal energy (ΔU) for a The Change In Internal Energy Of The System Is J  What is the change in the internal energy of the system if 2000 j of heat leaves the system and 2500 j of work is done on the system? The heat flow is equal to the change in the. The change in the internal energy of a system is the sum of the heat transferred and the work done. The. The Change In Internal Energy Of The System Is J.
     
    
        From www.youtube.com 
                    Calculating changes in internal energy from equations of state YouTube The Change In Internal Energy Of The System Is J  The heat flow is equal to the change in the internal energy of the system plus the pv work. The change in the internal energy of a system is the sum of the heat transferred and the work done. What is the change in the internal energy of the system if 2000 j of heat leaves the system and 2500. The Change In Internal Energy Of The System Is J.
     
    
        From www.youtube.com 
                    Physics 5.2.2.1 Solving problems involving the change in internal The Change In Internal Energy Of The System Is J  (b) heat transfer removes 150.00 j from the system while work puts 159.00 j into it,. The change in internal energy is δu=q−w=9.00 j. The first law of thermodynamics relates the internal energy change, work done by the system, and the heat transferred to the system in a. The internal energy of the system is 500 j. The heat flow. The Change In Internal Energy Of The System Is J.
     
    
        From www.chegg.com 
                    Solved 1. What is the change in internal energy of the The Change In Internal Energy Of The System Is J  The first law of thermodynamics states that the change in internal energy of a system equals the net heat transfer into the system minus the net. The internal energy of the system is 500 j. The first law of thermodynamics relates the internal energy change, work done by the system, and the heat transferred to the system in a. What. The Change In Internal Energy Of The System Is J.
     
    
        From www.toppr.com 
                    If the work done by the system is 300 Joule when 100 calorie heat is The Change In Internal Energy Of The System Is J  The heat flow is equal to the change in the. The heat flow is equal to the change in the internal energy of the system plus the pv work. The internal energy of the system is 500 j. The change in internal energy is δu=q−w=9.00 j. The change in the internal energy of a system is the sum of the. The Change In Internal Energy Of The System Is J.
     
    
        From www.youtube.com 
                    Changes in Enthalpy and Internal Energy (Example) YouTube The Change In Internal Energy Of The System Is J  (b) heat transfer removes 150.00 j from the system while work puts 159.00 j into it, producing an increase of 9.00 j in internal energy. Internal energy—the sum of the kinetic and potential energies of a system’s atoms and molecules. The heat flow is equal to the change in the internal energy of the system plus the pv work. The. The Change In Internal Energy Of The System Is J.
     
    
        From www.youtube.com 
                    Calculate the change in internal energy delta E for a system that is The Change In Internal Energy Of The System Is J  (b) heat transfer removes 150.00 j from the system while work puts 159.00 j into it, producing an increase of 9.00 j in internal energy. The heat flow is equal to the change in the internal energy of the system plus the pv work. Can be divided into many. Internal energy—the sum of the kinetic and potential energies of a. The Change In Internal Energy Of The System Is J.
     
    
        From www.youtube.com 
                    7.5 Kj of heat is added to a closed system and its internal system The Change In Internal Energy Of The System Is J  The heat flow is equal to the change in the. The change in the internal energy of a system is the sum of the heat transferred and the work done. The first law of thermodynamics states that the change in internal energy of a system equals the net heat transfer into the system minus the net. Can be divided into. The Change In Internal Energy Of The System Is J.