Pivot Gauss Definition . Pivot position and pivot column. Does pivoting cost too much? In the problem below, we have order of magnitude differences between coefficients in the different rows. The pivot of any given row is always to the right of the pivot of. Find the entry in the left column with the largest absolute value. Identify why our basic ge method is “naive”: When performing gaussian elimination, the diagonal element that one uses during the elimination procedure is called the. Identify where the errors come from?
from www.youtube.com
In the problem below, we have order of magnitude differences between coefficients in the different rows. Find the entry in the left column with the largest absolute value. Pivot position and pivot column. Identify where the errors come from? Does pivoting cost too much? Identify why our basic ge method is “naive”: The pivot of any given row is always to the right of the pivot of. When performing gaussian elimination, the diagonal element that one uses during the elimination procedure is called the.
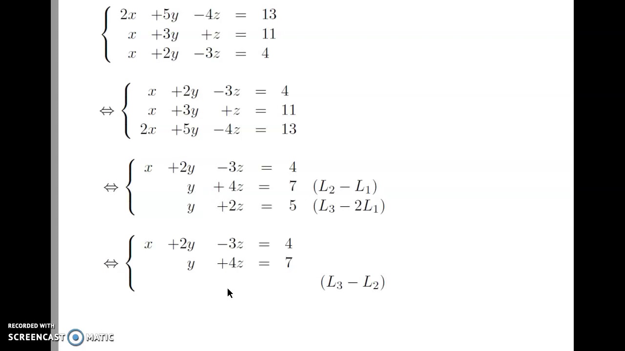
pivot de Gauss cas d'une unique solution YouTube
Pivot Gauss Definition The pivot of any given row is always to the right of the pivot of. In the problem below, we have order of magnitude differences between coefficients in the different rows. Identify where the errors come from? When performing gaussian elimination, the diagonal element that one uses during the elimination procedure is called the. Pivot position and pivot column. The pivot of any given row is always to the right of the pivot of. Find the entry in the left column with the largest absolute value. Does pivoting cost too much? Identify why our basic ge method is “naive”:
From www.youtube.com
Résolution système d'équation Pivot de GAUSS YouTube Pivot Gauss Definition When performing gaussian elimination, the diagonal element that one uses during the elimination procedure is called the. Identify why our basic ge method is “naive”: In the problem below, we have order of magnitude differences between coefficients in the different rows. Does pivoting cost too much? The pivot of any given row is always to the right of the pivot. Pivot Gauss Definition.
From www.youtube.com
Résolution des systèmes linéaires par la méthode du pivot de Gauss Pivot Gauss Definition Find the entry in the left column with the largest absolute value. The pivot of any given row is always to the right of the pivot of. In the problem below, we have order of magnitude differences between coefficients in the different rows. Does pivoting cost too much? When performing gaussian elimination, the diagonal element that one uses during the. Pivot Gauss Definition.
From www.studocu.com
exo Pivot de Gauss Pivot de Gauss Méthode du Pivot de Gauss Pivot Gauss Definition Pivot position and pivot column. Identify where the errors come from? The pivot of any given row is always to the right of the pivot of. When performing gaussian elimination, the diagonal element that one uses during the elimination procedure is called the. Identify why our basic ge method is “naive”: Find the entry in the left column with the. Pivot Gauss Definition.
From www.youtube.com
EAA211/2 Naïve & Partial Pivot Gaussian Elimination YouTube Pivot Gauss Definition The pivot of any given row is always to the right of the pivot of. Does pivoting cost too much? When performing gaussian elimination, the diagonal element that one uses during the elimination procedure is called the. In the problem below, we have order of magnitude differences between coefficients in the different rows. Identify why our basic ge method is. Pivot Gauss Definition.
From www.youtube.com
Scaled Partial Pivoting in Gauss Elimination with MATLAB code YouTube Pivot Gauss Definition When performing gaussian elimination, the diagonal element that one uses during the elimination procedure is called the. Identify where the errors come from? Identify why our basic ge method is “naive”: In the problem below, we have order of magnitude differences between coefficients in the different rows. The pivot of any given row is always to the right of the. Pivot Gauss Definition.
From www.studocu.com
Méthode Pivot de Gauss METHODE DU PIVOT DE GAUSS La mÈthode du pivot Pivot Gauss Definition When performing gaussian elimination, the diagonal element that one uses during the elimination procedure is called the. Identify where the errors come from? The pivot of any given row is always to the right of the pivot of. Pivot position and pivot column. Find the entry in the left column with the largest absolute value. Identify why our basic ge. Pivot Gauss Definition.
From www.youtube.com
Gauss Elimination with Partial Pivoting YouTube Pivot Gauss Definition When performing gaussian elimination, the diagonal element that one uses during the elimination procedure is called the. The pivot of any given row is always to the right of the pivot of. Identify why our basic ge method is “naive”: In the problem below, we have order of magnitude differences between coefficients in the different rows. Pivot position and pivot. Pivot Gauss Definition.
From www.pdfprof.com
pivot de gauss matrice Pivot Gauss Definition Identify why our basic ge method is “naive”: Does pivoting cost too much? Pivot position and pivot column. In the problem below, we have order of magnitude differences between coefficients in the different rows. Identify where the errors come from? The pivot of any given row is always to the right of the pivot of. When performing gaussian elimination, the. Pivot Gauss Definition.
From www.youtube.com
Linear Algebra 1.5 Pivot Element (Part 1) YouTube Pivot Gauss Definition Identify where the errors come from? Identify why our basic ge method is “naive”: Find the entry in the left column with the largest absolute value. Pivot position and pivot column. When performing gaussian elimination, the diagonal element that one uses during the elimination procedure is called the. Does pivoting cost too much? In the problem below, we have order. Pivot Gauss Definition.
From www.pdfprof.com
pivot de gauss exemple Pivot Gauss Definition Identify why our basic ge method is “naive”: The pivot of any given row is always to the right of the pivot of. Does pivoting cost too much? Identify where the errors come from? In the problem below, we have order of magnitude differences between coefficients in the different rows. When performing gaussian elimination, the diagonal element that one uses. Pivot Gauss Definition.
From www.youtube.com
Système d'équation a 3 inconnus utilisation du pivot de gauss. YouTube Pivot Gauss Definition In the problem below, we have order of magnitude differences between coefficients in the different rows. When performing gaussian elimination, the diagonal element that one uses during the elimination procedure is called the. Identify where the errors come from? Does pivoting cost too much? Pivot position and pivot column. Find the entry in the left column with the largest absolute. Pivot Gauss Definition.
From www.slideserve.com
PPT ASI 3 Méthodes numériques pour l’ingénieur PowerPoint Pivot Gauss Definition Find the entry in the left column with the largest absolute value. Does pivoting cost too much? When performing gaussian elimination, the diagonal element that one uses during the elimination procedure is called the. In the problem below, we have order of magnitude differences between coefficients in the different rows. Identify where the errors come from? Identify why our basic. Pivot Gauss Definition.
From www.youtube.com
PIVOT DE GAUSS DÉTERMINER LE RANG D'UNE MATRICE YouTube Pivot Gauss Definition Does pivoting cost too much? Identify why our basic ge method is “naive”: Pivot position and pivot column. Identify where the errors come from? In the problem below, we have order of magnitude differences between coefficients in the different rows. Find the entry in the left column with the largest absolute value. When performing gaussian elimination, the diagonal element that. Pivot Gauss Definition.
From www.youtube.com
Méthode de pivot de GAUSS YouTube Pivot Gauss Definition Identify where the errors come from? When performing gaussian elimination, the diagonal element that one uses during the elimination procedure is called the. Identify why our basic ge method is “naive”: The pivot of any given row is always to the right of the pivot of. Does pivoting cost too much? Pivot position and pivot column. In the problem below,. Pivot Gauss Definition.
From www.youtube.com
ALGEBRE SYSTÈME D'ÉQUATIONS LINÉAIRES PIVOT DE GAUSS, COMBINAISON Pivot Gauss Definition Identify why our basic ge method is “naive”: In the problem below, we have order of magnitude differences between coefficients in the different rows. The pivot of any given row is always to the right of the pivot of. Identify where the errors come from? Does pivoting cost too much? Find the entry in the left column with the largest. Pivot Gauss Definition.
From www.youtube.com
Calcul d'un déterminant par le Pivot de Gauss YouTube Pivot Gauss Definition In the problem below, we have order of magnitude differences between coefficients in the different rows. Identify why our basic ge method is “naive”: When performing gaussian elimination, the diagonal element that one uses during the elimination procedure is called the. Pivot position and pivot column. Identify where the errors come from? The pivot of any given row is always. Pivot Gauss Definition.
From openclassrooms.com
implémentation algo du pivot de Gauss par erichurel page 1 Pivot Gauss Definition When performing gaussian elimination, the diagonal element that one uses during the elimination procedure is called the. Pivot position and pivot column. The pivot of any given row is always to the right of the pivot of. Identify why our basic ge method is “naive”: Identify where the errors come from? In the problem below, we have order of magnitude. Pivot Gauss Definition.
From www.youtube.com
PIVOT DE RESOUDRE UN SYSTEME 3 Pivot Gauss Definition In the problem below, we have order of magnitude differences between coefficients in the different rows. The pivot of any given row is always to the right of the pivot of. Find the entry in the left column with the largest absolute value. Pivot position and pivot column. Identify where the errors come from? When performing gaussian elimination, the diagonal. Pivot Gauss Definition.
From www.youtube.com
Systèmes linéaires pivot de Gauss forme résolue, exemple 1 YouTube Pivot Gauss Definition Does pivoting cost too much? Pivot position and pivot column. When performing gaussian elimination, the diagonal element that one uses during the elimination procedure is called the. Identify why our basic ge method is “naive”: The pivot of any given row is always to the right of the pivot of. Find the entry in the left column with the largest. Pivot Gauss Definition.
From forums.futura-sciences.com
Valeurs propres Methode du pivot de Gauss pour calcul du determinant? Pivot Gauss Definition Find the entry in the left column with the largest absolute value. When performing gaussian elimination, the diagonal element that one uses during the elimination procedure is called the. The pivot of any given row is always to the right of the pivot of. Identify where the errors come from? Does pivoting cost too much? Pivot position and pivot column.. Pivot Gauss Definition.
From www.studypool.com
SOLUTION M thode pivot gauss 2 Studypool Pivot Gauss Definition Identify where the errors come from? Does pivoting cost too much? Find the entry in the left column with the largest absolute value. Pivot position and pivot column. When performing gaussian elimination, the diagonal element that one uses during the elimination procedure is called the. The pivot of any given row is always to the right of the pivot of.. Pivot Gauss Definition.
From www.scribd.com
Pivot de Gauss Matrice (Mathématiques) Physique et mathématiques Pivot Gauss Definition Does pivoting cost too much? Find the entry in the left column with the largest absolute value. Identify where the errors come from? When performing gaussian elimination, the diagonal element that one uses during the elimination procedure is called the. The pivot of any given row is always to the right of the pivot of. Identify why our basic ge. Pivot Gauss Definition.
From www.youtube.com
Calcul matriciel Partie 11 ( Méthode du pivot de Gauss pour calculer Pivot Gauss Definition Pivot position and pivot column. Find the entry in the left column with the largest absolute value. Does pivoting cost too much? Identify why our basic ge method is “naive”: When performing gaussian elimination, the diagonal element that one uses during the elimination procedure is called the. Identify where the errors come from? The pivot of any given row is. Pivot Gauss Definition.
From www.youtube.com
Méthode du pivot de Gauss [Nombres et calculs] YouTube Pivot Gauss Definition Find the entry in the left column with the largest absolute value. Identify where the errors come from? Identify why our basic ge method is “naive”: In the problem below, we have order of magnitude differences between coefficients in the different rows. The pivot of any given row is always to the right of the pivot of. When performing gaussian. Pivot Gauss Definition.
From www.youtube.com
pivot de Gauss Infinité de solutions YouTube Pivot Gauss Definition Identify why our basic ge method is “naive”: The pivot of any given row is always to the right of the pivot of. Pivot position and pivot column. When performing gaussian elimination, the diagonal element that one uses during the elimination procedure is called the. Identify where the errors come from? In the problem below, we have order of magnitude. Pivot Gauss Definition.
From www.youtube.com
Pivot de Gauss résoudre les systèmes d'équations a trois inconnues Pivot Gauss Definition Pivot position and pivot column. When performing gaussian elimination, the diagonal element that one uses during the elimination procedure is called the. Identify why our basic ge method is “naive”: The pivot of any given row is always to the right of the pivot of. Does pivoting cost too much? Find the entry in the left column with the largest. Pivot Gauss Definition.
From www.youtube.com
11 Méthode de Gauss pivot Analyse Numérique YouTube Pivot Gauss Definition Identify where the errors come from? The pivot of any given row is always to the right of the pivot of. In the problem below, we have order of magnitude differences between coefficients in the different rows. Pivot position and pivot column. Identify why our basic ge method is “naive”: When performing gaussian elimination, the diagonal element that one uses. Pivot Gauss Definition.
From vdocuments.mx
Pivot de Gauss Résolution d'un système de Cramer · Pivot de Gauss Pivot Gauss Definition The pivot of any given row is always to the right of the pivot of. Identify why our basic ge method is “naive”: In the problem below, we have order of magnitude differences between coefficients in the different rows. Does pivoting cost too much? Identify where the errors come from? When performing gaussian elimination, the diagonal element that one uses. Pivot Gauss Definition.
From www.slideserve.com
PPT Engineering Analysis Gauss Elimination PowerPoint Presentation Pivot Gauss Definition Does pivoting cost too much? Pivot position and pivot column. Identify where the errors come from? Find the entry in the left column with the largest absolute value. The pivot of any given row is always to the right of the pivot of. Identify why our basic ge method is “naive”: In the problem below, we have order of magnitude. Pivot Gauss Definition.
From www.slideserve.com
PPT ASI 3 Méthodes numériques pour l’ingénieur PowerPoint Pivot Gauss Definition Pivot position and pivot column. The pivot of any given row is always to the right of the pivot of. When performing gaussian elimination, the diagonal element that one uses during the elimination procedure is called the. Identify where the errors come from? In the problem below, we have order of magnitude differences between coefficients in the different rows. Find. Pivot Gauss Definition.
From www.youtube.com
La Méthode du pivot de Gauss Système linéaire L1, Maths Sup, IUT Pivot Gauss Definition Does pivoting cost too much? Find the entry in the left column with the largest absolute value. When performing gaussian elimination, the diagonal element that one uses during the elimination procedure is called the. Identify where the errors come from? The pivot of any given row is always to the right of the pivot of. In the problem below, we. Pivot Gauss Definition.
From pdfprof.com
[PDF] Chapitre V La méthode du pivot de Gauss et ses applications Pivot Gauss Definition When performing gaussian elimination, the diagonal element that one uses during the elimination procedure is called the. Identify why our basic ge method is “naive”: Does pivoting cost too much? Identify where the errors come from? The pivot of any given row is always to the right of the pivot of. In the problem below, we have order of magnitude. Pivot Gauss Definition.
From github.com
GitHub roxaneleduc/Gausspivotmethod Gauss pivot method and Pivot Gauss Definition Identify where the errors come from? In the problem below, we have order of magnitude differences between coefficients in the different rows. The pivot of any given row is always to the right of the pivot of. Identify why our basic ge method is “naive”: Does pivoting cost too much? Find the entry in the left column with the largest. Pivot Gauss Definition.
From www.studypool.com
SOLUTION Gaussian elimination with pivot Studypool Pivot Gauss Definition Does pivoting cost too much? Identify where the errors come from? The pivot of any given row is always to the right of the pivot of. In the problem below, we have order of magnitude differences between coefficients in the different rows. When performing gaussian elimination, the diagonal element that one uses during the elimination procedure is called the. Identify. Pivot Gauss Definition.
From www.youtube.com
pivot de Gauss cas d'une unique solution YouTube Pivot Gauss Definition Identify why our basic ge method is “naive”: When performing gaussian elimination, the diagonal element that one uses during the elimination procedure is called the. Find the entry in the left column with the largest absolute value. In the problem below, we have order of magnitude differences between coefficients in the different rows. Pivot position and pivot column. Does pivoting. Pivot Gauss Definition.