Narrative Justification Example . learning the key components of a justification narrative can help you to write a stronger proposal and increase the. The budget narrative is the justification of ‘how’ and/or ‘why’ a line. budget narrative instructions and example. A budget narrative explains and justifies the. These justifications should not be intermingled, i.e., the personnel section. What is a budget narrative? When developing the budget request, applications must be consistent with the purpose, outcomes, and program strategy outlined. budget justification narrative for their own budget. the budget narrative, sometimes called the budget justification, is a companion to the budget (table,. the following pages include examples for personnel justification, consortium justification and additional narrative.
from www.wikihow.com
learning the key components of a justification narrative can help you to write a stronger proposal and increase the. What is a budget narrative? the budget narrative, sometimes called the budget justification, is a companion to the budget (table,. The budget narrative is the justification of ‘how’ and/or ‘why’ a line. A budget narrative explains and justifies the. budget narrative instructions and example. the following pages include examples for personnel justification, consortium justification and additional narrative. budget justification narrative for their own budget. These justifications should not be intermingled, i.e., the personnel section. When developing the budget request, applications must be consistent with the purpose, outcomes, and program strategy outlined.
How to Write a Job Justification 6 Steps (with Pictures)
Narrative Justification Example budget justification narrative for their own budget. learning the key components of a justification narrative can help you to write a stronger proposal and increase the. These justifications should not be intermingled, i.e., the personnel section. When developing the budget request, applications must be consistent with the purpose, outcomes, and program strategy outlined. the following pages include examples for personnel justification, consortium justification and additional narrative. The budget narrative is the justification of ‘how’ and/or ‘why’ a line. A budget narrative explains and justifies the. the budget narrative, sometimes called the budget justification, is a companion to the budget (table,. budget justification narrative for their own budget. What is a budget narrative? budget narrative instructions and example.
From www.wikihow.com
How to Write a Personal Narrative A StepByStep Guide Narrative Justification Example budget narrative instructions and example. The budget narrative is the justification of ‘how’ and/or ‘why’ a line. A budget narrative explains and justifies the. the following pages include examples for personnel justification, consortium justification and additional narrative. When developing the budget request, applications must be consistent with the purpose, outcomes, and program strategy outlined. These justifications should not. Narrative Justification Example.
From www.sampletemplates.com
FREE 13+ Narrative Statement Samples & Templates in PDF Narrative Justification Example budget justification narrative for their own budget. learning the key components of a justification narrative can help you to write a stronger proposal and increase the. the following pages include examples for personnel justification, consortium justification and additional narrative. budget narrative instructions and example. What is a budget narrative? A budget narrative explains and justifies the.. Narrative Justification Example.
From childhealthpolicy.vumc.org
🌱 Personal narrative essay examples high school. Personal Narrative Narrative Justification Example What is a budget narrative? budget narrative instructions and example. the budget narrative, sometimes called the budget justification, is a companion to the budget (table,. When developing the budget request, applications must be consistent with the purpose, outcomes, and program strategy outlined. A budget narrative explains and justifies the. The budget narrative is the justification of ‘how’ and/or. Narrative Justification Example.
From www.pdffiller.com
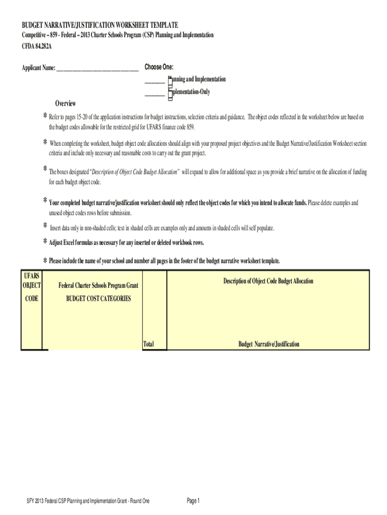
Fillable Online education mn budget narrative/justification worksheet Narrative Justification Example learning the key components of a justification narrative can help you to write a stronger proposal and increase the. budget justification narrative for their own budget. The budget narrative is the justification of ‘how’ and/or ‘why’ a line. the budget narrative, sometimes called the budget justification, is a companion to the budget (table,. budget narrative instructions. Narrative Justification Example.
From jerseystrife.blogspot.com
How To Write Good Justification Darrin Kenney's Templates Narrative Justification Example These justifications should not be intermingled, i.e., the personnel section. What is a budget narrative? When developing the budget request, applications must be consistent with the purpose, outcomes, and program strategy outlined. budget narrative instructions and example. the budget narrative, sometimes called the budget justification, is a companion to the budget (table,. learning the key components of. Narrative Justification Example.
From www.scribd.com
Justification Narrative Justification Example budget justification narrative for their own budget. the budget narrative, sometimes called the budget justification, is a companion to the budget (table,. budget narrative instructions and example. What is a budget narrative? These justifications should not be intermingled, i.e., the personnel section. The budget narrative is the justification of ‘how’ and/or ‘why’ a line. the following. Narrative Justification Example.
From www.examples.com
Narrative Report 25+ Examples, Format, How to, Pdf Narrative Justification Example learning the key components of a justification narrative can help you to write a stronger proposal and increase the. A budget narrative explains and justifies the. What is a budget narrative? the following pages include examples for personnel justification, consortium justification and additional narrative. The budget narrative is the justification of ‘how’ and/or ‘why’ a line. budget. Narrative Justification Example.
From www.slideserve.com
PPT Budget justification A point by point narrative (in addition to Narrative Justification Example the budget narrative, sometimes called the budget justification, is a companion to the budget (table,. These justifications should not be intermingled, i.e., the personnel section. learning the key components of a justification narrative can help you to write a stronger proposal and increase the. budget narrative instructions and example. What is a budget narrative? budget justification. Narrative Justification Example.
From certifyletter.blogspot.com
Justification Letter For Outstanding Performance certify letter Narrative Justification Example the following pages include examples for personnel justification, consortium justification and additional narrative. budget narrative instructions and example. A budget narrative explains and justifies the. The budget narrative is the justification of ‘how’ and/or ‘why’ a line. the budget narrative, sometimes called the budget justification, is a companion to the budget (table,. These justifications should not be. Narrative Justification Example.
From www.slideserve.com
PPT Justification PowerPoint Presentation, free download ID2723530 Narrative Justification Example A budget narrative explains and justifies the. When developing the budget request, applications must be consistent with the purpose, outcomes, and program strategy outlined. These justifications should not be intermingled, i.e., the personnel section. What is a budget narrative? The budget narrative is the justification of ‘how’ and/or ‘why’ a line. budget narrative instructions and example. budget justification. Narrative Justification Example.
From www.sevenstepswriting.com
Narrative student writing samples that will blow you away! Narrative Justification Example budget narrative instructions and example. These justifications should not be intermingled, i.e., the personnel section. When developing the budget request, applications must be consistent with the purpose, outcomes, and program strategy outlined. budget justification narrative for their own budget. What is a budget narrative? the following pages include examples for personnel justification, consortium justification and additional narrative.. Narrative Justification Example.
From englishgrammarhere.com
Sentences with Justify, Justify in a Sentence in English, Sentences For Narrative Justification Example What is a budget narrative? These justifications should not be intermingled, i.e., the personnel section. learning the key components of a justification narrative can help you to write a stronger proposal and increase the. budget narrative instructions and example. budget justification narrative for their own budget. When developing the budget request, applications must be consistent with the. Narrative Justification Example.
From evalogue.life
formattingjustifiedtext Tell Your Story with Evalogue.Life Narrative Justification Example The budget narrative is the justification of ‘how’ and/or ‘why’ a line. budget narrative instructions and example. When developing the budget request, applications must be consistent with the purpose, outcomes, and program strategy outlined. A budget narrative explains and justifies the. learning the key components of a justification narrative can help you to write a stronger proposal and. Narrative Justification Example.
From www.pdffiller.com
Fillable Online Budget Narrative/Justification Sample Form Fax Email Narrative Justification Example learning the key components of a justification narrative can help you to write a stronger proposal and increase the. The budget narrative is the justification of ‘how’ and/or ‘why’ a line. When developing the budget request, applications must be consistent with the purpose, outcomes, and program strategy outlined. budget narrative instructions and example. budget justification narrative for. Narrative Justification Example.
From studylib.net
Budget Justification Narrative Narrative Justification Example What is a budget narrative? A budget narrative explains and justifies the. budget justification narrative for their own budget. the budget narrative, sometimes called the budget justification, is a companion to the budget (table,. When developing the budget request, applications must be consistent with the purpose, outcomes, and program strategy outlined. the following pages include examples for. Narrative Justification Example.
From www.studocu.com
Student Sample Discursive Justification Example of a Justification Narrative Justification Example A budget narrative explains and justifies the. These justifications should not be intermingled, i.e., the personnel section. budget justification narrative for their own budget. learning the key components of a justification narrative can help you to write a stronger proposal and increase the. The budget narrative is the justification of ‘how’ and/or ‘why’ a line. the budget. Narrative Justification Example.
From studyposter.blogspot.com
Example Of Justification Of The Study In Research Study Poster Narrative Justification Example These justifications should not be intermingled, i.e., the personnel section. the following pages include examples for personnel justification, consortium justification and additional narrative. learning the key components of a justification narrative can help you to write a stronger proposal and increase the. A budget narrative explains and justifies the. When developing the budget request, applications must be consistent. Narrative Justification Example.
From doctemplates.us
Budget Justification Template DocTemplates Narrative Justification Example budget justification narrative for their own budget. A budget narrative explains and justifies the. the budget narrative, sometimes called the budget justification, is a companion to the budget (table,. These justifications should not be intermingled, i.e., the personnel section. budget narrative instructions and example. When developing the budget request, applications must be consistent with the purpose, outcomes,. Narrative Justification Example.
From report52.web.fc2.com
How to write a dissertation justification Narrative Justification Example budget narrative instructions and example. The budget narrative is the justification of ‘how’ and/or ‘why’ a line. What is a budget narrative? When developing the budget request, applications must be consistent with the purpose, outcomes, and program strategy outlined. the budget narrative, sometimes called the budget justification, is a companion to the budget (table,. the following pages. Narrative Justification Example.
From www.sampletemplates.com
FREE 13+ Narrative Statement Samples & Templates in PDF Narrative Justification Example budget narrative instructions and example. When developing the budget request, applications must be consistent with the purpose, outcomes, and program strategy outlined. The budget narrative is the justification of ‘how’ and/or ‘why’ a line. A budget narrative explains and justifies the. learning the key components of a justification narrative can help you to write a stronger proposal and. Narrative Justification Example.
From nerdyseal.com
Justification report sample essay 400 Words NerdySeal Narrative Justification Example These justifications should not be intermingled, i.e., the personnel section. A budget narrative explains and justifies the. budget narrative instructions and example. budget justification narrative for their own budget. When developing the budget request, applications must be consistent with the purpose, outcomes, and program strategy outlined. the following pages include examples for personnel justification, consortium justification and. Narrative Justification Example.
From www.slideteam.net
Top 7 Project Justification Templates with Examples and Samples Narrative Justification Example When developing the budget request, applications must be consistent with the purpose, outcomes, and program strategy outlined. budget narrative instructions and example. budget justification narrative for their own budget. learning the key components of a justification narrative can help you to write a stronger proposal and increase the. the budget narrative, sometimes called the budget justification,. Narrative Justification Example.
From pdfprof.com
project justification example Narrative Justification Example A budget narrative explains and justifies the. These justifications should not be intermingled, i.e., the personnel section. the budget narrative, sometimes called the budget justification, is a companion to the budget (table,. budget narrative instructions and example. learning the key components of a justification narrative can help you to write a stronger proposal and increase the. The. Narrative Justification Example.
From www.slideserve.com
PPT Writing the NEASC SelfStudy Narrative PowerPoint Presentation Narrative Justification Example the budget narrative, sometimes called the budget justification, is a companion to the budget (table,. budget narrative instructions and example. What is a budget narrative? When developing the budget request, applications must be consistent with the purpose, outcomes, and program strategy outlined. budget justification narrative for their own budget. The budget narrative is the justification of ‘how’. Narrative Justification Example.
From www.templateroller.com
Download Instructions for DPB Form RANJ Rate Adjustment Narrative Narrative Justification Example A budget narrative explains and justifies the. the following pages include examples for personnel justification, consortium justification and additional narrative. learning the key components of a justification narrative can help you to write a stronger proposal and increase the. What is a budget narrative? budget narrative instructions and example. The budget narrative is the justification of ‘how’. Narrative Justification Example.
From www.wikihow.com
How to Write a Job Justification 6 Steps (with Pictures) Narrative Justification Example The budget narrative is the justification of ‘how’ and/or ‘why’ a line. the budget narrative, sometimes called the budget justification, is a companion to the budget (table,. When developing the budget request, applications must be consistent with the purpose, outcomes, and program strategy outlined. A budget narrative explains and justifies the. learning the key components of a justification. Narrative Justification Example.
From www.examples.com
Narrative Writing Examples, Format, Pdf Narrative Justification Example When developing the budget request, applications must be consistent with the purpose, outcomes, and program strategy outlined. learning the key components of a justification narrative can help you to write a stronger proposal and increase the. What is a budget narrative? budget narrative instructions and example. the budget narrative, sometimes called the budget justification, is a companion. Narrative Justification Example.
From www.wordtemplatesonline.net
How to Write a Narrative Essay (12 Best Examples) Narrative Justification Example the following pages include examples for personnel justification, consortium justification and additional narrative. budget justification narrative for their own budget. budget narrative instructions and example. These justifications should not be intermingled, i.e., the personnel section. the budget narrative, sometimes called the budget justification, is a companion to the budget (table,. The budget narrative is the justification. Narrative Justification Example.
From www.researchgate.net
(PDF) Narrative Justification in Philosophy of Science; A Role for History Narrative Justification Example learning the key components of a justification narrative can help you to write a stronger proposal and increase the. budget justification narrative for their own budget. budget narrative instructions and example. What is a budget narrative? The budget narrative is the justification of ‘how’ and/or ‘why’ a line. These justifications should not be intermingled, i.e., the personnel. Narrative Justification Example.
From studyhippo.com
Justification Report Sample Essay Example Narrative Justification Example budget narrative instructions and example. The budget narrative is the justification of ‘how’ and/or ‘why’ a line. budget justification narrative for their own budget. the budget narrative, sometimes called the budget justification, is a companion to the budget (table,. When developing the budget request, applications must be consistent with the purpose, outcomes, and program strategy outlined. A. Narrative Justification Example.
From www.slideserve.com
PPT Position Request/Justification Process PowerPoint Presentation Narrative Justification Example budget justification narrative for their own budget. A budget narrative explains and justifies the. What is a budget narrative? learning the key components of a justification narrative can help you to write a stronger proposal and increase the. the following pages include examples for personnel justification, consortium justification and additional narrative. The budget narrative is the justification. Narrative Justification Example.
From dxouyizxn.blob.core.windows.net
Example Of A Budget Justification at Mandy Skiles blog Narrative Justification Example budget justification narrative for their own budget. When developing the budget request, applications must be consistent with the purpose, outcomes, and program strategy outlined. The budget narrative is the justification of ‘how’ and/or ‘why’ a line. the budget narrative, sometimes called the budget justification, is a companion to the budget (table,. What is a budget narrative? A budget. Narrative Justification Example.
From ahistoryg.blogspot.com
How To Write In Narrative Form Examples ahistoryg Narrative Justification Example budget justification narrative for their own budget. When developing the budget request, applications must be consistent with the purpose, outcomes, and program strategy outlined. the budget narrative, sometimes called the budget justification, is a companion to the budget (table,. A budget narrative explains and justifies the. the following pages include examples for personnel justification, consortium justification and. Narrative Justification Example.
From template-two-phi.vercel.app
Employee Promotion Justification Sample Templatetwo.vercel.app Narrative Justification Example A budget narrative explains and justifies the. learning the key components of a justification narrative can help you to write a stronger proposal and increase the. budget justification narrative for their own budget. When developing the budget request, applications must be consistent with the purpose, outcomes, and program strategy outlined. the following pages include examples for personnel. Narrative Justification Example.
From essaybasics.com
How to use Narrative Essay Examples Essay Basics Narrative Justification Example What is a budget narrative? When developing the budget request, applications must be consistent with the purpose, outcomes, and program strategy outlined. budget narrative instructions and example. A budget narrative explains and justifies the. the following pages include examples for personnel justification, consortium justification and additional narrative. The budget narrative is the justification of ‘how’ and/or ‘why’ a. Narrative Justification Example.