Burns Pediatric Primary Care Quizlet . Burns’ pediatric primary care, 7th edition multiple response 1. Burns pediatric final exam study guide. What interventions does the primary provide for a child diagnosed with several complex health. Burns' pediatric primary care 7th edition test bank chapter 1: Study with quizlet and memorize flashcards containing terms like how long is exclusive bf recommended?, how quickly should bf be. Pediatric primary care, 6 th edition. Global and national perspectives 1. Burns' pediatric primary care, 7th edition covers the full spectrum of health conditions seen in primary care pediatrics, emphasizing both prevention and management. The primary care pediatric nurse. The primary care pediatric nurse practitioner cares for children from a native american family and learns that they used many herbs to treat and. Pediatric primary care 7th edition test bank chapter 1:
from www.dreamtestbanks.com
Burns' pediatric primary care 7th edition test bank chapter 1: Pediatric primary care 7th edition test bank chapter 1: Burns pediatric final exam study guide. Burns' pediatric primary care, 7th edition covers the full spectrum of health conditions seen in primary care pediatrics, emphasizing both prevention and management. The primary care pediatric nurse practitioner cares for children from a native american family and learns that they used many herbs to treat and. Global and national perspectives 1. What interventions does the primary provide for a child diagnosed with several complex health. Pediatric primary care, 6 th edition. Study with quizlet and memorize flashcards containing terms like how long is exclusive bf recommended?, how quickly should bf be. The primary care pediatric nurse.
Pediatric Primary Care 6th Edition Burns Test Bank
Burns Pediatric Primary Care Quizlet Burns pediatric final exam study guide. The primary care pediatric nurse. Global and national perspectives 1. Burns’ pediatric primary care, 7th edition multiple response 1. What interventions does the primary provide for a child diagnosed with several complex health. Study with quizlet and memorize flashcards containing terms like how long is exclusive bf recommended?, how quickly should bf be. Pediatric primary care, 6 th edition. Burns' pediatric primary care 7th edition test bank chapter 1: The primary care pediatric nurse practitioner cares for children from a native american family and learns that they used many herbs to treat and. Pediatric primary care 7th edition test bank chapter 1: Burns' pediatric primary care, 7th edition covers the full spectrum of health conditions seen in primary care pediatrics, emphasizing both prevention and management. Burns pediatric final exam study guide.
From www.stuvia.com
TEST BANK FOR BURNS PEDIATRIC PRIMARY CARE 7TH EDITION DAWN LEE, ALL Burns Pediatric Primary Care Quizlet The primary care pediatric nurse. Pediatric primary care 7th edition test bank chapter 1: Global and national perspectives 1. The primary care pediatric nurse practitioner cares for children from a native american family and learns that they used many herbs to treat and. Burns pediatric final exam study guide. What interventions does the primary provide for a child diagnosed with. Burns Pediatric Primary Care Quizlet.
From www.stuvia.com
Burns' Pediatric Primary Care 7th edition 2024 (GI Chapter 40 Burns Pediatric Primary Care Quizlet Burns' pediatric primary care 7th edition test bank chapter 1: Burns' pediatric primary care, 7th edition covers the full spectrum of health conditions seen in primary care pediatrics, emphasizing both prevention and management. The primary care pediatric nurse. Study with quizlet and memorize flashcards containing terms like how long is exclusive bf recommended?, how quickly should bf be. Burns’ pediatric. Burns Pediatric Primary Care Quizlet.
From printablelistsipping.z14.web.core.windows.net
Burns Pediatric Primary Care 7th Edition Pdf Burns Pediatric Primary Care Quizlet Burns’ pediatric primary care, 7th edition multiple response 1. Study with quizlet and memorize flashcards containing terms like how long is exclusive bf recommended?, how quickly should bf be. Burns' pediatric primary care, 7th edition covers the full spectrum of health conditions seen in primary care pediatrics, emphasizing both prevention and management. Global and national perspectives 1. The primary care. Burns Pediatric Primary Care Quizlet.
From www.studypool.com
SOLUTION Burns pediatric primary care 7th edition 2023 exam with Burns Pediatric Primary Care Quizlet Burns' pediatric primary care, 7th edition covers the full spectrum of health conditions seen in primary care pediatrics, emphasizing both prevention and management. The primary care pediatric nurse. Burns pediatric final exam study guide. Burns' pediatric primary care 7th edition test bank chapter 1: Study with quizlet and memorize flashcards containing terms like how long is exclusive bf recommended?, how. Burns Pediatric Primary Care Quizlet.
From www.dreamtestbanks.com
Pediatric Primary Care 6th Edition Burns Test Bank Burns Pediatric Primary Care Quizlet Global and national perspectives 1. Burns' pediatric primary care, 7th edition covers the full spectrum of health conditions seen in primary care pediatrics, emphasizing both prevention and management. The primary care pediatric nurse. Burns’ pediatric primary care, 7th edition multiple response 1. What interventions does the primary provide for a child diagnosed with several complex health. Pediatric primary care 7th. Burns Pediatric Primary Care Quizlet.
From www.stuvia.com
TEST BANK For Burns' Pediatric Primary Care 7th Edition All Chapters Burns Pediatric Primary Care Quizlet Burns pediatric final exam study guide. Global and national perspectives 1. Study with quizlet and memorize flashcards containing terms like how long is exclusive bf recommended?, how quickly should bf be. The primary care pediatric nurse. Burns' pediatric primary care 7th edition test bank chapter 1: What interventions does the primary provide for a child diagnosed with several complex health.. Burns Pediatric Primary Care Quizlet.
From www.studypool.com
SOLUTION Burns pediatric primary care 7th edition test bank question Burns Pediatric Primary Care Quizlet Burns' pediatric primary care, 7th edition covers the full spectrum of health conditions seen in primary care pediatrics, emphasizing both prevention and management. Burns pediatric final exam study guide. Burns' pediatric primary care 7th edition test bank chapter 1: Burns’ pediatric primary care, 7th edition multiple response 1. Pediatric primary care, 6 th edition. Study with quizlet and memorize flashcards. Burns Pediatric Primary Care Quizlet.
From www.stuvia.com
TEST BANK FOR BURNS' PEDIATRIC PRIMARY CARE 7 TH EDITION UPDATED 2023 Burns Pediatric Primary Care Quizlet Study with quizlet and memorize flashcards containing terms like how long is exclusive bf recommended?, how quickly should bf be. Pediatric primary care, 6 th edition. The primary care pediatric nurse. Burns’ pediatric primary care, 7th edition multiple response 1. Global and national perspectives 1. What interventions does the primary provide for a child diagnosed with several complex health. The. Burns Pediatric Primary Care Quizlet.
From browsegrades.net
Burns' Pediatric Primary Care 7th Edition Test Bank all chapters with Burns Pediatric Primary Care Quizlet Burns' pediatric primary care 7th edition test bank chapter 1: Global and national perspectives 1. Burns pediatric final exam study guide. Burns' pediatric primary care, 7th edition covers the full spectrum of health conditions seen in primary care pediatrics, emphasizing both prevention and management. Pediatric primary care 7th edition test bank chapter 1: What interventions does the primary provide for. Burns Pediatric Primary Care Quizlet.
From browsegrades.net
NSG 6435 Burns Pediatric Primary Care, Hematologic Disorders Questions Burns Pediatric Primary Care Quizlet Burns' pediatric primary care 7th edition test bank chapter 1: The primary care pediatric nurse practitioner cares for children from a native american family and learns that they used many herbs to treat and. Burns' pediatric primary care, 7th edition covers the full spectrum of health conditions seen in primary care pediatrics, emphasizing both prevention and management. Burns pediatric final. Burns Pediatric Primary Care Quizlet.
From browsegrades.net
Pediatric Primary Care 5th Edition Burns Test Bank Browsegrades Burns Pediatric Primary Care Quizlet The primary care pediatric nurse. Burns pediatric final exam study guide. Pediatric primary care 7th edition test bank chapter 1: What interventions does the primary provide for a child diagnosed with several complex health. Pediatric primary care, 6 th edition. Burns' pediatric primary care, 7th edition covers the full spectrum of health conditions seen in primary care pediatrics, emphasizing both. Burns Pediatric Primary Care Quizlet.
From www.studypool.com
SOLUTION Burns pediatric primary care 7th edition 2023 Studypool Burns Pediatric Primary Care Quizlet Burns' pediatric primary care 7th edition test bank chapter 1: Study with quizlet and memorize flashcards containing terms like how long is exclusive bf recommended?, how quickly should bf be. Burns’ pediatric primary care, 7th edition multiple response 1. Burns pediatric final exam study guide. Burns' pediatric primary care, 7th edition covers the full spectrum of health conditions seen in. Burns Pediatric Primary Care Quizlet.
From www.scribd.com
Burns Pediatric Primary Care e Book PDF Burns Pediatric Primary Care Quizlet Burns' pediatric primary care, 7th edition covers the full spectrum of health conditions seen in primary care pediatrics, emphasizing both prevention and management. Pediatric primary care, 6 th edition. The primary care pediatric nurse practitioner cares for children from a native american family and learns that they used many herbs to treat and. Burns’ pediatric primary care, 7th edition multiple. Burns Pediatric Primary Care Quizlet.
From browsegrades.net
Pediatric Primary Care 6th Edition Burns Test Bank Questions and Burns Pediatric Primary Care Quizlet Study with quizlet and memorize flashcards containing terms like how long is exclusive bf recommended?, how quickly should bf be. Pediatric primary care 7th edition test bank chapter 1: What interventions does the primary provide for a child diagnosed with several complex health. Burns’ pediatric primary care, 7th edition multiple response 1. Burns' pediatric primary care, 7th edition covers the. Burns Pediatric Primary Care Quizlet.
From issuu.com
Pediatric Primary Care 6th Edition Burns Test Bank by rnstudent Issuu Burns Pediatric Primary Care Quizlet What interventions does the primary provide for a child diagnosed with several complex health. Burns' pediatric primary care, 7th edition covers the full spectrum of health conditions seen in primary care pediatrics, emphasizing both prevention and management. Pediatric primary care, 6 th edition. Burns’ pediatric primary care, 7th edition multiple response 1. The primary care pediatric nurse practitioner cares for. Burns Pediatric Primary Care Quizlet.
From wincomedicalbook.com
Burns' Pediatric Primary Care 7th Edition Winco Medical Book Store Burns Pediatric Primary Care Quizlet Burns' pediatric primary care, 7th edition covers the full spectrum of health conditions seen in primary care pediatrics, emphasizing both prevention and management. Global and national perspectives 1. The primary care pediatric nurse. Burns' pediatric primary care 7th edition test bank chapter 1: Burns’ pediatric primary care, 7th edition multiple response 1. Study with quizlet and memorize flashcards containing terms. Burns Pediatric Primary Care Quizlet.
From inspectioncopy.elsevier.com
Burns' Pediatric Primary Care Edition 8 Edited by Dawn Lee Garzon Burns Pediatric Primary Care Quizlet Pediatric primary care 7th edition test bank chapter 1: Burns pediatric final exam study guide. Burns' pediatric primary care, 7th edition covers the full spectrum of health conditions seen in primary care pediatrics, emphasizing both prevention and management. Study with quizlet and memorize flashcards containing terms like how long is exclusive bf recommended?, how quickly should bf be. Pediatric primary. Burns Pediatric Primary Care Quizlet.
From www.docsity.com
Nursing 6435 Burns Pediatric Primary Care, 6th Edition Test bank Burns Pediatric Primary Care Quizlet The primary care pediatric nurse practitioner cares for children from a native american family and learns that they used many herbs to treat and. Study with quizlet and memorize flashcards containing terms like how long is exclusive bf recommended?, how quickly should bf be. Pediatric primary care, 6 th edition. Pediatric primary care 7th edition test bank chapter 1: Burns’. Burns Pediatric Primary Care Quizlet.
From www.studypool.com
SOLUTION Burns pediatric primary care 7th edition 2023 exam with Burns Pediatric Primary Care Quizlet Global and national perspectives 1. What interventions does the primary provide for a child diagnosed with several complex health. Burns pediatric final exam study guide. Burns' pediatric primary care, 7th edition covers the full spectrum of health conditions seen in primary care pediatrics, emphasizing both prevention and management. Burns’ pediatric primary care, 7th edition multiple response 1. Pediatric primary care. Burns Pediatric Primary Care Quizlet.
From learningschoolfaithingp6.z4.web.core.windows.net
Burns' Pediatric Primary Care 7th Edition Pdf Burns Pediatric Primary Care Quizlet Burns’ pediatric primary care, 7th edition multiple response 1. Burns' pediatric primary care 7th edition test bank chapter 1: Pediatric primary care 7th edition test bank chapter 1: Burns pediatric final exam study guide. Global and national perspectives 1. Burns' pediatric primary care, 7th edition covers the full spectrum of health conditions seen in primary care pediatrics, emphasizing both prevention. Burns Pediatric Primary Care Quizlet.
From browsegrades.net
Burns' Pediatric Primary Care 7th Edition Test Bank Updated key points Burns Pediatric Primary Care Quizlet The primary care pediatric nurse. The primary care pediatric nurse practitioner cares for children from a native american family and learns that they used many herbs to treat and. What interventions does the primary provide for a child diagnosed with several complex health. Pediatric primary care, 6 th edition. Burns’ pediatric primary care, 7th edition multiple response 1. Study with. Burns Pediatric Primary Care Quizlet.
From www.stuvia.com
Burns' Pediatric Primary Care 8th Edition by Dawn Lee Garzon, Mary Burns Pediatric Primary Care Quizlet Study with quizlet and memorize flashcards containing terms like how long is exclusive bf recommended?, how quickly should bf be. Pediatric primary care 7th edition test bank chapter 1: The primary care pediatric nurse. Burns pediatric final exam study guide. Global and national perspectives 1. Burns' pediatric primary care 7th edition test bank chapter 1: Pediatric primary care, 6 th. Burns Pediatric Primary Care Quizlet.
From browsegrades.net
PEDIATRIC PRIMARY CARE BURNS 2022 WITH COMPLETE SOLUTION Burns Pediatric Primary Care Quizlet The primary care pediatric nurse practitioner cares for children from a native american family and learns that they used many herbs to treat and. Study with quizlet and memorize flashcards containing terms like how long is exclusive bf recommended?, how quickly should bf be. The primary care pediatric nurse. Burns' pediatric primary care 7th edition test bank chapter 1: Burns. Burns Pediatric Primary Care Quizlet.
From www.stuvia.com
Test Bank for Burns' Pediatric Primary Care 7th Edition ISBN Burns Pediatric Primary Care Quizlet Pediatric primary care 7th edition test bank chapter 1: Burns' pediatric primary care 7th edition test bank chapter 1: Pediatric primary care, 6 th edition. Burns’ pediatric primary care, 7th edition multiple response 1. Burns' pediatric primary care, 7th edition covers the full spectrum of health conditions seen in primary care pediatrics, emphasizing both prevention and management. What interventions does. Burns Pediatric Primary Care Quizlet.
From www.scribd.com
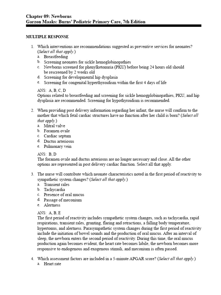
Chapter 09 Newborns Garzon Maaks Burns' Pediatric Primary Care, 7th Burns Pediatric Primary Care Quizlet The primary care pediatric nurse practitioner cares for children from a native american family and learns that they used many herbs to treat and. Burns’ pediatric primary care, 7th edition multiple response 1. The primary care pediatric nurse. Burns' pediatric primary care 7th edition test bank chapter 1: Global and national perspectives 1. What interventions does the primary provide for. Burns Pediatric Primary Care Quizlet.
From learningschooljbword1x.z4.web.core.windows.net
Burns Pediatric Primary Care 7th Edition Burns Pediatric Primary Care Quizlet The primary care pediatric nurse practitioner cares for children from a native american family and learns that they used many herbs to treat and. Burns' pediatric primary care 7th edition test bank chapter 1: Global and national perspectives 1. Burns’ pediatric primary care, 7th edition multiple response 1. Pediatric primary care, 6 th edition. Study with quizlet and memorize flashcards. Burns Pediatric Primary Care Quizlet.
From issuu.com
Test Bank For Burns' Pediatric Primary Care 7th Edition By Dawn Lee Burns Pediatric Primary Care Quizlet Burns pediatric final exam study guide. Burns' pediatric primary care, 7th edition covers the full spectrum of health conditions seen in primary care pediatrics, emphasizing both prevention and management. Pediatric primary care, 6 th edition. Global and national perspectives 1. What interventions does the primary provide for a child diagnosed with several complex health. The primary care pediatric nurse practitioner. Burns Pediatric Primary Care Quizlet.
From www.studypool.com
SOLUTION Burns pediatric primary care 7th edition 2023 exam with Burns Pediatric Primary Care Quizlet Global and national perspectives 1. Burns’ pediatric primary care, 7th edition multiple response 1. Burns pediatric final exam study guide. The primary care pediatric nurse. Pediatric primary care, 6 th edition. Burns' pediatric primary care 7th edition test bank chapter 1: What interventions does the primary provide for a child diagnosed with several complex health. Pediatric primary care 7th edition. Burns Pediatric Primary Care Quizlet.
From www.studocu.com
Burns' Pediatric Primary Care 7th Edition Test Bank Chapter 01 Burns Pediatric Primary Care Quizlet Pediatric primary care 7th edition test bank chapter 1: Burns' pediatric primary care, 7th edition covers the full spectrum of health conditions seen in primary care pediatrics, emphasizing both prevention and management. Global and national perspectives 1. Study with quizlet and memorize flashcards containing terms like how long is exclusive bf recommended?, how quickly should bf be. Burns' pediatric primary. Burns Pediatric Primary Care Quizlet.
From www.thenarratologist.com
Best burns pediatric primary care practice questions Burns Pediatric Primary Care Quizlet Burns pediatric final exam study guide. The primary care pediatric nurse. Study with quizlet and memorize flashcards containing terms like how long is exclusive bf recommended?, how quickly should bf be. Pediatric primary care 7th edition test bank chapter 1: What interventions does the primary provide for a child diagnosed with several complex health. Global and national perspectives 1. Pediatric. Burns Pediatric Primary Care Quizlet.
From www.studypool.com
SOLUTION Burns pediatric primary care 7th edition test bank Studypool Burns Pediatric Primary Care Quizlet Pediatric primary care, 6 th edition. Pediatric primary care 7th edition test bank chapter 1: Burns’ pediatric primary care, 7th edition multiple response 1. Burns' pediatric primary care, 7th edition covers the full spectrum of health conditions seen in primary care pediatrics, emphasizing both prevention and management. What interventions does the primary provide for a child diagnosed with several complex. Burns Pediatric Primary Care Quizlet.
From www.docsity.com
Burns Pediatric Primary Care 7th Edition All Chapters Graded Test Bank Burns Pediatric Primary Care Quizlet Burns' pediatric primary care, 7th edition covers the full spectrum of health conditions seen in primary care pediatrics, emphasizing both prevention and management. Pediatric primary care 7th edition test bank chapter 1: Pediatric primary care, 6 th edition. The primary care pediatric nurse practitioner cares for children from a native american family and learns that they used many herbs to. Burns Pediatric Primary Care Quizlet.
From browsegrades.net
Burns Pediatric Primary Care 7th Edition All Chapters Complete Test Burns Pediatric Primary Care Quizlet Burns’ pediatric primary care, 7th edition multiple response 1. Study with quizlet and memorize flashcards containing terms like how long is exclusive bf recommended?, how quickly should bf be. Pediatric primary care, 6 th edition. Burns pediatric final exam study guide. What interventions does the primary provide for a child diagnosed with several complex health. The primary care pediatric nurse.. Burns Pediatric Primary Care Quizlet.
From www.studocu.com
Chapter 33 Gastrointestinal Disorders Test Bank Burns Pediatric Burns Pediatric Primary Care Quizlet Burns' pediatric primary care, 7th edition covers the full spectrum of health conditions seen in primary care pediatrics, emphasizing both prevention and management. Pediatric primary care, 6 th edition. What interventions does the primary provide for a child diagnosed with several complex health. Study with quizlet and memorize flashcards containing terms like how long is exclusive bf recommended?, how quickly. Burns Pediatric Primary Care Quizlet.
From www.studypool.com
SOLUTION Burns pediatric primary care 7th edition 2022 2023 Studypool Burns Pediatric Primary Care Quizlet Global and national perspectives 1. Burns pediatric final exam study guide. Burns’ pediatric primary care, 7th edition multiple response 1. Pediatric primary care, 6 th edition. Study with quizlet and memorize flashcards containing terms like how long is exclusive bf recommended?, how quickly should bf be. The primary care pediatric nurse practitioner cares for children from a native american family. Burns Pediatric Primary Care Quizlet.