Loose Leaf Form . However, you need to have orus account before you. A sheaf form of catalogue is one in which slips of. In a very general definition, loose leaf tea is a tea that does not come prepackaged in tea bags. Address this to the revenue district office (rdo) where your business is registered. Bureau of internal revenue (bir) registered looseleaf official receipt and/or sales invoice is a type of sales document that is issued to customers as proof of sale of service and/or product, lease of property, and sale of property. Unlike bagged tea, loose leaf tea isn’t crushed into a teabag, allowing it to keep its flavor,. These are also known as loose leaf certificates and short form. Loose leaf / short form / notary certificate examples. You can submit your application for permit to use loose leaf (bir form 1900) via bir’s online registration and update system (orus).
from www.vrogue.co
You can submit your application for permit to use loose leaf (bir form 1900) via bir’s online registration and update system (orus). Unlike bagged tea, loose leaf tea isn’t crushed into a teabag, allowing it to keep its flavor,. Address this to the revenue district office (rdo) where your business is registered. Bureau of internal revenue (bir) registered looseleaf official receipt and/or sales invoice is a type of sales document that is issued to customers as proof of sale of service and/or product, lease of property, and sale of property. In a very general definition, loose leaf tea is a tea that does not come prepackaged in tea bags. A sheaf form of catalogue is one in which slips of. These are also known as loose leaf certificates and short form. Loose leaf / short form / notary certificate examples. However, you need to have orus account before you.
Printable Loose Leaf Paper Clipart Best vrogue.co
Loose Leaf Form In a very general definition, loose leaf tea is a tea that does not come prepackaged in tea bags. Loose leaf / short form / notary certificate examples. A sheaf form of catalogue is one in which slips of. You can submit your application for permit to use loose leaf (bir form 1900) via bir’s online registration and update system (orus). In a very general definition, loose leaf tea is a tea that does not come prepackaged in tea bags. Address this to the revenue district office (rdo) where your business is registered. Unlike bagged tea, loose leaf tea isn’t crushed into a teabag, allowing it to keep its flavor,. Bureau of internal revenue (bir) registered looseleaf official receipt and/or sales invoice is a type of sales document that is issued to customers as proof of sale of service and/or product, lease of property, and sale of property. However, you need to have orus account before you. These are also known as loose leaf certificates and short form.
From www.amazon.com
Loose Leaf for Exercise Physiology Laboratory Manual 9781265799793 Loose Leaf Form These are also known as loose leaf certificates and short form. Loose leaf / short form / notary certificate examples. A sheaf form of catalogue is one in which slips of. In a very general definition, loose leaf tea is a tea that does not come prepackaged in tea bags. Address this to the revenue district office (rdo) where your. Loose Leaf Form.
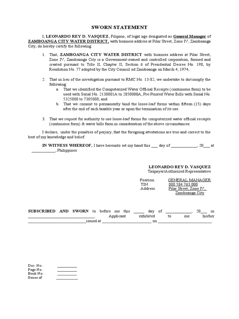
From www.uslegalforms.com
Sworn Statement For Loose Leaf Application US Legal Forms Loose Leaf Form A sheaf form of catalogue is one in which slips of. Bureau of internal revenue (bir) registered looseleaf official receipt and/or sales invoice is a type of sales document that is issued to customers as proof of sale of service and/or product, lease of property, and sale of property. Loose leaf / short form / notary certificate examples. Address this. Loose Leaf Form.
From www.clipartbest.com
Loose Leaf Paper Template ClipArt Best Loose Leaf Form These are also known as loose leaf certificates and short form. You can submit your application for permit to use loose leaf (bir form 1900) via bir’s online registration and update system (orus). Address this to the revenue district office (rdo) where your business is registered. Unlike bagged tea, loose leaf tea isn’t crushed into a teabag, allowing it to. Loose Leaf Form.
From 4pfoods.com
Your Guide to Loose Leaf Herbal Teas And How To Use Them 4P Foods Loose Leaf Form In a very general definition, loose leaf tea is a tea that does not come prepackaged in tea bags. You can submit your application for permit to use loose leaf (bir form 1900) via bir’s online registration and update system (orus). Address this to the revenue district office (rdo) where your business is registered. These are also known as loose. Loose Leaf Form.
From www.scribd.com
Loose Leaf Loose Leaf Form Bureau of internal revenue (bir) registered looseleaf official receipt and/or sales invoice is a type of sales document that is issued to customers as proof of sale of service and/or product, lease of property, and sale of property. These are also known as loose leaf certificates and short form. In a very general definition, loose leaf tea is a tea. Loose Leaf Form.
From templates.udlvirtual.edu.pe
Loose Leaf Paper Printable Free Printable Templates Loose Leaf Form Loose leaf / short form / notary certificate examples. However, you need to have orus account before you. These are also known as loose leaf certificates and short form. Unlike bagged tea, loose leaf tea isn’t crushed into a teabag, allowing it to keep its flavor,. Bureau of internal revenue (bir) registered looseleaf official receipt and/or sales invoice is a. Loose Leaf Form.
From www.scribd.com
Sworn Statement for Manual Loose Leaf PDF Loose Leaf Form You can submit your application for permit to use loose leaf (bir form 1900) via bir’s online registration and update system (orus). Address this to the revenue district office (rdo) where your business is registered. A sheaf form of catalogue is one in which slips of. However, you need to have orus account before you. These are also known as. Loose Leaf Form.
From schoolzone.partsight.org.uk
A4 Loose Leaf Sheets Squared Loose Leaf Form Address this to the revenue district office (rdo) where your business is registered. A sheaf form of catalogue is one in which slips of. However, you need to have orus account before you. These are also known as loose leaf certificates and short form. You can submit your application for permit to use loose leaf (bir form 1900) via bir’s. Loose Leaf Form.
From admin.designsnprint.com
Payroll Forms, Loose Leaf DesignsnPrint Loose Leaf Form These are also known as loose leaf certificates and short form. In a very general definition, loose leaf tea is a tea that does not come prepackaged in tea bags. A sheaf form of catalogue is one in which slips of. Bureau of internal revenue (bir) registered looseleaf official receipt and/or sales invoice is a type of sales document that. Loose Leaf Form.
From www.walmart.com
LooseLeaf Forms 3Ring Binder Loose Leaf Form Loose leaf / short form / notary certificate examples. However, you need to have orus account before you. Bureau of internal revenue (bir) registered looseleaf official receipt and/or sales invoice is a type of sales document that is issued to customers as proof of sale of service and/or product, lease of property, and sale of property. Address this to the. Loose Leaf Form.
From feedingtrends.com
The Health Benefits and Risks of Smoking Loose Leaf Wraps Loose Leaf Form Bureau of internal revenue (bir) registered looseleaf official receipt and/or sales invoice is a type of sales document that is issued to customers as proof of sale of service and/or product, lease of property, and sale of property. Address this to the revenue district office (rdo) where your business is registered. However, you need to have orus account before you.. Loose Leaf Form.
From www.dreamstime.com
Sheet of Loose Leaf Paper stock vector. Illustration of assignment Loose Leaf Form Unlike bagged tea, loose leaf tea isn’t crushed into a teabag, allowing it to keep its flavor,. Address this to the revenue district office (rdo) where your business is registered. These are also known as loose leaf certificates and short form. Loose leaf / short form / notary certificate examples. A sheaf form of catalogue is one in which slips. Loose Leaf Form.
From mpm.ph
BIR Registered Looseleaf Official Receipt and/or Sales Invoice Loose Leaf Form You can submit your application for permit to use loose leaf (bir form 1900) via bir’s online registration and update system (orus). However, you need to have orus account before you. Bureau of internal revenue (bir) registered looseleaf official receipt and/or sales invoice is a type of sales document that is issued to customers as proof of sale of service. Loose Leaf Form.
From templates.udlvirtual.edu.pe
Loose Leaf Paper Printable Free Printable Templates Loose Leaf Form However, you need to have orus account before you. Loose leaf / short form / notary certificate examples. You can submit your application for permit to use loose leaf (bir form 1900) via bir’s online registration and update system (orus). In a very general definition, loose leaf tea is a tea that does not come prepackaged in tea bags. A. Loose Leaf Form.
From filipiknow.net
An Ultimate Guide to Loose Leaf Books of Accounts Application Loose Leaf Form Address this to the revenue district office (rdo) where your business is registered. A sheaf form of catalogue is one in which slips of. In a very general definition, loose leaf tea is a tea that does not come prepackaged in tea bags. These are also known as loose leaf certificates and short form. Loose leaf / short form /. Loose Leaf Form.
From schoolzone.partsight.org.uk
A4 Loose Leaf Sheets 100 pages Loose Leaf Form Loose leaf / short form / notary certificate examples. Bureau of internal revenue (bir) registered looseleaf official receipt and/or sales invoice is a type of sales document that is issued to customers as proof of sale of service and/or product, lease of property, and sale of property. You can submit your application for permit to use loose leaf (bir form. Loose Leaf Form.
From blog.printable-free.com
Loose Leaf Paper Printable Free Get What You Need For Free Loose Leaf Form Loose leaf / short form / notary certificate examples. Unlike bagged tea, loose leaf tea isn’t crushed into a teabag, allowing it to keep its flavor,. A sheaf form of catalogue is one in which slips of. In a very general definition, loose leaf tea is a tea that does not come prepackaged in tea bags. You can submit your. Loose Leaf Form.
From classroombuddies.com
Loose Leaf Paper Educational Laminated Chart Loose Leaf Form A sheaf form of catalogue is one in which slips of. These are also known as loose leaf certificates and short form. Address this to the revenue district office (rdo) where your business is registered. Unlike bagged tea, loose leaf tea isn’t crushed into a teabag, allowing it to keep its flavor,. You can submit your application for permit to. Loose Leaf Form.
From www.scribd.com
Sworn StatementBir Loose Leaf PDF Justice Crime & Violence Loose Leaf Form A sheaf form of catalogue is one in which slips of. However, you need to have orus account before you. Unlike bagged tea, loose leaf tea isn’t crushed into a teabag, allowing it to keep its flavor,. Bureau of internal revenue (bir) registered looseleaf official receipt and/or sales invoice is a type of sales document that is issued to customers. Loose Leaf Form.
From www.jjkeller.com
Small LooseLeaf Forms Binder Loose Leaf Form Unlike bagged tea, loose leaf tea isn’t crushed into a teabag, allowing it to keep its flavor,. A sheaf form of catalogue is one in which slips of. These are also known as loose leaf certificates and short form. You can submit your application for permit to use loose leaf (bir form 1900) via bir’s online registration and update system. Loose Leaf Form.
From english.ocr.org.uk
Printable Loose Leaf Paper Loose Leaf Form However, you need to have orus account before you. Loose leaf / short form / notary certificate examples. You can submit your application for permit to use loose leaf (bir form 1900) via bir’s online registration and update system (orus). A sheaf form of catalogue is one in which slips of. In a very general definition, loose leaf tea is. Loose Leaf Form.
From pangobooks.com
Loose Leaf for Biology the Essentials Loose Leaf Form Address this to the revenue district office (rdo) where your business is registered. Loose leaf / short form / notary certificate examples. Bureau of internal revenue (bir) registered looseleaf official receipt and/or sales invoice is a type of sales document that is issued to customers as proof of sale of service and/or product, lease of property, and sale of property.. Loose Leaf Form.
From www.driverlogbooks.com
716R Looseleaf Forms Binder Large Size 10" W x 11 5/8" L For Your Loose Leaf Form Loose leaf / short form / notary certificate examples. Address this to the revenue district office (rdo) where your business is registered. A sheaf form of catalogue is one in which slips of. These are also known as loose leaf certificates and short form. You can submit your application for permit to use loose leaf (bir form 1900) via bir’s. Loose Leaf Form.
From www.668.com.hk
2001 Loose Leaf Account Sheets General Ledger Loose Leaf Form In a very general definition, loose leaf tea is a tea that does not come prepackaged in tea bags. These are also known as loose leaf certificates and short form. You can submit your application for permit to use loose leaf (bir form 1900) via bir’s online registration and update system (orus). Address this to the revenue district office (rdo). Loose Leaf Form.
From www.dreamstime.com
Sheet of Loose Leaf Paper stock vector. Illustration of assignment Loose Leaf Form Bureau of internal revenue (bir) registered looseleaf official receipt and/or sales invoice is a type of sales document that is issued to customers as proof of sale of service and/or product, lease of property, and sale of property. Unlike bagged tea, loose leaf tea isn’t crushed into a teabag, allowing it to keep its flavor,. Loose leaf / short form. Loose Leaf Form.
From mpm.ph
Loose Leaf Books of Accounts Annual Submission Loose Leaf Form A sheaf form of catalogue is one in which slips of. Loose leaf / short form / notary certificate examples. However, you need to have orus account before you. These are also known as loose leaf certificates and short form. You can submit your application for permit to use loose leaf (bir form 1900) via bir’s online registration and update. Loose Leaf Form.
From templates.esad.edu.br
Printable Loose Leaf Paper Loose Leaf Form Address this to the revenue district office (rdo) where your business is registered. These are also known as loose leaf certificates and short form. You can submit your application for permit to use loose leaf (bir form 1900) via bir’s online registration and update system (orus). In a very general definition, loose leaf tea is a tea that does not. Loose Leaf Form.
From www.ryman.co.uk
A4 Loose Leaf Paper 8mm Ruled & Margin Loose Leaf Form However, you need to have orus account before you. In a very general definition, loose leaf tea is a tea that does not come prepackaged in tea bags. Bureau of internal revenue (bir) registered looseleaf official receipt and/or sales invoice is a type of sales document that is issued to customers as proof of sale of service and/or product, lease. Loose Leaf Form.
From www.qne.com.ph
How to apply for BIR Loose Leaf? QNE Software Philippines, Inc. Loose Leaf Form Address this to the revenue district office (rdo) where your business is registered. In a very general definition, loose leaf tea is a tea that does not come prepackaged in tea bags. However, you need to have orus account before you. These are also known as loose leaf certificates and short form. Loose leaf / short form / notary certificate. Loose Leaf Form.
From www.qne.com.ph
How to apply for BIR Loose Leaf? QNE Software Philippines, Inc. Loose Leaf Form You can submit your application for permit to use loose leaf (bir form 1900) via bir’s online registration and update system (orus). A sheaf form of catalogue is one in which slips of. Bureau of internal revenue (bir) registered looseleaf official receipt and/or sales invoice is a type of sales document that is issued to customers as proof of sale. Loose Leaf Form.
From www.vrogue.co
Printable Loose Leaf Paper Clipart Best vrogue.co Loose Leaf Form These are also known as loose leaf certificates and short form. A sheaf form of catalogue is one in which slips of. You can submit your application for permit to use loose leaf (bir form 1900) via bir’s online registration and update system (orus). Bureau of internal revenue (bir) registered looseleaf official receipt and/or sales invoice is a type of. Loose Leaf Form.
From www.grainger.com
AMPAD Loose Leaf Paper, Sheet Size 11 x 8 1/2 in, Medi um, Number of Loose Leaf Form A sheaf form of catalogue is one in which slips of. These are also known as loose leaf certificates and short form. Loose leaf / short form / notary certificate examples. However, you need to have orus account before you. Unlike bagged tea, loose leaf tea isn’t crushed into a teabag, allowing it to keep its flavor,. Address this to. Loose Leaf Form.
From www.amazon.in
Mahavir Loose Leaf Report Pad A4 Size Ruled Pre Punched for Easy Loose Leaf Form Unlike bagged tea, loose leaf tea isn’t crushed into a teabag, allowing it to keep its flavor,. Address this to the revenue district office (rdo) where your business is registered. In a very general definition, loose leaf tea is a tea that does not come prepackaged in tea bags. Loose leaf / short form / notary certificate examples. A sheaf. Loose Leaf Form.
From www.kalamazoo.com.au
Loose Leaf Forms Kalamazoo Loose Leaf Form Address this to the revenue district office (rdo) where your business is registered. You can submit your application for permit to use loose leaf (bir form 1900) via bir’s online registration and update system (orus). A sheaf form of catalogue is one in which slips of. Loose leaf / short form / notary certificate examples. These are also known as. Loose Leaf Form.
From www.clipartbest.com
Printable Loose Leaf Paper ClipArt Best Loose Leaf Form Unlike bagged tea, loose leaf tea isn’t crushed into a teabag, allowing it to keep its flavor,. A sheaf form of catalogue is one in which slips of. You can submit your application for permit to use loose leaf (bir form 1900) via bir’s online registration and update system (orus). Bureau of internal revenue (bir) registered looseleaf official receipt and/or. Loose Leaf Form.