Are Medical Notes Legal Documents . The legal medical record is a combination of both a clinical medical record and a designated record set. How to correct medical records ; Falsifying medical records, whether you're a medical worker or not, is illegal. Hipaa provides patients with a legal, enforceable right to see and receive copies of their medical information and other health records upon request from their healthcare. Medical notes are legal documents that can be used as evidence in court cases, audits, investigations, or complaints. Tips medical practitioners who falsify medical. Therefore, medical notes must comply with the. The privacy rule gives you, with few exceptions, the right to inspect, review, and receive a copy of your medical records and billing records that are held by health plans and. How long are medical records kept? The cert program is managed by 2 contractors: How to request medical records as a legal professional ; The cert statistical contractor determines how claims are sampled and calculates any improper payments. Making your request go smoothly ;
from templatediy.com
Therefore, medical notes must comply with the. How to request medical records as a legal professional ; Hipaa provides patients with a legal, enforceable right to see and receive copies of their medical information and other health records upon request from their healthcare. Medical notes are legal documents that can be used as evidence in court cases, audits, investigations, or complaints. Making your request go smoothly ; The legal medical record is a combination of both a clinical medical record and a designated record set. Tips medical practitioners who falsify medical. Falsifying medical records, whether you're a medical worker or not, is illegal. How to correct medical records ; The cert program is managed by 2 contractors:
Doctors Note For Surgery Template Printable in PDF & Word
Are Medical Notes Legal Documents How to correct medical records ; Medical notes are legal documents that can be used as evidence in court cases, audits, investigations, or complaints. How to request medical records as a legal professional ; Making your request go smoothly ; Therefore, medical notes must comply with the. The cert program is managed by 2 contractors: How to correct medical records ; Tips medical practitioners who falsify medical. The privacy rule gives you, with few exceptions, the right to inspect, review, and receive a copy of your medical records and billing records that are held by health plans and. The cert statistical contractor determines how claims are sampled and calculates any improper payments. The legal medical record is a combination of both a clinical medical record and a designated record set. Hipaa provides patients with a legal, enforceable right to see and receive copies of their medical information and other health records upon request from their healthcare. Falsifying medical records, whether you're a medical worker or not, is illegal. How long are medical records kept?
From www.docformats.com
Medical Note Template 30+ Doctor Note Samples Are Medical Notes Legal Documents Tips medical practitioners who falsify medical. How to request medical records as a legal professional ; Falsifying medical records, whether you're a medical worker or not, is illegal. The legal medical record is a combination of both a clinical medical record and a designated record set. Medical notes are legal documents that can be used as evidence in court cases,. Are Medical Notes Legal Documents.
From projectopenletter.com
Free Printable Medical Progress Notes Printable Form, Templates and Are Medical Notes Legal Documents The cert program is managed by 2 contractors: The legal medical record is a combination of both a clinical medical record and a designated record set. Therefore, medical notes must comply with the. How to correct medical records ; Hipaa provides patients with a legal, enforceable right to see and receive copies of their medical information and other health records. Are Medical Notes Legal Documents.
From www.dexform.com
Sample doctor’s note in Word and Pdf formats Are Medical Notes Legal Documents The privacy rule gives you, with few exceptions, the right to inspect, review, and receive a copy of your medical records and billing records that are held by health plans and. The cert statistical contractor determines how claims are sampled and calculates any improper payments. How to correct medical records ; How long are medical records kept? Therefore, medical notes. Are Medical Notes Legal Documents.
From sample-templates123.com
Medical Note Template How To Create One In 2023 Free Sample, Example Are Medical Notes Legal Documents The legal medical record is a combination of both a clinical medical record and a designated record set. How long are medical records kept? Therefore, medical notes must comply with the. The cert program is managed by 2 contractors: Tips medical practitioners who falsify medical. How to correct medical records ; The cert statistical contractor determines how claims are sampled. Are Medical Notes Legal Documents.
From www.docformats.com
Medical Note Template 30+ Doctor Note Samples Are Medical Notes Legal Documents How to correct medical records ; Tips medical practitioners who falsify medical. Making your request go smoothly ; The privacy rule gives you, with few exceptions, the right to inspect, review, and receive a copy of your medical records and billing records that are held by health plans and. Hipaa provides patients with a legal, enforceable right to see and. Are Medical Notes Legal Documents.
From denizen.io
Printable Doctor Notes For Work Customize and Print Are Medical Notes Legal Documents Therefore, medical notes must comply with the. Falsifying medical records, whether you're a medical worker or not, is illegal. Hipaa provides patients with a legal, enforceable right to see and receive copies of their medical information and other health records upon request from their healthcare. The privacy rule gives you, with few exceptions, the right to inspect, review, and receive. Are Medical Notes Legal Documents.
From old.sermitsiaq.ag
Medical Notes Template Are Medical Notes Legal Documents The cert program is managed by 2 contractors: How to request medical records as a legal professional ; The privacy rule gives you, with few exceptions, the right to inspect, review, and receive a copy of your medical records and billing records that are held by health plans and. How to correct medical records ; How long are medical records. Are Medical Notes Legal Documents.
From www.studocu.com
Health law notes Health law Contents Module 1 to health law what is Are Medical Notes Legal Documents Making your request go smoothly ; Tips medical practitioners who falsify medical. How to request medical records as a legal professional ; How to correct medical records ; The privacy rule gives you, with few exceptions, the right to inspect, review, and receive a copy of your medical records and billing records that are held by health plans and. Hipaa. Are Medical Notes Legal Documents.
From www.templateroller.com
Form DL101 Download Fillable PDF or Fill Online Physician's Statement Are Medical Notes Legal Documents Medical notes are legal documents that can be used as evidence in court cases, audits, investigations, or complaints. Tips medical practitioners who falsify medical. Therefore, medical notes must comply with the. Making your request go smoothly ; How long are medical records kept? The cert program is managed by 2 contractors: Falsifying medical records, whether you're a medical worker or. Are Medical Notes Legal Documents.
From mungfali.com
Editable Doctors Note Template Are Medical Notes Legal Documents How to request medical records as a legal professional ; Therefore, medical notes must comply with the. How long are medical records kept? The cert program is managed by 2 contractors: Making your request go smoothly ; The privacy rule gives you, with few exceptions, the right to inspect, review, and receive a copy of your medical records and billing. Are Medical Notes Legal Documents.
From www.docformats.com
Medical Note Template 30+ Doctor Note Samples Are Medical Notes Legal Documents Hipaa provides patients with a legal, enforceable right to see and receive copies of their medical information and other health records upon request from their healthcare. How to request medical records as a legal professional ; Making your request go smoothly ; Therefore, medical notes must comply with the. The privacy rule gives you, with few exceptions, the right to. Are Medical Notes Legal Documents.
From www.docformats.com
Medical Note Template 30+ Doctor Note Samples Are Medical Notes Legal Documents Therefore, medical notes must comply with the. The cert statistical contractor determines how claims are sampled and calculates any improper payments. The cert program is managed by 2 contractors: Making your request go smoothly ; How to correct medical records ; How to request medical records as a legal professional ; How long are medical records kept? Hipaa provides patients. Are Medical Notes Legal Documents.
From sampletemplateinspiration.blogspot.com
Consult Note Template Sample Template Inspiration Are Medical Notes Legal Documents Hipaa provides patients with a legal, enforceable right to see and receive copies of their medical information and other health records upon request from their healthcare. Therefore, medical notes must comply with the. Medical notes are legal documents that can be used as evidence in court cases, audits, investigations, or complaints. Falsifying medical records, whether you're a medical worker or. Are Medical Notes Legal Documents.
From www.studocu.com
Medical Notes2015 fdgfd fd gfdgdfs dfsgdfg Medical Law Notes 2015 Are Medical Notes Legal Documents The cert program is managed by 2 contractors: How long are medical records kept? Making your request go smoothly ; How to correct medical records ; How to request medical records as a legal professional ; Tips medical practitioners who falsify medical. The privacy rule gives you, with few exceptions, the right to inspect, review, and receive a copy of. Are Medical Notes Legal Documents.
From mungfali.com
Medical Death Note Template Are Medical Notes Legal Documents Therefore, medical notes must comply with the. How long are medical records kept? Making your request go smoothly ; How to request medical records as a legal professional ; Tips medical practitioners who falsify medical. The legal medical record is a combination of both a clinical medical record and a designated record set. Medical notes are legal documents that can. Are Medical Notes Legal Documents.
From geekymedics.com
Writing in the Notes an overview Geeky Medics Are Medical Notes Legal Documents How long are medical records kept? The cert statistical contractor determines how claims are sampled and calculates any improper payments. Hipaa provides patients with a legal, enforceable right to see and receive copies of their medical information and other health records upon request from their healthcare. The privacy rule gives you, with few exceptions, the right to inspect, review, and. Are Medical Notes Legal Documents.
From www.carepatron.com
Patient Note Template & Example Free PDF Download Are Medical Notes Legal Documents How to request medical records as a legal professional ; The cert program is managed by 2 contractors: Tips medical practitioners who falsify medical. How long are medical records kept? The legal medical record is a combination of both a clinical medical record and a designated record set. How to correct medical records ; Making your request go smoothly ;. Are Medical Notes Legal Documents.
From www.okomeds.com
types of medical documents Okomeds Are Medical Notes Legal Documents The legal medical record is a combination of both a clinical medical record and a designated record set. How to request medical records as a legal professional ; Therefore, medical notes must comply with the. The cert statistical contractor determines how claims are sampled and calculates any improper payments. Hipaa provides patients with a legal, enforceable right to see and. Are Medical Notes Legal Documents.
From www.studocu.com
Tort 2 Medical notes What is the standard of care required of a Are Medical Notes Legal Documents Falsifying medical records, whether you're a medical worker or not, is illegal. The legal medical record is a combination of both a clinical medical record and a designated record set. The cert statistical contractor determines how claims are sampled and calculates any improper payments. Therefore, medical notes must comply with the. Hipaa provides patients with a legal, enforceable right to. Are Medical Notes Legal Documents.
From www.template.net
Medical Note Template 7+ Free Word, PDF Format Download! Are Medical Notes Legal Documents Medical notes are legal documents that can be used as evidence in court cases, audits, investigations, or complaints. The cert program is managed by 2 contractors: The cert statistical contractor determines how claims are sampled and calculates any improper payments. Falsifying medical records, whether you're a medical worker or not, is illegal. Therefore, medical notes must comply with the. Tips. Are Medical Notes Legal Documents.
From www.thinkswap.com
Medical Law Study Notes LAW54404 Medical Law Taylors Thinkswap Are Medical Notes Legal Documents The legal medical record is a combination of both a clinical medical record and a designated record set. Therefore, medical notes must comply with the. Making your request go smoothly ; How to request medical records as a legal professional ; The cert program is managed by 2 contractors: Hipaa provides patients with a legal, enforceable right to see and. Are Medical Notes Legal Documents.
From www.examples.com
Briefing Note 9+ Examples, Format, Pdf Are Medical Notes Legal Documents Tips medical practitioners who falsify medical. How long are medical records kept? The cert program is managed by 2 contractors: How to request medical records as a legal professional ; The legal medical record is a combination of both a clinical medical record and a designated record set. Medical notes are legal documents that can be used as evidence in. Are Medical Notes Legal Documents.
From www.pinterest.com
Medical Records Release Form How to create a Medical Records Release Are Medical Notes Legal Documents How to request medical records as a legal professional ; How long are medical records kept? How to correct medical records ; The legal medical record is a combination of both a clinical medical record and a designated record set. Falsifying medical records, whether you're a medical worker or not, is illegal. The privacy rule gives you, with few exceptions,. Are Medical Notes Legal Documents.
From www.doctemplates.net
FREE Doctor’s Note Templates & Examples Are Medical Notes Legal Documents Making your request go smoothly ; How to correct medical records ; How long are medical records kept? The privacy rule gives you, with few exceptions, the right to inspect, review, and receive a copy of your medical records and billing records that are held by health plans and. Tips medical practitioners who falsify medical. The cert program is managed. Are Medical Notes Legal Documents.
From www.docformats.com
Medical Note Template 30+ Doctor Note Samples Are Medical Notes Legal Documents How to correct medical records ; Medical notes are legal documents that can be used as evidence in court cases, audits, investigations, or complaints. The privacy rule gives you, with few exceptions, the right to inspect, review, and receive a copy of your medical records and billing records that are held by health plans and. Therefore, medical notes must comply. Are Medical Notes Legal Documents.
From at.pinterest.com
Medical Note Template 7+ Free Word, PDF Format Download! Free Are Medical Notes Legal Documents Medical notes are legal documents that can be used as evidence in court cases, audits, investigations, or complaints. The cert program is managed by 2 contractors: Hipaa provides patients with a legal, enforceable right to see and receive copies of their medical information and other health records upon request from their healthcare. The privacy rule gives you, with few exceptions,. Are Medical Notes Legal Documents.
From www.studocu.com
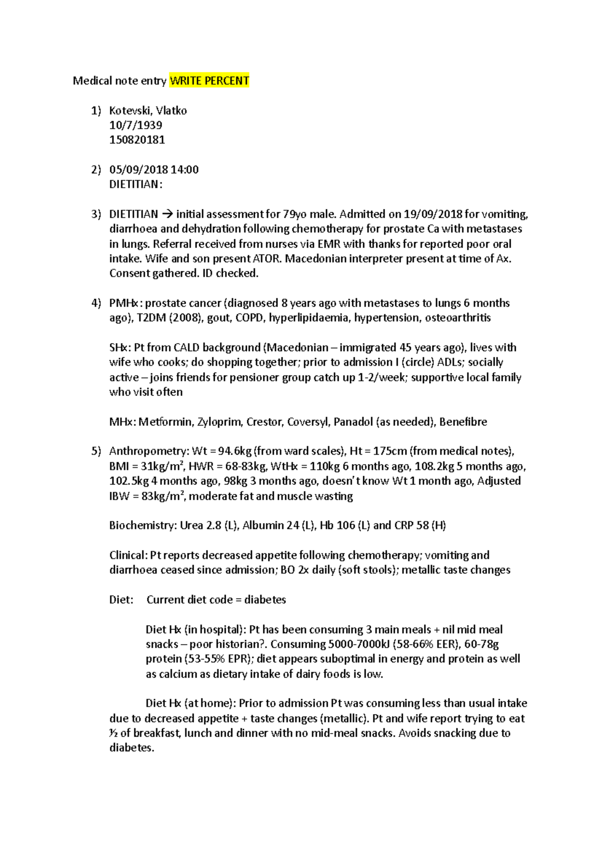
Medical note entry High distinction Medical note entry WRITE Are Medical Notes Legal Documents Hipaa provides patients with a legal, enforceable right to see and receive copies of their medical information and other health records upon request from their healthcare. How long are medical records kept? The cert statistical contractor determines how claims are sampled and calculates any improper payments. Tips medical practitioners who falsify medical. The legal medical record is a combination of. Are Medical Notes Legal Documents.
From www.studocu.com
Medical LAW Notes MEDICAL NEGLIGENCE To maintain an action under Are Medical Notes Legal Documents Falsifying medical records, whether you're a medical worker or not, is illegal. Making your request go smoothly ; Hipaa provides patients with a legal, enforceable right to see and receive copies of their medical information and other health records upon request from their healthcare. How to correct medical records ; The legal medical record is a combination of both a. Are Medical Notes Legal Documents.
From www.sampletemplates.com
FREE 9+ Medical Note Samples in MS Word PDF Are Medical Notes Legal Documents The cert program is managed by 2 contractors: Making your request go smoothly ; The privacy rule gives you, with few exceptions, the right to inspect, review, and receive a copy of your medical records and billing records that are held by health plans and. Hipaa provides patients with a legal, enforceable right to see and receive copies of their. Are Medical Notes Legal Documents.
From templatediy.com
Doctors Note For Surgery Template Printable in PDF & Word Are Medical Notes Legal Documents Tips medical practitioners who falsify medical. The legal medical record is a combination of both a clinical medical record and a designated record set. Falsifying medical records, whether you're a medical worker or not, is illegal. Medical notes are legal documents that can be used as evidence in court cases, audits, investigations, or complaints. The cert program is managed by. Are Medical Notes Legal Documents.
From www.docformats.com
Medical Note Template 30+ Doctor Note Samples Are Medical Notes Legal Documents Therefore, medical notes must comply with the. Tips medical practitioners who falsify medical. The privacy rule gives you, with few exceptions, the right to inspect, review, and receive a copy of your medical records and billing records that are held by health plans and. The cert statistical contractor determines how claims are sampled and calculates any improper payments. The cert. Are Medical Notes Legal Documents.
From www.pinterest.com
Doctors Note Template Doctors note template, Doctors note, Dr note Are Medical Notes Legal Documents How to correct medical records ; Hipaa provides patients with a legal, enforceable right to see and receive copies of their medical information and other health records upon request from their healthcare. The privacy rule gives you, with few exceptions, the right to inspect, review, and receive a copy of your medical records and billing records that are held by. Are Medical Notes Legal Documents.
From www.template.net
Patient Note Templates 7+ Free Samples, Examples Format Download Are Medical Notes Legal Documents Hipaa provides patients with a legal, enforceable right to see and receive copies of their medical information and other health records upon request from their healthcare. How to request medical records as a legal professional ; Making your request go smoothly ; The privacy rule gives you, with few exceptions, the right to inspect, review, and receive a copy of. Are Medical Notes Legal Documents.
From mungfali.com
Medical Doctors Note Template Are Medical Notes Legal Documents The legal medical record is a combination of both a clinical medical record and a designated record set. The cert program is managed by 2 contractors: How to request medical records as a legal professional ; Tips medical practitioners who falsify medical. Medical notes are legal documents that can be used as evidence in court cases, audits, investigations, or complaints.. Are Medical Notes Legal Documents.
From www.examples.com
SOAP Note 19+ Examples, Format, How to Write, PDF Are Medical Notes Legal Documents The legal medical record is a combination of both a clinical medical record and a designated record set. The cert statistical contractor determines how claims are sampled and calculates any improper payments. The privacy rule gives you, with few exceptions, the right to inspect, review, and receive a copy of your medical records and billing records that are held by. Are Medical Notes Legal Documents.