Iron Density In G Mm3 . 20 rows iron weighs 7.873 gram per cubic centimeter or 7 873 kilogram per cubic meter, i.e. Density of steel is equal to 7 900 kg/m³. The density of common metals such as iron is 7.87 g/cm3, mild steel is 7.85 g/cm3, 304 stainless steel is 8.0 g/cm3, aluminum is 2.7g/cm3, copper is 8.93 g/cm3, gold is 19.3 g/cm3, silver is. What is the density of the aluminum sheet? Density of iron is equal to 7 873 kg/m³; = 7.874 [ kg/l ] or [ g/ml ] or [ g/cm 3 ] or. The density of the aluminum sheet is 2.72g/cm 3, or 2720kg/m 3 Volumetric mass density of iron (metal, alloy) in other popular units: Density of iron (fe) is 7874 kg/m 3. Following chart shows density values of iron and iron alloys at room temperature. The density of iron is 7.874 g/cm 3 (491.5 lb/ft 3, 0.284 lb/in 3). Use the mean density of iron (7,847 kg/m) in any of the following formulas to compute the approximate mass or weight of the object. Density of iron and iron alloys. Steel weighs 7.9 gram per cubic centimeter or 7 900 kilogram per cubic meter, i.e.
from www.coursehero.com
The density of the aluminum sheet is 2.72g/cm 3, or 2720kg/m 3 Steel weighs 7.9 gram per cubic centimeter or 7 900 kilogram per cubic meter, i.e. 20 rows iron weighs 7.873 gram per cubic centimeter or 7 873 kilogram per cubic meter, i.e. = 7.874 [ kg/l ] or [ g/ml ] or [ g/cm 3 ] or. Density of iron is equal to 7 873 kg/m³; The density of common metals such as iron is 7.87 g/cm3, mild steel is 7.85 g/cm3, 304 stainless steel is 8.0 g/cm3, aluminum is 2.7g/cm3, copper is 8.93 g/cm3, gold is 19.3 g/cm3, silver is. Density of steel is equal to 7 900 kg/m³. What is the density of the aluminum sheet? Density of iron and iron alloys. Volumetric mass density of iron (metal, alloy) in other popular units:
[Solved] Iron has a density of 7.86 g/cm3 (1 cm3=1 mL). Calculate the
Iron Density In G Mm3 Density of steel is equal to 7 900 kg/m³. Following chart shows density values of iron and iron alloys at room temperature. Density of iron and iron alloys. = 7.874 [ kg/l ] or [ g/ml ] or [ g/cm 3 ] or. The density of the aluminum sheet is 2.72g/cm 3, or 2720kg/m 3 The density of iron is 7.874 g/cm 3 (491.5 lb/ft 3, 0.284 lb/in 3). Volumetric mass density of iron (metal, alloy) in other popular units: 20 rows iron weighs 7.873 gram per cubic centimeter or 7 873 kilogram per cubic meter, i.e. Density of iron is equal to 7 873 kg/m³; Density of iron (fe) is 7874 kg/m 3. Density of steel is equal to 7 900 kg/m³. Steel weighs 7.9 gram per cubic centimeter or 7 900 kilogram per cubic meter, i.e. What is the density of the aluminum sheet? Use the mean density of iron (7,847 kg/m) in any of the following formulas to compute the approximate mass or weight of the object. The density of common metals such as iron is 7.87 g/cm3, mild steel is 7.85 g/cm3, 304 stainless steel is 8.0 g/cm3, aluminum is 2.7g/cm3, copper is 8.93 g/cm3, gold is 19.3 g/cm3, silver is.
From joshuawest.z13.web.core.windows.net
Metal Density Chart G Ml Iron Density In G Mm3 Steel weighs 7.9 gram per cubic centimeter or 7 900 kilogram per cubic meter, i.e. Density of iron and iron alloys. The density of iron is 7.874 g/cm 3 (491.5 lb/ft 3, 0.284 lb/in 3). The density of common metals such as iron is 7.87 g/cm3, mild steel is 7.85 g/cm3, 304 stainless steel is 8.0 g/cm3, aluminum is 2.7g/cm3,. Iron Density In G Mm3.
From brainly.com
Metal Density (g/cm3) Aluminum 2.70 Zinc 7.13 Iron 7.87 Copper 8.96 6 Iron Density In G Mm3 Volumetric mass density of iron (metal, alloy) in other popular units: What is the density of the aluminum sheet? Steel weighs 7.9 gram per cubic centimeter or 7 900 kilogram per cubic meter, i.e. The density of the aluminum sheet is 2.72g/cm 3, or 2720kg/m 3 20 rows iron weighs 7.873 gram per cubic centimeter or 7 873 kilogram per. Iron Density In G Mm3.
From www.chegg.com
Solved Iron Has A Density Of 7.87 G/cm3. If 33.8 G Of Iro... Iron Density In G Mm3 20 rows iron weighs 7.873 gram per cubic centimeter or 7 873 kilogram per cubic meter, i.e. Density of iron is equal to 7 873 kg/m³; Density of iron and iron alloys. The density of iron is 7.874 g/cm 3 (491.5 lb/ft 3, 0.284 lb/in 3). Density of steel is equal to 7 900 kg/m³. What is the density of. Iron Density In G Mm3.
From www.chegg.com
Solved Iron has a density of 7.874 g/cm3. What is the mass Iron Density In G Mm3 Density of iron and iron alloys. Steel weighs 7.9 gram per cubic centimeter or 7 900 kilogram per cubic meter, i.e. 20 rows iron weighs 7.873 gram per cubic centimeter or 7 873 kilogram per cubic meter, i.e. Following chart shows density values of iron and iron alloys at room temperature. Density of iron (fe) is 7874 kg/m 3. The. Iron Density In G Mm3.
From www.numerade.com
SOLVED Iron has a density of 7.86 g/cm3 (1 cm3=1 mL). Calculate the Iron Density In G Mm3 Density of steel is equal to 7 900 kg/m³. 20 rows iron weighs 7.873 gram per cubic centimeter or 7 873 kilogram per cubic meter, i.e. = 7.874 [ kg/l ] or [ g/ml ] or [ g/cm 3 ] or. Steel weighs 7.9 gram per cubic centimeter or 7 900 kilogram per cubic meter, i.e. The density of iron. Iron Density In G Mm3.
From brainly.com
Material Density (g/cm3) Aluminum Benzene Magnesium Water Iron 2.7 0.9 Iron Density In G Mm3 20 rows iron weighs 7.873 gram per cubic centimeter or 7 873 kilogram per cubic meter, i.e. What is the density of the aluminum sheet? = 7.874 [ kg/l ] or [ g/ml ] or [ g/cm 3 ] or. Density of iron is equal to 7 873 kg/m³; Density of iron and iron alloys. The density of iron is. Iron Density In G Mm3.
From www.azahner.com
Reference Values for Metal Density & Specific Gravity Zahner Iron Density In G Mm3 Density of iron (fe) is 7874 kg/m 3. 20 rows iron weighs 7.873 gram per cubic centimeter or 7 873 kilogram per cubic meter, i.e. The density of the aluminum sheet is 2.72g/cm 3, or 2720kg/m 3 The density of common metals such as iron is 7.87 g/cm3, mild steel is 7.85 g/cm3, 304 stainless steel is 8.0 g/cm3, aluminum. Iron Density In G Mm3.
From www.coursehero.com
[Solved] Iron has a density of 7.86 g/cm3 (1 cm3=1 mL). Calculate the Iron Density In G Mm3 Density of iron is equal to 7 873 kg/m³; What is the density of the aluminum sheet? Use the mean density of iron (7,847 kg/m) in any of the following formulas to compute the approximate mass or weight of the object. = 7.874 [ kg/l ] or [ g/ml ] or [ g/cm 3 ] or. 20 rows iron weighs. Iron Density In G Mm3.
From www.coursehero.com
[Solved] 4. If the density of iron (Fe) is 7.874 g/cm3, how many atoms Iron Density In G Mm3 Density of iron (fe) is 7874 kg/m 3. Density of iron and iron alloys. The density of the aluminum sheet is 2.72g/cm 3, or 2720kg/m 3 = 7.874 [ kg/l ] or [ g/ml ] or [ g/cm 3 ] or. The density of common metals such as iron is 7.87 g/cm3, mild steel is 7.85 g/cm3, 304 stainless steel. Iron Density In G Mm3.
From www.chegg.com
Solved calculate the density in (g/mm3) of a material with Iron Density In G Mm3 Density of iron and iron alloys. Density of iron is equal to 7 873 kg/m³; Following chart shows density values of iron and iron alloys at room temperature. Density of iron (fe) is 7874 kg/m 3. Volumetric mass density of iron (metal, alloy) in other popular units: = 7.874 [ kg/l ] or [ g/ml ] or [ g/cm 3. Iron Density In G Mm3.
From materiallibraryberg.z13.web.core.windows.net
Chart Of Metal Densities Iron Density In G Mm3 The density of the aluminum sheet is 2.72g/cm 3, or 2720kg/m 3 Density of iron and iron alloys. = 7.874 [ kg/l ] or [ g/ml ] or [ g/cm 3 ] or. Steel weighs 7.9 gram per cubic centimeter or 7 900 kilogram per cubic meter, i.e. Volumetric mass density of iron (metal, alloy) in other popular units: Use. Iron Density In G Mm3.
From www.chegg.com
Solved The density of iron is 7.87 g/cm3, and its atomic Iron Density In G Mm3 Density of steel is equal to 7 900 kg/m³. Density of iron (fe) is 7874 kg/m 3. 20 rows iron weighs 7.873 gram per cubic centimeter or 7 873 kilogram per cubic meter, i.e. The density of the aluminum sheet is 2.72g/cm 3, or 2720kg/m 3 Density of iron and iron alloys. The density of common metals such as iron. Iron Density In G Mm3.
From hxeotzdbq.blob.core.windows.net
Sheet Metal Density Kg/Mm3 at Beverly Gilmore blog Iron Density In G Mm3 Density of iron is equal to 7 873 kg/m³; Steel weighs 7.9 gram per cubic centimeter or 7 900 kilogram per cubic meter, i.e. Use the mean density of iron (7,847 kg/m) in any of the following formulas to compute the approximate mass or weight of the object. Following chart shows density values of iron and iron alloys at room. Iron Density In G Mm3.
From mavink.com
Tabel Cu Densitati Iron Density In G Mm3 Density of iron (fe) is 7874 kg/m 3. Steel weighs 7.9 gram per cubic centimeter or 7 900 kilogram per cubic meter, i.e. The density of the aluminum sheet is 2.72g/cm 3, or 2720kg/m 3 What is the density of the aluminum sheet? Density of iron is equal to 7 873 kg/m³; Following chart shows density values of iron and. Iron Density In G Mm3.
From oneclass.com
OneClass An iron object has a volume of 115 cm3. If iron has a density Iron Density In G Mm3 = 7.874 [ kg/l ] or [ g/ml ] or [ g/cm 3 ] or. The density of the aluminum sheet is 2.72g/cm 3, or 2720kg/m 3 Following chart shows density values of iron and iron alloys at room temperature. Volumetric mass density of iron (metal, alloy) in other popular units: 20 rows iron weighs 7.873 gram per cubic centimeter. Iron Density In G Mm3.
From www.numerade.com
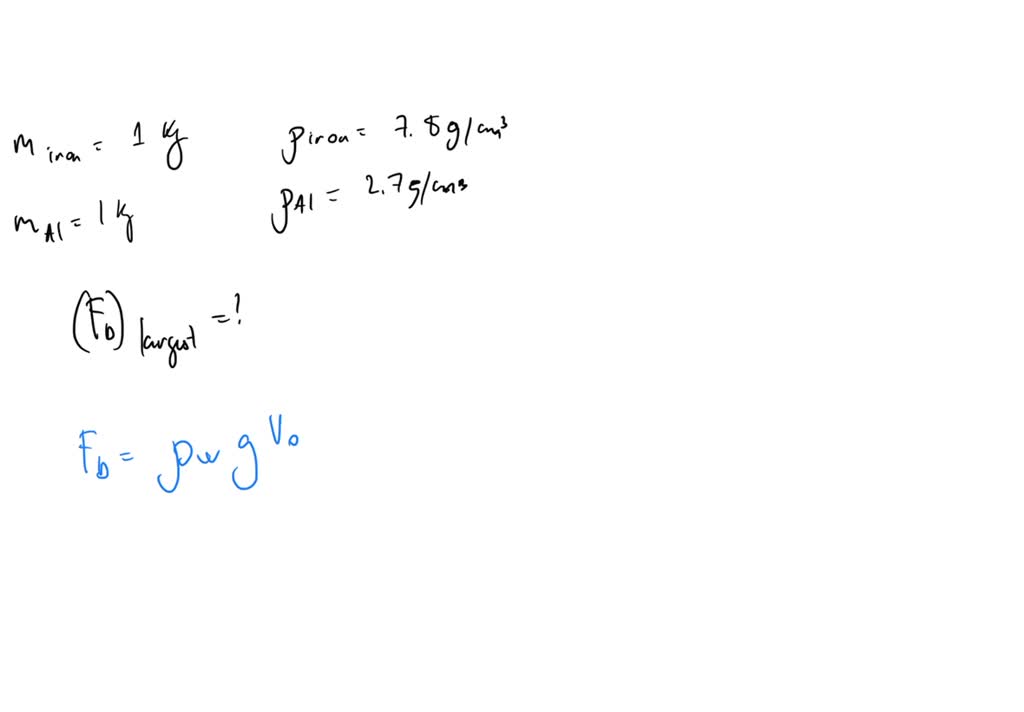
SOLVED One kilogram of iron (density 7.8 g/cm3) and 1 kilogram of Iron Density In G Mm3 Use the mean density of iron (7,847 kg/m) in any of the following formulas to compute the approximate mass or weight of the object. 20 rows iron weighs 7.873 gram per cubic centimeter or 7 873 kilogram per cubic meter, i.e. The density of the aluminum sheet is 2.72g/cm 3, or 2720kg/m 3 Density of iron and iron alloys. The. Iron Density In G Mm3.
From www.toppr.com
The density of iron is 7.87 g/cm^3 . If the atoms are spherical and Iron Density In G Mm3 The density of the aluminum sheet is 2.72g/cm 3, or 2720kg/m 3 The density of iron is 7.874 g/cm 3 (491.5 lb/ft 3, 0.284 lb/in 3). Steel weighs 7.9 gram per cubic centimeter or 7 900 kilogram per cubic meter, i.e. = 7.874 [ kg/l ] or [ g/ml ] or [ g/cm 3 ] or. Use the mean density. Iron Density In G Mm3.
From www.chegg.com
Solved Iron Has A Density Of 7.87 G/cm3. If 33.8 G Of Iro... Iron Density In G Mm3 Density of iron is equal to 7 873 kg/m³; Density of iron and iron alloys. The density of the aluminum sheet is 2.72g/cm 3, or 2720kg/m 3 = 7.874 [ kg/l ] or [ g/ml ] or [ g/cm 3 ] or. Volumetric mass density of iron (metal, alloy) in other popular units: Steel weighs 7.9 gram per cubic centimeter. Iron Density In G Mm3.
From byjus.com
density of iron is 7.8 g/cc and induced field in iron is Iron Density In G Mm3 = 7.874 [ kg/l ] or [ g/ml ] or [ g/cm 3 ] or. 20 rows iron weighs 7.873 gram per cubic centimeter or 7 873 kilogram per cubic meter, i.e. Density of iron (fe) is 7874 kg/m 3. The density of the aluminum sheet is 2.72g/cm 3, or 2720kg/m 3 Density of iron is equal to 7 873. Iron Density In G Mm3.
From learningtrommler.z1.web.core.windows.net
Metal Density Chart G Cm3 Iron Density In G Mm3 Volumetric mass density of iron (metal, alloy) in other popular units: Density of iron and iron alloys. The density of the aluminum sheet is 2.72g/cm 3, or 2720kg/m 3 Density of steel is equal to 7 900 kg/m³. Density of iron is equal to 7 873 kg/m³; The density of iron is 7.874 g/cm 3 (491.5 lb/ft 3, 0.284 lb/in. Iron Density In G Mm3.
From mungfali.com
Periodic Table With Density Iron Density In G Mm3 Density of iron and iron alloys. Density of steel is equal to 7 900 kg/m³. What is the density of the aluminum sheet? Density of iron is equal to 7 873 kg/m³; Use the mean density of iron (7,847 kg/m) in any of the following formulas to compute the approximate mass or weight of the object. 20 rows iron weighs. Iron Density In G Mm3.
From www.numerade.com
Iron at room temperature crystallizes in a BCC unit cell with a density Iron Density In G Mm3 What is the density of the aluminum sheet? Density of iron is equal to 7 873 kg/m³; = 7.874 [ kg/l ] or [ g/ml ] or [ g/cm 3 ] or. Density of steel is equal to 7 900 kg/m³. The density of common metals such as iron is 7.87 g/cm3, mild steel is 7.85 g/cm3, 304 stainless steel. Iron Density In G Mm3.
From www.youtube.com
Iron has a density of 7.87 g/cm^3, and the mass of an iron atom is 9.27 Iron Density In G Mm3 Use the mean density of iron (7,847 kg/m) in any of the following formulas to compute the approximate mass or weight of the object. Density of iron and iron alloys. Steel weighs 7.9 gram per cubic centimeter or 7 900 kilogram per cubic meter, i.e. Density of steel is equal to 7 900 kg/m³. 20 rows iron weighs 7.873 gram. Iron Density In G Mm3.
From www.smart-elements.com
Big IRON precision density cube 10 cm3 78.74g Iron Density In G Mm3 The density of iron is 7.874 g/cm 3 (491.5 lb/ft 3, 0.284 lb/in 3). Density of iron is equal to 7 873 kg/m³; What is the density of the aluminum sheet? The density of the aluminum sheet is 2.72g/cm 3, or 2720kg/m 3 Density of iron and iron alloys. Steel weighs 7.9 gram per cubic centimeter or 7 900 kilogram. Iron Density In G Mm3.
From www.chegg.com
Solved Iron has a density of 7.86 g/cm3. Calculate the Iron Density In G Mm3 Density of steel is equal to 7 900 kg/m³. Density of iron (fe) is 7874 kg/m 3. The density of common metals such as iron is 7.87 g/cm3, mild steel is 7.85 g/cm3, 304 stainless steel is 8.0 g/cm3, aluminum is 2.7g/cm3, copper is 8.93 g/cm3, gold is 19.3 g/cm3, silver is. Following chart shows density values of iron and. Iron Density In G Mm3.
From www.doubtnut.com
If the mass of 100 cm3 of iron is 785 g, then the density of iron in Iron Density In G Mm3 Volumetric mass density of iron (metal, alloy) in other popular units: Density of iron (fe) is 7874 kg/m 3. Density of steel is equal to 7 900 kg/m³. Steel weighs 7.9 gram per cubic centimeter or 7 900 kilogram per cubic meter, i.e. The density of the aluminum sheet is 2.72g/cm 3, or 2720kg/m 3 Following chart shows density values. Iron Density In G Mm3.
From giolicyhp.blob.core.windows.net
Iron Density Cm3 at David Byers blog Iron Density In G Mm3 20 rows iron weighs 7.873 gram per cubic centimeter or 7 873 kilogram per cubic meter, i.e. The density of iron is 7.874 g/cm 3 (491.5 lb/ft 3, 0.284 lb/in 3). The density of common metals such as iron is 7.87 g/cm3, mild steel is 7.85 g/cm3, 304 stainless steel is 8.0 g/cm3, aluminum is 2.7g/cm3, copper is 8.93 g/cm3,. Iron Density In G Mm3.
From kenzie-has-lowery.blogspot.com
Compute the Density in G/cm3 of a Piece of Metal KenziehasLowery Iron Density In G Mm3 Density of iron (fe) is 7874 kg/m 3. Density of iron and iron alloys. Use the mean density of iron (7,847 kg/m) in any of the following formulas to compute the approximate mass or weight of the object. Density of steel is equal to 7 900 kg/m³. The density of iron is 7.874 g/cm 3 (491.5 lb/ft 3, 0.284 lb/in. Iron Density In G Mm3.
From www.chegg.com
Solved What is the density (in g/mm3 ) of a substance that a Iron Density In G Mm3 Steel weighs 7.9 gram per cubic centimeter or 7 900 kilogram per cubic meter, i.e. Density of iron (fe) is 7874 kg/m 3. The density of iron is 7.874 g/cm 3 (491.5 lb/ft 3, 0.284 lb/in 3). 20 rows iron weighs 7.873 gram per cubic centimeter or 7 873 kilogram per cubic meter, i.e. = 7.874 [ kg/l ] or. Iron Density In G Mm3.
From www.chegg.com
Solved Iron has a density of 7.9 g/cm3. What is the mass of Iron Density In G Mm3 Density of iron is equal to 7 873 kg/m³; Density of iron (fe) is 7874 kg/m 3. The density of the aluminum sheet is 2.72g/cm 3, or 2720kg/m 3 The density of common metals such as iron is 7.87 g/cm3, mild steel is 7.85 g/cm3, 304 stainless steel is 8.0 g/cm3, aluminum is 2.7g/cm3, copper is 8.93 g/cm3, gold is. Iron Density In G Mm3.
From fyozkjtnz.blob.core.windows.net
Stainless Steel Density Chart at Elsie Hendley blog Iron Density In G Mm3 Density of steel is equal to 7 900 kg/m³. Density of iron (fe) is 7874 kg/m 3. Density of iron and iron alloys. Use the mean density of iron (7,847 kg/m) in any of the following formulas to compute the approximate mass or weight of the object. 20 rows iron weighs 7.873 gram per cubic centimeter or 7 873 kilogram. Iron Density In G Mm3.
From giolicyhp.blob.core.windows.net
Iron Density Cm3 at David Byers blog Iron Density In G Mm3 Following chart shows density values of iron and iron alloys at room temperature. Steel weighs 7.9 gram per cubic centimeter or 7 900 kilogram per cubic meter, i.e. Density of steel is equal to 7 900 kg/m³. = 7.874 [ kg/l ] or [ g/ml ] or [ g/cm 3 ] or. The density of the aluminum sheet is 2.72g/cm. Iron Density In G Mm3.
From www.youtube.com
Calculate unit weight/density of steel in kg/m3, kg/ft3, g/cm3, kN/m3 Iron Density In G Mm3 Volumetric mass density of iron (metal, alloy) in other popular units: The density of the aluminum sheet is 2.72g/cm 3, or 2720kg/m 3 What is the density of the aluminum sheet? Density of iron (fe) is 7874 kg/m 3. 20 rows iron weighs 7.873 gram per cubic centimeter or 7 873 kilogram per cubic meter, i.e. Use the mean density. Iron Density In G Mm3.
From www.chegg.com
Iron has a density of 7.86 g/cm3. Calculate the Iron Density In G Mm3 The density of the aluminum sheet is 2.72g/cm 3, or 2720kg/m 3 Density of iron is equal to 7 873 kg/m³; The density of iron is 7.874 g/cm 3 (491.5 lb/ft 3, 0.284 lb/in 3). What is the density of the aluminum sheet? The density of common metals such as iron is 7.87 g/cm3, mild steel is 7.85 g/cm3, 304. Iron Density In G Mm3.
From www.chegg.com
Solved If the density of iron is 7.87 g/cm3, what is the Iron Density In G Mm3 The density of common metals such as iron is 7.87 g/cm3, mild steel is 7.85 g/cm3, 304 stainless steel is 8.0 g/cm3, aluminum is 2.7g/cm3, copper is 8.93 g/cm3, gold is 19.3 g/cm3, silver is. Steel weighs 7.9 gram per cubic centimeter or 7 900 kilogram per cubic meter, i.e. Following chart shows density values of iron and iron alloys. Iron Density In G Mm3.