Surface Area Of A Dish . Learn how to calculate the surface area, volume, and perimeter of various shapes, such as cylinders, cones, pyramids, polygons, circles, and more. Find the surface area, seeding density, and volumes of solutions for different sizes of cell culture dishes and flasks. Does surface area mean volume? Surface area and volume are two different characteristics or attributes of a three dimensional figure. Learn how to calculate the surface area of a sphere, cylinder, cone, cube, pyramid, and prism with this online tool. Learn how to find the surface area of other 3d bodies like cube, cylinder, cone, and. Calculate the surface area of various shapes using formulas and examples. Calculate the surface area of a sphere using the formula 4 x π x radius2, where radius is half the diameter. Enter the dimensions of a ball, cone, cube, cylinder, tank, capsule,.
from www.witec.ch
Learn how to find the surface area of other 3d bodies like cube, cylinder, cone, and. Calculate the surface area of a sphere using the formula 4 x π x radius2, where radius is half the diameter. Learn how to calculate the surface area, volume, and perimeter of various shapes, such as cylinders, cones, pyramids, polygons, circles, and more. Does surface area mean volume? Find the surface area, seeding density, and volumes of solutions for different sizes of cell culture dishes and flasks. Surface area and volume are two different characteristics or attributes of a three dimensional figure. Learn how to calculate the surface area of a sphere, cylinder, cone, cube, pyramid, and prism with this online tool. Calculate the surface area of various shapes using formulas and examples. Enter the dimensions of a ball, cone, cube, cylinder, tank, capsule,.
Cell Culture Plates TC treated surface Witec AG
Surface Area Of A Dish Learn how to calculate the surface area of a sphere, cylinder, cone, cube, pyramid, and prism with this online tool. Enter the dimensions of a ball, cone, cube, cylinder, tank, capsule,. Calculate the surface area of various shapes using formulas and examples. Does surface area mean volume? Learn how to find the surface area of other 3d bodies like cube, cylinder, cone, and. Surface area and volume are two different characteristics or attributes of a three dimensional figure. Learn how to calculate the surface area of a sphere, cylinder, cone, cube, pyramid, and prism with this online tool. Find the surface area, seeding density, and volumes of solutions for different sizes of cell culture dishes and flasks. Learn how to calculate the surface area, volume, and perimeter of various shapes, such as cylinders, cones, pyramids, polygons, circles, and more. Calculate the surface area of a sphere using the formula 4 x π x radius2, where radius is half the diameter.
From www.scribd.com
DISH END BLANK DIA CALCULATION.docx Sphere Volume Surface Area Of A Dish Learn how to calculate the surface area, volume, and perimeter of various shapes, such as cylinders, cones, pyramids, polygons, circles, and more. Surface area and volume are two different characteristics or attributes of a three dimensional figure. Learn how to find the surface area of other 3d bodies like cube, cylinder, cone, and. Calculate the surface area of various shapes. Surface Area Of A Dish.
From www.numerade.com
SOLVED A group of engineers is building a parabolic satellite dish Surface Area Of A Dish Learn how to find the surface area of other 3d bodies like cube, cylinder, cone, and. Calculate the surface area of a sphere using the formula 4 x π x radius2, where radius is half the diameter. Learn how to calculate the surface area of a sphere, cylinder, cone, cube, pyramid, and prism with this online tool. Learn how to. Surface Area Of A Dish.
From www.myxxgirl.com
10 Cm Dish Surface Area My XXX Hot Girl Surface Area Of A Dish Learn how to calculate the surface area, volume, and perimeter of various shapes, such as cylinders, cones, pyramids, polygons, circles, and more. Learn how to calculate the surface area of a sphere, cylinder, cone, cube, pyramid, and prism with this online tool. Surface area and volume are two different characteristics or attributes of a three dimensional figure. Calculate the surface. Surface Area Of A Dish.
From joioongkk.blob.core.windows.net
Kitchen Equipment Cleaning Procedure at Maria Goodman blog Surface Area Of A Dish Learn how to calculate the surface area of a sphere, cylinder, cone, cube, pyramid, and prism with this online tool. Surface area and volume are two different characteristics or attributes of a three dimensional figure. Calculate the surface area of a sphere using the formula 4 x π x radius2, where radius is half the diameter. Learn how to find. Surface Area Of A Dish.
From www.thespruce.com
How to Wash Dishes Surface Area Of A Dish Enter the dimensions of a ball, cone, cube, cylinder, tank, capsule,. Calculate the surface area of a sphere using the formula 4 x π x radius2, where radius is half the diameter. Learn how to find the surface area of other 3d bodies like cube, cylinder, cone, and. Does surface area mean volume? Find the surface area, seeding density, and. Surface Area Of A Dish.
From www.numerade.com
SOLVED A group of engineers is building a parabolic satellite dish Surface Area Of A Dish Calculate the surface area of various shapes using formulas and examples. Calculate the surface area of a sphere using the formula 4 x π x radius2, where radius is half the diameter. Does surface area mean volume? Learn how to find the surface area of other 3d bodies like cube, cylinder, cone, and. Surface area and volume are two different. Surface Area Of A Dish.
From www.youtube.com
Torispherical Dish End fabrication terms YouTube Surface Area Of A Dish Calculate the surface area of a sphere using the formula 4 x π x radius2, where radius is half the diameter. Enter the dimensions of a ball, cone, cube, cylinder, tank, capsule,. Calculate the surface area of various shapes using formulas and examples. Learn how to find the surface area of other 3d bodies like cube, cylinder, cone, and. Surface. Surface Area Of A Dish.
From www.youtube.com
A group of engineers is building a parabolic satellite dish whose shape Surface Area Of A Dish Learn how to calculate the surface area, volume, and perimeter of various shapes, such as cylinders, cones, pyramids, polygons, circles, and more. Does surface area mean volume? Find the surface area, seeding density, and volumes of solutions for different sizes of cell culture dishes and flasks. Calculate the surface area of various shapes using formulas and examples. Surface area and. Surface Area Of A Dish.
From www.ontario.ca
Archived Section 5 Safe Food Handling, Storage and Preparation Surface Area Of A Dish Learn how to find the surface area of other 3d bodies like cube, cylinder, cone, and. Learn how to calculate the surface area, volume, and perimeter of various shapes, such as cylinders, cones, pyramids, polygons, circles, and more. Calculate the surface area of a sphere using the formula 4 x π x radius2, where radius is half the diameter. Find. Surface Area Of A Dish.
From midsci.com
PR1MA Standard Petri Dishes Surface Area Of A Dish Learn how to calculate the surface area, volume, and perimeter of various shapes, such as cylinders, cones, pyramids, polygons, circles, and more. Does surface area mean volume? Calculate the surface area of a sphere using the formula 4 x π x radius2, where radius is half the diameter. Find the surface area, seeding density, and volumes of solutions for different. Surface Area Of A Dish.
From byjus.com
The Petri dish shown has no lid. What is the surface area of the Surface Area Of A Dish Learn how to calculate the surface area, volume, and perimeter of various shapes, such as cylinders, cones, pyramids, polygons, circles, and more. Learn how to find the surface area of other 3d bodies like cube, cylinder, cone, and. Does surface area mean volume? Enter the dimensions of a ball, cone, cube, cylinder, tank, capsule,. Surface area and volume are two. Surface Area Of A Dish.
From www.youtube.com
How to level a dishend. Tutorial 09 YouTube Surface Area Of A Dish Enter the dimensions of a ball, cone, cube, cylinder, tank, capsule,. Find the surface area, seeding density, and volumes of solutions for different sizes of cell culture dishes and flasks. Does surface area mean volume? Learn how to find the surface area of other 3d bodies like cube, cylinder, cone, and. Calculate the surface area of various shapes using formulas. Surface Area Of A Dish.
From jackflaming.svbtle.com
CBSE Class 10 Mathematics Surface Area and Volume Surface Area Of A Dish Surface area and volume are two different characteristics or attributes of a three dimensional figure. Enter the dimensions of a ball, cone, cube, cylinder, tank, capsule,. Calculate the surface area of a sphere using the formula 4 x π x radius2, where radius is half the diameter. Does surface area mean volume? Learn how to calculate the surface area of. Surface Area Of A Dish.
From www.dennisexpress.com
3 Tips to Ensure Clean and Sanitary FoodContact Surfaces Surface Area Of A Dish Calculate the surface area of various shapes using formulas and examples. Find the surface area, seeding density, and volumes of solutions for different sizes of cell culture dishes and flasks. Calculate the surface area of a sphere using the formula 4 x π x radius2, where radius is half the diameter. Learn how to calculate the surface area, volume, and. Surface Area Of A Dish.
From ecatalog.corning.com
3295 Corning® CellBIND® Surface 60 mm Culture Dish Corning Surface Area Of A Dish Learn how to calculate the surface area of a sphere, cylinder, cone, cube, pyramid, and prism with this online tool. Surface area and volume are two different characteristics or attributes of a three dimensional figure. Does surface area mean volume? Calculate the surface area of a sphere using the formula 4 x π x radius2, where radius is half the. Surface Area Of A Dish.
From www.youtube.com
Calculate the Area of a Circle (Petri Dish) YouTube Surface Area Of A Dish Calculate the surface area of a sphere using the formula 4 x π x radius2, where radius is half the diameter. Enter the dimensions of a ball, cone, cube, cylinder, tank, capsule,. Learn how to calculate the surface area, volume, and perimeter of various shapes, such as cylinders, cones, pyramids, polygons, circles, and more. Does surface area mean volume? Find. Surface Area Of A Dish.
From slidesharedocs.blogspot.com
6 Well Plate Surface Area Corning slidesharedocs Surface Area Of A Dish Calculate the surface area of a sphere using the formula 4 x π x radius2, where radius is half the diameter. Does surface area mean volume? Surface area and volume are two different characteristics or attributes of a three dimensional figure. Learn how to find the surface area of other 3d bodies like cube, cylinder, cone, and. Find the surface. Surface Area Of A Dish.
From www.dreamstime.com
Food Preparation Area with Stations for Different Types of Food, Such Surface Area Of A Dish Surface area and volume are two different characteristics or attributes of a three dimensional figure. Learn how to find the surface area of other 3d bodies like cube, cylinder, cone, and. Does surface area mean volume? Enter the dimensions of a ball, cone, cube, cylinder, tank, capsule,. Find the surface area, seeding density, and volumes of solutions for different sizes. Surface Area Of A Dish.
From engineeringfeed.com
Important Surface Area Formulas Engineering Feed Surface Area Of A Dish Surface area and volume are two different characteristics or attributes of a three dimensional figure. Calculate the surface area of various shapes using formulas and examples. Find the surface area, seeding density, and volumes of solutions for different sizes of cell culture dishes and flasks. Learn how to calculate the surface area, volume, and perimeter of various shapes, such as. Surface Area Of A Dish.
From pharmacalc.blogspot.com
[HOW TO]Calculate the Volume Occupied by Torispherical Dish Pharma Surface Area Of A Dish Find the surface area, seeding density, and volumes of solutions for different sizes of cell culture dishes and flasks. Learn how to calculate the surface area of a sphere, cylinder, cone, cube, pyramid, and prism with this online tool. Surface area and volume are two different characteristics or attributes of a three dimensional figure. Does surface area mean volume? Calculate. Surface Area Of A Dish.
From www.artsyfartsymama.com
Flocked Trinket Dish artsyfartsy mama Surface Area Of A Dish Calculate the surface area of various shapes using formulas and examples. Enter the dimensions of a ball, cone, cube, cylinder, tank, capsule,. Does surface area mean volume? Surface area and volume are two different characteristics or attributes of a three dimensional figure. Calculate the surface area of a sphere using the formula 4 x π x radius2, where radius is. Surface Area Of A Dish.
From protektonline.com
What Is A Healthy Ratio of Probiotics • Protekt Worldwide Surface Area Of A Dish Calculate the surface area of various shapes using formulas and examples. Calculate the surface area of a sphere using the formula 4 x π x radius2, where radius is half the diameter. Learn how to calculate the surface area of a sphere, cylinder, cone, cube, pyramid, and prism with this online tool. Surface area and volume are two different characteristics. Surface Area Of A Dish.
From www.gauthmath.com
15_61. (SAT) A researcher places two colonies of bacteria into two Surface Area Of A Dish Calculate the surface area of a sphere using the formula 4 x π x radius2, where radius is half the diameter. Does surface area mean volume? Learn how to find the surface area of other 3d bodies like cube, cylinder, cone, and. Find the surface area, seeding density, and volumes of solutions for different sizes of cell culture dishes and. Surface Area Of A Dish.
From typesofdishesinthekitchen.blogspot.com
Types Of Dishes In The Kitchen Tasting It Fresh Out Of The Kitchen Will Surface Area Of A Dish Learn how to calculate the surface area of a sphere, cylinder, cone, cube, pyramid, and prism with this online tool. Calculate the surface area of various shapes using formulas and examples. Surface area and volume are two different characteristics or attributes of a three dimensional figure. Learn how to find the surface area of other 3d bodies like cube, cylinder,. Surface Area Of A Dish.
From microbeonline.com
Petri Dish Types, Uses, and Automated Petri Dish Filler • Microbe Online Surface Area Of A Dish Calculate the surface area of various shapes using formulas and examples. Learn how to calculate the surface area of a sphere, cylinder, cone, cube, pyramid, and prism with this online tool. Does surface area mean volume? Enter the dimensions of a ball, cone, cube, cylinder, tank, capsule,. Find the surface area, seeding density, and volumes of solutions for different sizes. Surface Area Of A Dish.
From dxowspzol.blob.core.windows.net
Surface Area Formula Khan Academy at Kerry Delvalle blog Surface Area Of A Dish Does surface area mean volume? Learn how to calculate the surface area, volume, and perimeter of various shapes, such as cylinders, cones, pyramids, polygons, circles, and more. Find the surface area, seeding density, and volumes of solutions for different sizes of cell culture dishes and flasks. Calculate the surface area of various shapes using formulas and examples. Enter the dimensions. Surface Area Of A Dish.
From joiobpsdu.blob.core.windows.net
How Should SelfService Utensils Be Stored Prior To Customers Using Surface Area Of A Dish Learn how to calculate the surface area, volume, and perimeter of various shapes, such as cylinders, cones, pyramids, polygons, circles, and more. Learn how to find the surface area of other 3d bodies like cube, cylinder, cone, and. Does surface area mean volume? Find the surface area, seeding density, and volumes of solutions for different sizes of cell culture dishes. Surface Area Of A Dish.
From www.youtube.com
CALCULATION OF BLANK DIA OF DISHED END II PRESSURE VESSEL DISH END Surface Area Of A Dish Learn how to calculate the surface area of a sphere, cylinder, cone, cube, pyramid, and prism with this online tool. Learn how to calculate the surface area, volume, and perimeter of various shapes, such as cylinders, cones, pyramids, polygons, circles, and more. Calculate the surface area of a sphere using the formula 4 x π x radius2, where radius is. Surface Area Of A Dish.
From www.coursehero.com
[Solved] I want to find the blank dia for a torispherical dish.Is there Surface Area Of A Dish Find the surface area, seeding density, and volumes of solutions for different sizes of cell culture dishes and flasks. Learn how to find the surface area of other 3d bodies like cube, cylinder, cone, and. Learn how to calculate the surface area, volume, and perimeter of various shapes, such as cylinders, cones, pyramids, polygons, circles, and more. Enter the dimensions. Surface Area Of A Dish.
From www.witec.ch
Cell Culture Plates TC treated surface Witec AG Surface Area Of A Dish Calculate the surface area of a sphere using the formula 4 x π x radius2, where radius is half the diameter. Calculate the surface area of various shapes using formulas and examples. Learn how to calculate the surface area, volume, and perimeter of various shapes, such as cylinders, cones, pyramids, polygons, circles, and more. Learn how to calculate the surface. Surface Area Of A Dish.
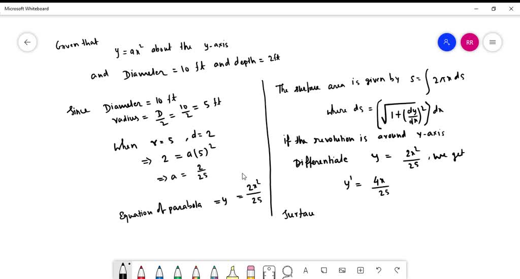
From www.youtube.com
Applications of Integrals Surface Area Example 2 Solution 1 YouTube Surface Area Of A Dish Does surface area mean volume? Surface area and volume are two different characteristics or attributes of a three dimensional figure. Learn how to calculate the surface area of a sphere, cylinder, cone, cube, pyramid, and prism with this online tool. Enter the dimensions of a ball, cone, cube, cylinder, tank, capsule,. Learn how to calculate the surface area, volume, and. Surface Area Of A Dish.
From pkkikqjgh.blogspot.com
6 Well Plate Surface Area New Product Critical reviews, Savings, and Surface Area Of A Dish Learn how to calculate the surface area of a sphere, cylinder, cone, cube, pyramid, and prism with this online tool. Learn how to find the surface area of other 3d bodies like cube, cylinder, cone, and. Learn how to calculate the surface area, volume, and perimeter of various shapes, such as cylinders, cones, pyramids, polygons, circles, and more. Enter the. Surface Area Of A Dish.
From www.cbsnews.com
5.2 billion NASA probe to assess habitability of subsurface ocean on Surface Area Of A Dish Calculate the surface area of various shapes using formulas and examples. Enter the dimensions of a ball, cone, cube, cylinder, tank, capsule,. Does surface area mean volume? Surface area and volume are two different characteristics or attributes of a three dimensional figure. Learn how to find the surface area of other 3d bodies like cube, cylinder, cone, and. Learn how. Surface Area Of A Dish.
From www.greelane.com
기하학적 모양에 대한 표면적 및 체적 공식 계산 Surface Area Of A Dish Calculate the surface area of various shapes using formulas and examples. Surface area and volume are two different characteristics or attributes of a three dimensional figure. Learn how to calculate the surface area, volume, and perimeter of various shapes, such as cylinders, cones, pyramids, polygons, circles, and more. Calculate the surface area of a sphere using the formula 4 x. Surface Area Of A Dish.
From www.researchgate.net
What is surface area and diameter of Petri dish and 6 well plate Surface Area Of A Dish Does surface area mean volume? Find the surface area, seeding density, and volumes of solutions for different sizes of cell culture dishes and flasks. Enter the dimensions of a ball, cone, cube, cylinder, tank, capsule,. Learn how to calculate the surface area, volume, and perimeter of various shapes, such as cylinders, cones, pyramids, polygons, circles, and more. Learn how to. Surface Area Of A Dish.