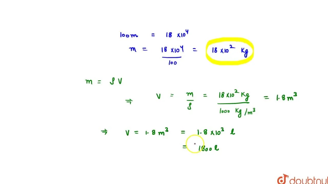
The Power Of Water Pump Is 2Kw . The correct option is c 1200 litre. If `g = 10 m//s^2,` the amount of water it can raise in 1 min to a height of 10 m is : The question says to take the value of g to be 10 m per second squared, the amount. Power of pump = 2kw = 2000 w, time (t) = 60 sec. Now we have obtained the amount of water that can be raised to a height of 10 m in one minute with a water pump of power rating 2 kw. The power of a water pump is 2 kw. We are going to solve discussion on saturday. 180 rows pump power p (kw) in kilowatts is equal to the product of the rate of flow q (m 3 /hr) in cubic meter per hour, fluid density ρ (kg/m 3) in kilogram per cubic meter, gravity g in m 2 /s, pump differential h (m) head in meter and the differential pressure p (pa) in pascal or n/m 2 divided by 36,00,000. Power is the rate of doing work or work done per unit time. If g = 10 ms−2, the amount of water it can raise in one minute to a height of 10 m is: If `g = 10 m//s^2,` the amount of water it can raise in 1 min to a height of 10 m is : The power of a water pump is 2 kw. Find mass of the water the pump can rise. The power of a water pump is 2 kw.
from brainly.in
Find mass of the water the pump can rise. The power of a water pump is 2 kw. Power of pump = 2kw = 2000 w, time (t) = 60 sec. The correct option is c 1200 litre. We are going to solve discussion on saturday. The power of a water pump is 2 kw. The question says to take the value of g to be 10 m per second squared, the amount. If g = 10 ms−2, the amount of water it can raise in one minute to a height of 10 m is: If `g = 10 m//s^2,` the amount of water it can raise in 1 min to a height of 10 m is : If `g = 10 m//s^2,` the amount of water it can raise in 1 min to a height of 10 m is :
the power of water pump is 4 kw if g =10ms2 the amount of water it can
The Power Of Water Pump Is 2Kw The correct option is c 1200 litre. If g = 10 ms−2, the amount of water it can raise in one minute to a height of 10 m is: We are going to solve discussion on saturday. Power of pump = 2kw = 2000 w, time (t) = 60 sec. If `g = 10 m//s^2,` the amount of water it can raise in 1 min to a height of 10 m is : The power of a water pump is 2 kw. 180 rows pump power p (kw) in kilowatts is equal to the product of the rate of flow q (m 3 /hr) in cubic meter per hour, fluid density ρ (kg/m 3) in kilogram per cubic meter, gravity g in m 2 /s, pump differential h (m) head in meter and the differential pressure p (pa) in pascal or n/m 2 divided by 36,00,000. Find mass of the water the pump can rise. If `g = 10 m//s^2,` the amount of water it can raise in 1 min to a height of 10 m is : The correct option is c 1200 litre. The question says to take the value of g to be 10 m per second squared, the amount. The power of a water pump is 2 kw. Now we have obtained the amount of water that can be raised to a height of 10 m in one minute with a water pump of power rating 2 kw. Power is the rate of doing work or work done per unit time. The power of a water pump is 2 kw.
From pumpsandpipes.net.au
DAB 300T 2.2kW 3HP Three Phase Self Priming Cast Iron Jet Pump Pumps The Power Of Water Pump Is 2Kw If g = 10 ms−2, the amount of water it can raise in one minute to a height of 10 m is: The power of a water pump is 2 kw. 180 rows pump power p (kw) in kilowatts is equal to the product of the rate of flow q (m 3 /hr) in cubic meter per hour, fluid density. The Power Of Water Pump Is 2Kw.
From www.kspower.in
Solar Water Pump KS Power The Power Of Water Pump Is 2Kw If `g = 10 m//s^2,` the amount of water it can raise in 1 min to a height of 10 m is : Power is the rate of doing work or work done per unit time. 180 rows pump power p (kw) in kilowatts is equal to the product of the rate of flow q (m 3 /hr) in cubic. The Power Of Water Pump Is 2Kw.
From www.oilmanchina.com
Electric 3HP 2.2KW Hydraulic Submersible Water Pump For Agriculture The Power Of Water Pump Is 2Kw Power of pump = 2kw = 2000 w, time (t) = 60 sec. 180 rows pump power p (kw) in kilowatts is equal to the product of the rate of flow q (m 3 /hr) in cubic meter per hour, fluid density ρ (kg/m 3) in kilogram per cubic meter, gravity g in m 2 /s, pump differential h (m). The Power Of Water Pump Is 2Kw.
From www.solarkobo.com
Solar Water Pumps For Nigerian Users The Power Of Water Pump Is 2Kw The power of a water pump is 2 kw. Find mass of the water the pump can rise. The power of a water pump is 2 kw. We are going to solve discussion on saturday. The question says to take the value of g to be 10 m per second squared, the amount. Power of pump = 2kw = 2000. The Power Of Water Pump Is 2Kw.
From www.toppr.com
The power of water pump is 4 kW. If g = 10ms^2, The amount of water it The Power Of Water Pump Is 2Kw Power is the rate of doing work or work done per unit time. 180 rows pump power p (kw) in kilowatts is equal to the product of the rate of flow q (m 3 /hr) in cubic meter per hour, fluid density ρ (kg/m 3) in kilogram per cubic meter, gravity g in m 2 /s, pump differential h (m). The Power Of Water Pump Is 2Kw.
From www.toppr.com
The power of water pump is 4kw. if g = 10m/ s^2 the amount of water it The Power Of Water Pump Is 2Kw The power of a water pump is 2 kw. 180 rows pump power p (kw) in kilowatts is equal to the product of the rate of flow q (m 3 /hr) in cubic meter per hour, fluid density ρ (kg/m 3) in kilogram per cubic meter, gravity g in m 2 /s, pump differential h (m) head in meter and. The Power Of Water Pump Is 2Kw.
From www.bluesunpv.com
Buy Best price deep 2hp 3hp dc solar well pump system 2.2kw solar water The Power Of Water Pump Is 2Kw Find mass of the water the pump can rise. The power of a water pump is 2 kw. If `g = 10 m//s^2,` the amount of water it can raise in 1 min to a height of 10 m is : If g = 10 ms−2, the amount of water it can raise in one minute to a height of. The Power Of Water Pump Is 2Kw.
From www.tradeindia.com
3 X 3 Self Priming Water Pump Powered By Hk Engine at 18000.00 INR in The Power Of Water Pump Is 2Kw The power of a water pump is 2 kw. Power of pump = 2kw = 2000 w, time (t) = 60 sec. If g = 10 ms−2, the amount of water it can raise in one minute to a height of 10 m is: Power is the rate of doing work or work done per unit time. We are going. The Power Of Water Pump Is 2Kw.
From www.numerade.com
SOLVED 267 Water is pumped from a lower reservoir to a higher The Power Of Water Pump Is 2Kw The power of a water pump is 2 kw. The correct option is c 1200 litre. If g = 10 ms−2, the amount of water it can raise in one minute to a height of 10 m is: The power of a water pump is 2 kw. The power of a water pump is 2 kw. If `g = 10. The Power Of Water Pump Is 2Kw.
From www.aliexpress.com
2 Hp Dc Surface Water Pump For Irrigation Controller Solar Powered The Power Of Water Pump Is 2Kw If g = 10 ms−2, the amount of water it can raise in one minute to a height of 10 m is: 180 rows pump power p (kw) in kilowatts is equal to the product of the rate of flow q (m 3 /hr) in cubic meter per hour, fluid density ρ (kg/m 3) in kilogram per cubic meter, gravity. The Power Of Water Pump Is 2Kw.
From www.chegg.com
Solved A submersible pump with a shaft power of 5 kW and an The Power Of Water Pump Is 2Kw The power of a water pump is 2 kw. If g = 10 ms−2, the amount of water it can raise in one minute to a height of 10 m is: Now we have obtained the amount of water that can be raised to a height of 10 m in one minute with a water pump of power rating 2. The Power Of Water Pump Is 2Kw.
From www.doubtnut.com
The power of a water pump is 2 kW. If g = 10 m//s^2, the amount of wat The Power Of Water Pump Is 2Kw The power of a water pump is 2 kw. Now we have obtained the amount of water that can be raised to a height of 10 m in one minute with a water pump of power rating 2 kw. 180 rows pump power p (kw) in kilowatts is equal to the product of the rate of flow q (m 3. The Power Of Water Pump Is 2Kw.
From genour.en.made-in-china.com
Power Value 3 Inch Gasoline Engine Water Pump Wp30 Mini Pump with Ce The Power Of Water Pump Is 2Kw Power of pump = 2kw = 2000 w, time (t) = 60 sec. The power of a water pump is 2 kw. Now we have obtained the amount of water that can be raised to a height of 10 m in one minute with a water pump of power rating 2 kw. The power of a water pump is 2. The Power Of Water Pump Is 2Kw.
From www.doubtnut.com
If the power of the motor of a water pump is 3kW, then the volume of w The Power Of Water Pump Is 2Kw If `g = 10 m//s^2,` the amount of water it can raise in 1 min to a height of 10 m is : The question says to take the value of g to be 10 m per second squared, the amount. If g = 10 ms−2, the amount of water it can raise in one minute to a height of. The Power Of Water Pump Is 2Kw.
From bdce07892f6c5874.en.made-in-china.com
Electric 1.5 HP 1.1 Kw Jsw Series Domestic SelfPriming Water Pump The Power Of Water Pump Is 2Kw The power of a water pump is 2 kw. If g = 10 ms−2, the amount of water it can raise in one minute to a height of 10 m is: The correct option is c 1200 litre. Power of pump = 2kw = 2000 w, time (t) = 60 sec. The power of a water pump is 2 kw.. The Power Of Water Pump Is 2Kw.
From china-wedo.en.made-in-china.com
4 Inch 3 HP Centrifugal Water Pump High Flow Electric Pump 220V for The Power Of Water Pump Is 2Kw Find mass of the water the pump can rise. The question says to take the value of g to be 10 m per second squared, the amount. The power of a water pump is 2 kw. Power is the rate of doing work or work done per unit time. The correct option is c 1200 litre. The power of a. The Power Of Water Pump Is 2Kw.
From www.pressurewasherparts.com.au
2.2Kw Electric Motor Pump Combo Pressure Washers Pressure Washer The Power Of Water Pump Is 2Kw The power of a water pump is 2 kw. If `g = 10 m//s^2,` the amount of water it can raise in 1 min to a height of 10 m is : Power of pump = 2kw = 2000 w, time (t) = 60 sec. If `g = 10 m//s^2,` the amount of water it can raise in 1 min. The Power Of Water Pump Is 2Kw.
From www.alibaba.com
2.2kw Electric Motor Water Pump 2 Inch Buy Electric Water Pump Motor The Power Of Water Pump Is 2Kw We are going to solve discussion on saturday. If g = 10 ms−2, the amount of water it can raise in one minute to a height of 10 m is: The power of a water pump is 2 kw. The correct option is c 1200 litre. The power of a water pump is 2 kw. 180 rows pump power p. The Power Of Water Pump Is 2Kw.
From brainly.in
the power of motor pump 2kw how much water per minute the pump can The Power Of Water Pump Is 2Kw If `g = 10 m//s^2,` the amount of water it can raise in 1 min to a height of 10 m is : If `g = 10 m//s^2,` the amount of water it can raise in 1 min to a height of 10 m is : The power of a water pump is 2 kw. If g = 10 ms−2,. The Power Of Water Pump Is 2Kw.
From www.bluesunpv.com
Buy High Pressure AC/DC Solar Water Pumps 220V 2.2KW Solar DC Deep Well The Power Of Water Pump Is 2Kw If g = 10 ms−2, the amount of water it can raise in one minute to a height of 10 m is: The correct option is c 1200 litre. Find mass of the water the pump can rise. Power is the rate of doing work or work done per unit time. Now we have obtained the amount of water that. The Power Of Water Pump Is 2Kw.
From www.water-booster-pumps.co.za
Automatic Pump Controller Up To 2.2kw The Power Of Water Pump Is 2Kw If `g = 10 m//s^2,` the amount of water it can raise in 1 min to a height of 10 m is : Power is the rate of doing work or work done per unit time. The correct option is c 1200 litre. The power of a water pump is 2 kw. If g = 10 ms−2, the amount of. The Power Of Water Pump Is 2Kw.
From www.coursehero.com
[Solved] Determine the flow rate of a water pump that an The Power Of Water Pump Is 2Kw The power of a water pump is 2 kw. 180 rows pump power p (kw) in kilowatts is equal to the product of the rate of flow q (m 3 /hr) in cubic meter per hour, fluid density ρ (kg/m 3) in kilogram per cubic meter, gravity g in m 2 /s, pump differential h (m) head in meter and. The Power Of Water Pump Is 2Kw.
From www.desertcart.co.za
Buy pressure pumps Online in South Africa at Low Prices at desertcart The Power Of Water Pump Is 2Kw Now we have obtained the amount of water that can be raised to a height of 10 m in one minute with a water pump of power rating 2 kw. If `g = 10 m//s^2,` the amount of water it can raise in 1 min to a height of 10 m is : Find mass of the water the pump. The Power Of Water Pump Is 2Kw.
From byjus.com
An electric pump has 2kw power. How much water will the pump lift every The Power Of Water Pump Is 2Kw If g = 10 ms−2, the amount of water it can raise in one minute to a height of 10 m is: Now we have obtained the amount of water that can be raised to a height of 10 m in one minute with a water pump of power rating 2 kw. The power of a water pump is 2. The Power Of Water Pump Is 2Kw.
From www.walmart.com
iMeshbean 3 HP 4" Deep Well Water Pump Submersible Stainless Steel The Power Of Water Pump Is 2Kw Power is the rate of doing work or work done per unit time. The question says to take the value of g to be 10 m per second squared, the amount. We are going to solve discussion on saturday. 180 rows pump power p (kw) in kilowatts is equal to the product of the rate of flow q (m 3. The Power Of Water Pump Is 2Kw.
From toolsfromus.com
United Power Water Pump 1.5 inch Gasoline Series (GP40) Tools From Us The Power Of Water Pump Is 2Kw The power of a water pump is 2 kw. 180 rows pump power p (kw) in kilowatts is equal to the product of the rate of flow q (m 3 /hr) in cubic meter per hour, fluid density ρ (kg/m 3) in kilogram per cubic meter, gravity g in m 2 /s, pump differential h (m) head in meter and. The Power Of Water Pump Is 2Kw.
From www.aliexpress.com
V2200 A 2.2KW Submersible Pump 3HP Dirty Water Pumps Waste Water Lift The Power Of Water Pump Is 2Kw 180 rows pump power p (kw) in kilowatts is equal to the product of the rate of flow q (m 3 /hr) in cubic meter per hour, fluid density ρ (kg/m 3) in kilogram per cubic meter, gravity g in m 2 /s, pump differential h (m) head in meter and the differential pressure p (pa) in pascal or n/m. The Power Of Water Pump Is 2Kw.
From toolsfromus.com
United Power Water Pump 3 inch Gasoline Series (GP80) Tools From Us The Power Of Water Pump Is 2Kw The correct option is c 1200 litre. Power of pump = 2kw = 2000 w, time (t) = 60 sec. The power of a water pump is 2 kw. If g = 10 ms−2, the amount of water it can raise in one minute to a height of 10 m is: If `g = 10 m//s^2,` the amount of water. The Power Of Water Pump Is 2Kw.
From brainly.in
the power of water pump is 4 kw if g =10ms2 the amount of water it can The Power Of Water Pump Is 2Kw Power of pump = 2kw = 2000 w, time (t) = 60 sec. The power of a water pump is 2 kw. The power of a water pump is 2 kw. If `g = 10 m//s^2,` the amount of water it can raise in 1 min to a height of 10 m is : The question says to take the. The Power Of Water Pump Is 2Kw.
From www.alibaba.com
Best Price 220v 0.75kw 1hp Electric Jet Self Priming Water Pump Buy The Power Of Water Pump Is 2Kw The correct option is c 1200 litre. 180 rows pump power p (kw) in kilowatts is equal to the product of the rate of flow q (m 3 /hr) in cubic meter per hour, fluid density ρ (kg/m 3) in kilogram per cubic meter, gravity g in m 2 /s, pump differential h (m) head in meter and the differential. The Power Of Water Pump Is 2Kw.
From www.alibaba.com
Dk Series 3hp 2.2kw Brass Impeller 2 Inch Centrifugal Water Pump Made The Power Of Water Pump Is 2Kw Now we have obtained the amount of water that can be raised to a height of 10 m in one minute with a water pump of power rating 2 kw. Power of pump = 2kw = 2000 w, time (t) = 60 sec. The power of a water pump is 2 kw. Power is the rate of doing work or. The Power Of Water Pump Is 2Kw.
From mbondpumps.co.za
2.2 kW Borehole pump Free National Delivery Sale Online The Power Of Water Pump Is 2Kw The correct option is c 1200 litre. If g = 10 ms−2, the amount of water it can raise in one minute to a height of 10 m is: If `g = 10 m//s^2,` the amount of water it can raise in 1 min to a height of 10 m is : The power of a water pump is 2. The Power Of Water Pump Is 2Kw.
From www.desertcart.com.kw
Buy Pedrollo Electric Water Pump CP 0.252.2 kW Centrifugal Pump CPM The Power Of Water Pump Is 2Kw The power of a water pump is 2 kw. If `g = 10 m//s^2,` the amount of water it can raise in 1 min to a height of 10 m is : Power of pump = 2kw = 2000 w, time (t) = 60 sec. Now we have obtained the amount of water that can be raised to a height. The Power Of Water Pump Is 2Kw.
From www.paddockmachinery.com
Household Water Pressure Pumps & Multi Stage Booster Pumps Paddock The Power Of Water Pump Is 2Kw Now we have obtained the amount of water that can be raised to a height of 10 m in one minute with a water pump of power rating 2 kw. The power of a water pump is 2 kw. Power is the rate of doing work or work done per unit time. The question says to take the value of. The Power Of Water Pump Is 2Kw.
From www.youtube.com
The power of water pump is 4 kW. If g=10 ms^(2), the amount of water The Power Of Water Pump Is 2Kw The power of a water pump is 2 kw. Now we have obtained the amount of water that can be raised to a height of 10 m in one minute with a water pump of power rating 2 kw. 180 rows pump power p (kw) in kilowatts is equal to the product of the rate of flow q (m 3. The Power Of Water Pump Is 2Kw.