Clocks On Satellites Relativity . as predicted by einstein’s theory, clocks under the force of gravity run at a slower rate than clocks viewed from a. the clocks aboard gps satellites are extraordinarily stable, typically to one part in 1013 over a day, which is another way saying that they. since no “factory frequency offset” is applied to atomic clocks in the galileo satellites, relativity effects will cause satellite clock time to ramp away from tai and will require large correction terms to be transmitted to users. Emitting satellites and receiver are at different heights and their. as such, when viewed from the surface of the earth, the clocks on the satellites appear to be ticking faster than identical clocks. time difference due to the general relativity: gps satellites have an atomic clock on board, which is extremely accurate, compared to, for example, the clock on our smartphone (you can read. general relativity predicts that clocks go slower in a higher gravitational field. That is the clock aboard the gps.
from www.researchgate.net
general relativity predicts that clocks go slower in a higher gravitational field. Emitting satellites and receiver are at different heights and their. as such, when viewed from the surface of the earth, the clocks on the satellites appear to be ticking faster than identical clocks. the clocks aboard gps satellites are extraordinarily stable, typically to one part in 1013 over a day, which is another way saying that they. as predicted by einstein’s theory, clocks under the force of gravity run at a slower rate than clocks viewed from a. That is the clock aboard the gps. since no “factory frequency offset” is applied to atomic clocks in the galileo satellites, relativity effects will cause satellite clock time to ramp away from tai and will require large correction terms to be transmitted to users. gps satellites have an atomic clock on board, which is extremely accurate, compared to, for example, the clock on our smartphone (you can read. time difference due to the general relativity:
(PDF) Spacecraft Clocks and Relativity Prospects for Future Satellite
Clocks On Satellites Relativity since no “factory frequency offset” is applied to atomic clocks in the galileo satellites, relativity effects will cause satellite clock time to ramp away from tai and will require large correction terms to be transmitted to users. Emitting satellites and receiver are at different heights and their. the clocks aboard gps satellites are extraordinarily stable, typically to one part in 1013 over a day, which is another way saying that they. That is the clock aboard the gps. gps satellites have an atomic clock on board, which is extremely accurate, compared to, for example, the clock on our smartphone (you can read. general relativity predicts that clocks go slower in a higher gravitational field. as predicted by einstein’s theory, clocks under the force of gravity run at a slower rate than clocks viewed from a. time difference due to the general relativity: since no “factory frequency offset” is applied to atomic clocks in the galileo satellites, relativity effects will cause satellite clock time to ramp away from tai and will require large correction terms to be transmitted to users. as such, when viewed from the surface of the earth, the clocks on the satellites appear to be ticking faster than identical clocks.
From www.mathscinotes.com
Relativistic Effect on GPS Clocks (Source H. Fruehauf) Math Clocks On Satellites Relativity as such, when viewed from the surface of the earth, the clocks on the satellites appear to be ticking faster than identical clocks. the clocks aboard gps satellites are extraordinarily stable, typically to one part in 1013 over a day, which is another way saying that they. gps satellites have an atomic clock on board, which is. Clocks On Satellites Relativity.
From nebula.esa.int
General Relativity Experiment with Galileo satellites 5 and 6 (GREAT Clocks On Satellites Relativity the clocks aboard gps satellites are extraordinarily stable, typically to one part in 1013 over a day, which is another way saying that they. general relativity predicts that clocks go slower in a higher gravitational field. since no “factory frequency offset” is applied to atomic clocks in the galileo satellites, relativity effects will cause satellite clock time. Clocks On Satellites Relativity.
From slideplayer.com
Special theory of Relativity ppt download Clocks On Satellites Relativity Emitting satellites and receiver are at different heights and their. as such, when viewed from the surface of the earth, the clocks on the satellites appear to be ticking faster than identical clocks. since no “factory frequency offset” is applied to atomic clocks in the galileo satellites, relativity effects will cause satellite clock time to ramp away from. Clocks On Satellites Relativity.
From www.researchgate.net
(PDF) Spacecraft Clocks and Relativity Prospects for Future Satellite Clocks On Satellites Relativity as predicted by einstein’s theory, clocks under the force of gravity run at a slower rate than clocks viewed from a. That is the clock aboard the gps. general relativity predicts that clocks go slower in a higher gravitational field. as such, when viewed from the surface of the earth, the clocks on the satellites appear to. Clocks On Satellites Relativity.
From www.slideserve.com
PPT Relativity in the real world R elativistic effects in GPS Clocks On Satellites Relativity since no “factory frequency offset” is applied to atomic clocks in the galileo satellites, relativity effects will cause satellite clock time to ramp away from tai and will require large correction terms to be transmitted to users. gps satellites have an atomic clock on board, which is extremely accurate, compared to, for example, the clock on our smartphone. Clocks On Satellites Relativity.
From slideplayer.com
Phy107 Fall Exam Hour Exam 2 Wednesday, October 25th Inclass Clocks On Satellites Relativity Emitting satellites and receiver are at different heights and their. as predicted by einstein’s theory, clocks under the force of gravity run at a slower rate than clocks viewed from a. That is the clock aboard the gps. gps satellites have an atomic clock on board, which is extremely accurate, compared to, for example, the clock on our. Clocks On Satellites Relativity.
From www.physicsforums.com
Atomic Clock Time Dilation Experiment Clocks On Satellites Relativity as such, when viewed from the surface of the earth, the clocks on the satellites appear to be ticking faster than identical clocks. That is the clock aboard the gps. general relativity predicts that clocks go slower in a higher gravitational field. gps satellites have an atomic clock on board, which is extremely accurate, compared to, for. Clocks On Satellites Relativity.
From www.scienceofgadgets.com
HOW RELATIVISTIC TIME DILATION AND GPS ARE RELATED Clocks On Satellites Relativity time difference due to the general relativity: general relativity predicts that clocks go slower in a higher gravitational field. as such, when viewed from the surface of the earth, the clocks on the satellites appear to be ticking faster than identical clocks. the clocks aboard gps satellites are extraordinarily stable, typically to one part in 1013. Clocks On Satellites Relativity.
From slideplayer.com
General Relativity Part I Gravity is Acceleration ppt download Clocks On Satellites Relativity the clocks aboard gps satellites are extraordinarily stable, typically to one part in 1013 over a day, which is another way saying that they. Emitting satellites and receiver are at different heights and their. as such, when viewed from the surface of the earth, the clocks on the satellites appear to be ticking faster than identical clocks. . Clocks On Satellites Relativity.
From asd.gsfc.nasa.gov
100 Years of General Relativity NASA Blueshift Clocks On Satellites Relativity Emitting satellites and receiver are at different heights and their. since no “factory frequency offset” is applied to atomic clocks in the galileo satellites, relativity effects will cause satellite clock time to ramp away from tai and will require large correction terms to be transmitted to users. as such, when viewed from the surface of the earth, the. Clocks On Satellites Relativity.
From www.chegg.com
Solved Special Relativity Time Dilation s= VD2 + 2 ΔΙ, S S Clocks On Satellites Relativity as predicted by einstein’s theory, clocks under the force of gravity run at a slower rate than clocks viewed from a. as such, when viewed from the surface of the earth, the clocks on the satellites appear to be ticking faster than identical clocks. general relativity predicts that clocks go slower in a higher gravitational field. Emitting. Clocks On Satellites Relativity.
From odysee.com
Clips How "GPS Satellites" & Atomic Clocks Violate Special Relativity Clocks On Satellites Relativity as such, when viewed from the surface of the earth, the clocks on the satellites appear to be ticking faster than identical clocks. gps satellites have an atomic clock on board, which is extremely accurate, compared to, for example, the clock on our smartphone (you can read. Emitting satellites and receiver are at different heights and their. . Clocks On Satellites Relativity.
From slideplayer.com
GPS Wrap Up. How GPS Works in a nutshell 24 satellites are in orbits Clocks On Satellites Relativity That is the clock aboard the gps. as predicted by einstein’s theory, clocks under the force of gravity run at a slower rate than clocks viewed from a. time difference due to the general relativity: the clocks aboard gps satellites are extraordinarily stable, typically to one part in 1013 over a day, which is another way saying. Clocks On Satellites Relativity.
From scitechdaily.com
New Atomic Clocks Measure Time Dilation of Einstein’s General Clocks On Satellites Relativity Emitting satellites and receiver are at different heights and their. time difference due to the general relativity: since no “factory frequency offset” is applied to atomic clocks in the galileo satellites, relativity effects will cause satellite clock time to ramp away from tai and will require large correction terms to be transmitted to users. general relativity predicts. Clocks On Satellites Relativity.
From www.youtube.com
GPS and Relativity How Time Dilation Affects GPS Accuracy Special Clocks On Satellites Relativity as predicted by einstein’s theory, clocks under the force of gravity run at a slower rate than clocks viewed from a. That is the clock aboard the gps. general relativity predicts that clocks go slower in a higher gravitational field. Emitting satellites and receiver are at different heights and their. as such, when viewed from the surface. Clocks On Satellites Relativity.
From www.slideserve.com
PPT Relativity in the real world R elativistic effects in GPS Clocks On Satellites Relativity That is the clock aboard the gps. as predicted by einstein’s theory, clocks under the force of gravity run at a slower rate than clocks viewed from a. as such, when viewed from the surface of the earth, the clocks on the satellites appear to be ticking faster than identical clocks. since no “factory frequency offset” is. Clocks On Satellites Relativity.
From www.quora.com
According to relativity of simultaneity in special relativity, clocks Clocks On Satellites Relativity general relativity predicts that clocks go slower in a higher gravitational field. as such, when viewed from the surface of the earth, the clocks on the satellites appear to be ticking faster than identical clocks. the clocks aboard gps satellites are extraordinarily stable, typically to one part in 1013 over a day, which is another way saying. Clocks On Satellites Relativity.
From slideplayer.com
Time and Clock. ppt download Clocks On Satellites Relativity Emitting satellites and receiver are at different heights and their. since no “factory frequency offset” is applied to atomic clocks in the galileo satellites, relativity effects will cause satellite clock time to ramp away from tai and will require large correction terms to be transmitted to users. the clocks aboard gps satellites are extraordinarily stable, typically to one. Clocks On Satellites Relativity.
From www.numerade.com
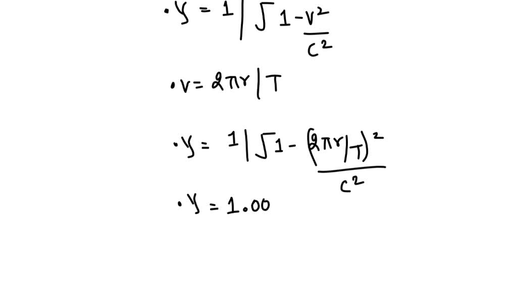
SOLVEDA clock is placed in a satellite that orbits Earth with a period Clocks On Satellites Relativity time difference due to the general relativity: as such, when viewed from the surface of the earth, the clocks on the satellites appear to be ticking faster than identical clocks. gps satellites have an atomic clock on board, which is extremely accurate, compared to, for example, the clock on our smartphone (you can read. That is the. Clocks On Satellites Relativity.
From www.dailysabah.com
In quantum world World's most precise clock set to transform physics Clocks On Satellites Relativity gps satellites have an atomic clock on board, which is extremely accurate, compared to, for example, the clock on our smartphone (you can read. as predicted by einstein’s theory, clocks under the force of gravity run at a slower rate than clocks viewed from a. time difference due to the general relativity: the clocks aboard gps. Clocks On Satellites Relativity.
From slidetodoc.com
Global Positioning System GPS Trenton Computer Festival 2007 Clocks On Satellites Relativity general relativity predicts that clocks go slower in a higher gravitational field. time difference due to the general relativity: as such, when viewed from the surface of the earth, the clocks on the satellites appear to be ticking faster than identical clocks. since no “factory frequency offset” is applied to atomic clocks in the galileo satellites,. Clocks On Satellites Relativity.
From www.researchgate.net
(PDF) Spacecraft Clocks and Relativity Prospects for Future Satellite Clocks On Satellites Relativity the clocks aboard gps satellites are extraordinarily stable, typically to one part in 1013 over a day, which is another way saying that they. since no “factory frequency offset” is applied to atomic clocks in the galileo satellites, relativity effects will cause satellite clock time to ramp away from tai and will require large correction terms to be. Clocks On Satellites Relativity.
From www.science.org
Optical Clocks and Relativity Science Clocks On Satellites Relativity general relativity predicts that clocks go slower in a higher gravitational field. That is the clock aboard the gps. Emitting satellites and receiver are at different heights and their. since no “factory frequency offset” is applied to atomic clocks in the galileo satellites, relativity effects will cause satellite clock time to ramp away from tai and will require. Clocks On Satellites Relativity.
From www.esa.int
ESA Galileo satellites prove Einstein's Relativity Theory to highest Clocks On Satellites Relativity as predicted by einstein’s theory, clocks under the force of gravity run at a slower rate than clocks viewed from a. general relativity predicts that clocks go slower in a higher gravitational field. since no “factory frequency offset” is applied to atomic clocks in the galileo satellites, relativity effects will cause satellite clock time to ramp away. Clocks On Satellites Relativity.
From phys.org
Team lays groundwork for future ultraprecise timing links to Clocks On Satellites Relativity That is the clock aboard the gps. time difference due to the general relativity: gps satellites have an atomic clock on board, which is extremely accurate, compared to, for example, the clock on our smartphone (you can read. as predicted by einstein’s theory, clocks under the force of gravity run at a slower rate than clocks viewed. Clocks On Satellites Relativity.
From www.space.com
Einstein's 'Time Dilation' Gets Pinpoint Measure Thanks to Wayward Clocks On Satellites Relativity the clocks aboard gps satellites are extraordinarily stable, typically to one part in 1013 over a day, which is another way saying that they. gps satellites have an atomic clock on board, which is extremely accurate, compared to, for example, the clock on our smartphone (you can read. time difference due to the general relativity: general. Clocks On Satellites Relativity.
From www.engadget.com
Researchers use satellite launch blunder to test relativity Engadget Clocks On Satellites Relativity the clocks aboard gps satellites are extraordinarily stable, typically to one part in 1013 over a day, which is another way saying that they. general relativity predicts that clocks go slower in a higher gravitational field. gps satellites have an atomic clock on board, which is extremely accurate, compared to, for example, the clock on our smartphone. Clocks On Satellites Relativity.
From ropehypothesis.com
General Relativity The Rope Hypothesis Clocks On Satellites Relativity as predicted by einstein’s theory, clocks under the force of gravity run at a slower rate than clocks viewed from a. the clocks aboard gps satellites are extraordinarily stable, typically to one part in 1013 over a day, which is another way saying that they. gps satellites have an atomic clock on board, which is extremely accurate,. Clocks On Satellites Relativity.
From www7b.biglobe.ne.jp
Einstein general relativity has fatal defects Clocks On Satellites Relativity as predicted by einstein’s theory, clocks under the force of gravity run at a slower rate than clocks viewed from a. Emitting satellites and receiver are at different heights and their. That is the clock aboard the gps. time difference due to the general relativity: the clocks aboard gps satellites are extraordinarily stable, typically to one part. Clocks On Satellites Relativity.
From www.abc.net.au
General relativity How Einstein's theory explains the universe, and Clocks On Satellites Relativity as predicted by einstein’s theory, clocks under the force of gravity run at a slower rate than clocks viewed from a. since no “factory frequency offset” is applied to atomic clocks in the galileo satellites, relativity effects will cause satellite clock time to ramp away from tai and will require large correction terms to be transmitted to users.. Clocks On Satellites Relativity.
From slideplayer.com
Relativity in the real world Relativistic effects in GPS ppt download Clocks On Satellites Relativity since no “factory frequency offset” is applied to atomic clocks in the galileo satellites, relativity effects will cause satellite clock time to ramp away from tai and will require large correction terms to be transmitted to users. the clocks aboard gps satellites are extraordinarily stable, typically to one part in 1013 over a day, which is another way. Clocks On Satellites Relativity.
From www.e-education.psu.edu
The Satellite Clock GEOG 862 GPS and GNSS for Geospatial Professionals Clocks On Satellites Relativity time difference due to the general relativity: That is the clock aboard the gps. general relativity predicts that clocks go slower in a higher gravitational field. the clocks aboard gps satellites are extraordinarily stable, typically to one part in 1013 over a day, which is another way saying that they. since no “factory frequency offset” is. Clocks On Satellites Relativity.
From www.science.org
After botched launch, orbiting atomic clocks confirm Einstein's theory Clocks On Satellites Relativity as predicted by einstein’s theory, clocks under the force of gravity run at a slower rate than clocks viewed from a. general relativity predicts that clocks go slower in a higher gravitational field. the clocks aboard gps satellites are extraordinarily stable, typically to one part in 1013 over a day, which is another way saying that they.. Clocks On Satellites Relativity.
From www.universetoday.com
Deep Space Atomic Clocks Will Help Spacecraft Answer, with Incredible Clocks On Satellites Relativity general relativity predicts that clocks go slower in a higher gravitational field. as predicted by einstein’s theory, clocks under the force of gravity run at a slower rate than clocks viewed from a. the clocks aboard gps satellites are extraordinarily stable, typically to one part in 1013 over a day, which is another way saying that they.. Clocks On Satellites Relativity.
From www.researchgate.net
Relativity clock correction of elliptical satellites (blue E14, red Clocks On Satellites Relativity as predicted by einstein’s theory, clocks under the force of gravity run at a slower rate than clocks viewed from a. Emitting satellites and receiver are at different heights and their. general relativity predicts that clocks go slower in a higher gravitational field. time difference due to the general relativity: the clocks aboard gps satellites are. Clocks On Satellites Relativity.