Stator Copper Loss In Induction Motor Formula . in equation 3, scl is the stator copper loss, i 1 is the line current into the motor, r s is the stator winding resistance. the copper loss occurs in the stator and rotor of an induction motor. x2 = rotor leakage reactance referred to stator/phase. The copper loss depends on the resistance and current flowing through the winding. The stator consists of a series of wire windings of very low resistance permanently. The following are the losses in an induction motor: the total stator and rotor core loss is determined by multiplying. generally, the variable loss is also known as copper loss. the induction motor is made up of the stator, or stationary windings, and the rotor. Stator copper loss = 3i 1 2 r 1 2 The copper loss in the stator is called stator copper loss, and copper loss in the. Variable losses in in induction motor are as follows:
from www.electricaltechnology.org
x2 = rotor leakage reactance referred to stator/phase. Variable losses in in induction motor are as follows: The copper loss depends on the resistance and current flowing through the winding. The stator consists of a series of wire windings of very low resistance permanently. The copper loss in the stator is called stator copper loss, and copper loss in the. The following are the losses in an induction motor: generally, the variable loss is also known as copper loss. the total stator and rotor core loss is determined by multiplying. the copper loss occurs in the stator and rotor of an induction motor. in equation 3, scl is the stator copper loss, i 1 is the line current into the motor, r s is the stator winding resistance.
Linear and Induction Motors Formulas and Equations
Stator Copper Loss In Induction Motor Formula the induction motor is made up of the stator, or stationary windings, and the rotor. The stator consists of a series of wire windings of very low resistance permanently. Stator copper loss = 3i 1 2 r 1 2 The following are the losses in an induction motor: the induction motor is made up of the stator, or stationary windings, and the rotor. Variable losses in in induction motor are as follows: The copper loss depends on the resistance and current flowing through the winding. x2 = rotor leakage reactance referred to stator/phase. generally, the variable loss is also known as copper loss. the copper loss occurs in the stator and rotor of an induction motor. The copper loss in the stator is called stator copper loss, and copper loss in the. the total stator and rotor core loss is determined by multiplying. in equation 3, scl is the stator copper loss, i 1 is the line current into the motor, r s is the stator winding resistance.
From howelectrical.com
Losses and Efficiency of Induction Motor Electrical and Electronics Blog Stator Copper Loss In Induction Motor Formula the induction motor is made up of the stator, or stationary windings, and the rotor. The copper loss in the stator is called stator copper loss, and copper loss in the. Variable losses in in induction motor are as follows: The following are the losses in an induction motor: in equation 3, scl is the stator copper loss,. Stator Copper Loss In Induction Motor Formula.
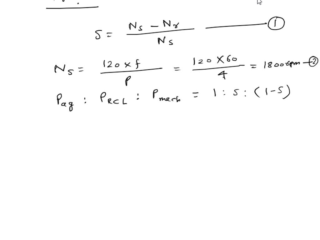
From slidetodoc.com
Induction Motors Lecture 12 Introduction Threephase induction motors Stator Copper Loss In Induction Motor Formula The following are the losses in an induction motor: the induction motor is made up of the stator, or stationary windings, and the rotor. Stator copper loss = 3i 1 2 r 1 2 x2 = rotor leakage reactance referred to stator/phase. the copper loss occurs in the stator and rotor of an induction motor. generally,. Stator Copper Loss In Induction Motor Formula.
From www.semanticscholar.org
Figure 3 from An Investigation on Stator Copper Loss by Using Different Stator Copper Loss In Induction Motor Formula in equation 3, scl is the stator copper loss, i 1 is the line current into the motor, r s is the stator winding resistance. generally, the variable loss is also known as copper loss. The copper loss in the stator is called stator copper loss, and copper loss in the. x2 = rotor leakage reactance referred. Stator Copper Loss In Induction Motor Formula.
From www.slideserve.com
PPT Electrical Machines PowerPoint Presentation, free download ID Stator Copper Loss In Induction Motor Formula The copper loss depends on the resistance and current flowing through the winding. x2 = rotor leakage reactance referred to stator/phase. the copper loss occurs in the stator and rotor of an induction motor. the total stator and rotor core loss is determined by multiplying. in equation 3, scl is the stator copper loss, i 1. Stator Copper Loss In Induction Motor Formula.
From galaxyelectricalwrk.blogspot.com
What are the losses in an induction motor? Galaxy electrical work Stator Copper Loss In Induction Motor Formula the induction motor is made up of the stator, or stationary windings, and the rotor. x2 = rotor leakage reactance referred to stator/phase. Variable losses in in induction motor are as follows: The copper loss depends on the resistance and current flowing through the winding. the total stator and rotor core loss is determined by multiplying. The. Stator Copper Loss In Induction Motor Formula.
From www.chegg.com
Solved Q3) The stator copper loss is 1000 W and the rotor Stator Copper Loss In Induction Motor Formula the induction motor is made up of the stator, or stationary windings, and the rotor. The stator consists of a series of wire windings of very low resistance permanently. The following are the losses in an induction motor: Variable losses in in induction motor are as follows: x2 = rotor leakage reactance referred to stator/phase. in equation. Stator Copper Loss In Induction Motor Formula.
From www.numerade.com
SOLVED A 3phase, 4pole induction motor rotor absorbs 20 kW from the Stator Copper Loss In Induction Motor Formula The copper loss in the stator is called stator copper loss, and copper loss in the. Stator copper loss = 3i 1 2 r 1 2 the copper loss occurs in the stator and rotor of an induction motor. The stator consists of a series of wire windings of very low resistance permanently. x2 = rotor leakage reactance. Stator Copper Loss In Induction Motor Formula.
From www.electricaltechnology.org
Linear and Induction Motors Formulas and Equations Stator Copper Loss In Induction Motor Formula the total stator and rotor core loss is determined by multiplying. Variable losses in in induction motor are as follows: The copper loss depends on the resistance and current flowing through the winding. The stator consists of a series of wire windings of very low resistance permanently. The following are the losses in an induction motor: the copper. Stator Copper Loss In Induction Motor Formula.
From slideplayer.com
Electric Machine Induction Motor ppt download Stator Copper Loss In Induction Motor Formula the copper loss occurs in the stator and rotor of an induction motor. the total stator and rotor core loss is determined by multiplying. Variable losses in in induction motor are as follows: The copper loss in the stator is called stator copper loss, and copper loss in the. x2 = rotor leakage reactance referred to stator/phase.. Stator Copper Loss In Induction Motor Formula.
From www.youtube.com
Pg Pm Pcu copper loss ,mechanical power and airgap power Stator Copper Loss In Induction Motor Formula Variable losses in in induction motor are as follows: The following are the losses in an induction motor: The stator consists of a series of wire windings of very low resistance permanently. The copper loss depends on the resistance and current flowing through the winding. Stator copper loss = 3i 1 2 r 1 2 the total stator and. Stator Copper Loss In Induction Motor Formula.
From www.numerade.com
A 480 V, 60 Hz, 50 hp, 3phase induction motor is drawing 60 A at 0.85 Stator Copper Loss In Induction Motor Formula the induction motor is made up of the stator, or stationary windings, and the rotor. the copper loss occurs in the stator and rotor of an induction motor. The copper loss depends on the resistance and current flowing through the winding. generally, the variable loss is also known as copper loss. The following are the losses in. Stator Copper Loss In Induction Motor Formula.
From www.slideserve.com
PPT Induction Motors PowerPoint Presentation, free download ID6782968 Stator Copper Loss In Induction Motor Formula the total stator and rotor core loss is determined by multiplying. generally, the variable loss is also known as copper loss. The copper loss in the stator is called stator copper loss, and copper loss in the. Variable losses in in induction motor are as follows: Stator copper loss = 3i 1 2 r 1 2 the. Stator Copper Loss In Induction Motor Formula.
From www.electricaltechnology.org
Losses in a Motor Power Stages in an Induction Motor Stator Copper Loss In Induction Motor Formula x2 = rotor leakage reactance referred to stator/phase. the total stator and rotor core loss is determined by multiplying. The following are the losses in an induction motor: generally, the variable loss is also known as copper loss. Stator copper loss = 3i 1 2 r 1 2 The copper loss in the stator is called stator. Stator Copper Loss In Induction Motor Formula.
From www.numerade.com
SOLVED QUESTION 2 A 208V, 60Hz, six poles, delta connected induction Stator Copper Loss In Induction Motor Formula The stator consists of a series of wire windings of very low resistance permanently. generally, the variable loss is also known as copper loss. the induction motor is made up of the stator, or stationary windings, and the rotor. the copper loss occurs in the stator and rotor of an induction motor. The copper loss in the. Stator Copper Loss In Induction Motor Formula.
From www.researchgate.net
Stator copper losses of the motors with different IEclassifications as Stator Copper Loss In Induction Motor Formula the copper loss occurs in the stator and rotor of an induction motor. in equation 3, scl is the stator copper loss, i 1 is the line current into the motor, r s is the stator winding resistance. Variable losses in in induction motor are as follows: The following are the losses in an induction motor: The copper. Stator Copper Loss In Induction Motor Formula.
From www.chegg.com
Solved An induction motor has an efficiency of 90 when the Stator Copper Loss In Induction Motor Formula The stator consists of a series of wire windings of very low resistance permanently. the total stator and rotor core loss is determined by multiplying. The copper loss depends on the resistance and current flowing through the winding. The following are the losses in an induction motor: the induction motor is made up of the stator, or stationary. Stator Copper Loss In Induction Motor Formula.
From itecnotes.com
Electronic Asynchronous induction motor, current in stator Valuable Stator Copper Loss In Induction Motor Formula The copper loss depends on the resistance and current flowing through the winding. Variable losses in in induction motor are as follows: generally, the variable loss is also known as copper loss. the induction motor is made up of the stator, or stationary windings, and the rotor. Stator copper loss = 3i 1 2 r 1 2 The. Stator Copper Loss In Induction Motor Formula.
From www.youtube.com
Transformer copper loss YouTube Stator Copper Loss In Induction Motor Formula generally, the variable loss is also known as copper loss. The copper loss in the stator is called stator copper loss, and copper loss in the. Stator copper loss = 3i 1 2 r 1 2 Variable losses in in induction motor are as follows: The following are the losses in an induction motor: The stator consists of a. Stator Copper Loss In Induction Motor Formula.
From ietresearch.onlinelibrary.wiley.com
Copper loss analysis and loss separation method in a dynamic process of Stator Copper Loss In Induction Motor Formula generally, the variable loss is also known as copper loss. x2 = rotor leakage reactance referred to stator/phase. the copper loss occurs in the stator and rotor of an induction motor. Variable losses in in induction motor are as follows: the induction motor is made up of the stator, or stationary windings, and the rotor. Stator. Stator Copper Loss In Induction Motor Formula.
From www.ofelectrical.com
Electrical Learning Losses in 3 phase Induction Motor Stator Copper Loss In Induction Motor Formula the total stator and rotor core loss is determined by multiplying. Variable losses in in induction motor are as follows: the copper loss occurs in the stator and rotor of an induction motor. The copper loss depends on the resistance and current flowing through the winding. The copper loss in the stator is called stator copper loss, and. Stator Copper Loss In Induction Motor Formula.
From www.chegg.com
Solved A 440 VLL. 60 Hz, sixpole, threephase induction Stator Copper Loss In Induction Motor Formula The copper loss in the stator is called stator copper loss, and copper loss in the. the copper loss occurs in the stator and rotor of an induction motor. Stator copper loss = 3i 1 2 r 1 2 generally, the variable loss is also known as copper loss. Variable losses in in induction motor are as follows:. Stator Copper Loss In Induction Motor Formula.
From electronics.stackexchange.com
induction motor Low load rotor copper losses versus full load rotor Stator Copper Loss In Induction Motor Formula the total stator and rotor core loss is determined by multiplying. in equation 3, scl is the stator copper loss, i 1 is the line current into the motor, r s is the stator winding resistance. The copper loss in the stator is called stator copper loss, and copper loss in the. generally, the variable loss is. Stator Copper Loss In Induction Motor Formula.
From www.electricaltechnology.org
Losses in a Motor Power Stages in an Induction Motor Stator Copper Loss In Induction Motor Formula generally, the variable loss is also known as copper loss. Stator copper loss = 3i 1 2 r 1 2 the copper loss occurs in the stator and rotor of an induction motor. The copper loss in the stator is called stator copper loss, and copper loss in the. The copper loss depends on the resistance and current. Stator Copper Loss In Induction Motor Formula.
From www.linquip.com
Efficiency of Induction Motor Calculation & Equation Linquip Stator Copper Loss In Induction Motor Formula Stator copper loss = 3i 1 2 r 1 2 The copper loss depends on the resistance and current flowing through the winding. the total stator and rotor core loss is determined by multiplying. The stator consists of a series of wire windings of very low resistance permanently. The copper loss in the stator is called stator copper loss,. Stator Copper Loss In Induction Motor Formula.
From www.electrical4u.net
Copper Loss Calculation Calculator for Single Phase & Three Phase Stator Copper Loss In Induction Motor Formula the induction motor is made up of the stator, or stationary windings, and the rotor. Variable losses in in induction motor are as follows: The following are the losses in an induction motor: in equation 3, scl is the stator copper loss, i 1 is the line current into the motor, r s is the stator winding resistance.. Stator Copper Loss In Induction Motor Formula.
From www.electricalengineering.xyz
Induction Motor Formulas with Calculations Stator Copper Loss In Induction Motor Formula generally, the variable loss is also known as copper loss. The copper loss depends on the resistance and current flowing through the winding. x2 = rotor leakage reactance referred to stator/phase. The copper loss in the stator is called stator copper loss, and copper loss in the. The stator consists of a series of wire windings of very. Stator Copper Loss In Induction Motor Formula.
From www.youtube.com
Ratio of rotor input, copper loss & rotor output in slip term Stator Copper Loss In Induction Motor Formula the total stator and rotor core loss is determined by multiplying. The copper loss in the stator is called stator copper loss, and copper loss in the. x2 = rotor leakage reactance referred to stator/phase. The stator consists of a series of wire windings of very low resistance permanently. the copper loss occurs in the stator and. Stator Copper Loss In Induction Motor Formula.
From slideplayer.com
Three Phase Induction Motors ppt download Stator Copper Loss In Induction Motor Formula The stator consists of a series of wire windings of very low resistance permanently. Variable losses in in induction motor are as follows: x2 = rotor leakage reactance referred to stator/phase. The following are the losses in an induction motor: The copper loss in the stator is called stator copper loss, and copper loss in the. Stator copper loss. Stator Copper Loss In Induction Motor Formula.
From www.electricaltechnology.org
Noload Test of Induction Motor Stator Copper Loss In Induction Motor Formula the induction motor is made up of the stator, or stationary windings, and the rotor. The copper loss depends on the resistance and current flowing through the winding. The stator consists of a series of wire windings of very low resistance permanently. the copper loss occurs in the stator and rotor of an induction motor. in equation. Stator Copper Loss In Induction Motor Formula.
From www.theengineeringknowledge.com
Power and Torque in Induction Motors The Engineering Knowledge Stator Copper Loss In Induction Motor Formula Variable losses in in induction motor are as follows: The following are the losses in an induction motor: The stator consists of a series of wire windings of very low resistance permanently. in equation 3, scl is the stator copper loss, i 1 is the line current into the motor, r s is the stator winding resistance. the. Stator Copper Loss In Induction Motor Formula.
From webmotor.org
How To Calculate Input Power Of Induction Motor Stator Copper Loss In Induction Motor Formula x2 = rotor leakage reactance referred to stator/phase. generally, the variable loss is also known as copper loss. The copper loss depends on the resistance and current flowing through the winding. The following are the losses in an induction motor: Variable losses in in induction motor are as follows: the copper loss occurs in the stator and. Stator Copper Loss In Induction Motor Formula.
From www.youtube.com
Power developed and rotor loss/phase when stator input = 60kW and loss Stator Copper Loss In Induction Motor Formula The following are the losses in an induction motor: x2 = rotor leakage reactance referred to stator/phase. in equation 3, scl is the stator copper loss, i 1 is the line current into the motor, r s is the stator winding resistance. the total stator and rotor core loss is determined by multiplying. the copper loss. Stator Copper Loss In Induction Motor Formula.
From circuitglobe.com
Power Flow Diagram and Losses of Induction Motor Circuit Globe Stator Copper Loss In Induction Motor Formula Variable losses in in induction motor are as follows: The following are the losses in an induction motor: the induction motor is made up of the stator, or stationary windings, and the rotor. generally, the variable loss is also known as copper loss. Stator copper loss = 3i 1 2 r 1 2 x2 = rotor leakage. Stator Copper Loss In Induction Motor Formula.
From www.numerade.com
SOLVED A 15 HP, 60 Hz, 4pole wound rotor, threephase, 208 V Stator Copper Loss In Induction Motor Formula generally, the variable loss is also known as copper loss. the total stator and rotor core loss is determined by multiplying. The copper loss in the stator is called stator copper loss, and copper loss in the. x2 = rotor leakage reactance referred to stator/phase. in equation 3, scl is the stator copper loss, i 1. Stator Copper Loss In Induction Motor Formula.
From www.slideserve.com
PPT AC DRIVES PowerPoint Presentation, free download ID6593304 Stator Copper Loss In Induction Motor Formula the copper loss occurs in the stator and rotor of an induction motor. the induction motor is made up of the stator, or stationary windings, and the rotor. x2 = rotor leakage reactance referred to stator/phase. The following are the losses in an induction motor: The copper loss depends on the resistance and current flowing through the. Stator Copper Loss In Induction Motor Formula.