Face Card And Non Face Card . I'm being given an example to use the formula, which is the following: Face (or court) vs number cards. The jack, queen and king of each suit are called face cards because each of them has a picture of a royal person, with a face. Two cards are drawn one after another (without replacement) from a well shuffled pack of 52 52 playing cards. Hearts, clubs, diamonds, and spades; Show the probability of getting or not getting a face catd by drawing. Probability of obtaining at least 1 face card (so $12$ out of $52$) by. Here’s another way to break down the different types of cards. Face or court cards = jacks, queens, and kings.
from www.youtube.com
Probability of obtaining at least 1 face card (so $12$ out of $52$) by. The jack, queen and king of each suit are called face cards because each of them has a picture of a royal person, with a face. Face (or court) vs number cards. Show the probability of getting or not getting a face catd by drawing. Hearts, clubs, diamonds, and spades; I'm being given an example to use the formula, which is the following: Two cards are drawn one after another (without replacement) from a well shuffled pack of 52 52 playing cards. Here’s another way to break down the different types of cards. Face or court cards = jacks, queens, and kings.
Probability of a Face Card, Honour Card NCERT Class 10 (Part 3) YouTube
Face Card And Non Face Card I'm being given an example to use the formula, which is the following: The jack, queen and king of each suit are called face cards because each of them has a picture of a royal person, with a face. Two cards are drawn one after another (without replacement) from a well shuffled pack of 52 52 playing cards. Here’s another way to break down the different types of cards. Probability of obtaining at least 1 face card (so $12$ out of $52$) by. Face or court cards = jacks, queens, and kings. I'm being given an example to use the formula, which is the following: Show the probability of getting or not getting a face catd by drawing. Face (or court) vs number cards. Hearts, clubs, diamonds, and spades;
From sciencetrends.com
How Many Face Cards Are In A Deck? Science Trends Face Card And Non Face Card Here’s another way to break down the different types of cards. Face (or court) vs number cards. Face or court cards = jacks, queens, and kings. Show the probability of getting or not getting a face catd by drawing. I'm being given an example to use the formula, which is the following: Hearts, clubs, diamonds, and spades; The jack, queen. Face Card And Non Face Card.
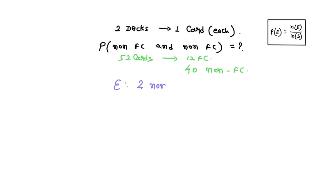
From www.numerade.com
SOLVED From a standard 52card deck, how many 7card hands consist of Face Card And Non Face Card Face (or court) vs number cards. Show the probability of getting or not getting a face catd by drawing. Two cards are drawn one after another (without replacement) from a well shuffled pack of 52 52 playing cards. Probability of obtaining at least 1 face card (so $12$ out of $52$) by. The jack, queen and king of each suit. Face Card And Non Face Card.
From byronknoll.blogspot.com
Byron's Blog Face Cards Face Card And Non Face Card The jack, queen and king of each suit are called face cards because each of them has a picture of a royal person, with a face. Show the probability of getting or not getting a face catd by drawing. Two cards are drawn one after another (without replacement) from a well shuffled pack of 52 52 playing cards. Here’s another. Face Card And Non Face Card.
From www.designyourway.net
Face Cards The Intricate Playing Card Designs (With Examples) Face Card And Non Face Card I'm being given an example to use the formula, which is the following: Show the probability of getting or not getting a face catd by drawing. Face or court cards = jacks, queens, and kings. Probability of obtaining at least 1 face card (so $12$ out of $52$) by. Two cards are drawn one after another (without replacement) from a. Face Card And Non Face Card.
From www.designyourway.net
Face Cards The Intricate Playing Card Designs (With Examples) Face Card And Non Face Card Show the probability of getting or not getting a face catd by drawing. I'm being given an example to use the formula, which is the following: Face or court cards = jacks, queens, and kings. The jack, queen and king of each suit are called face cards because each of them has a picture of a royal person, with a. Face Card And Non Face Card.
From www.studocu.com
Propability Exercices And Solutions A deck of cards contains 10 face Face Card And Non Face Card Face (or court) vs number cards. Here’s another way to break down the different types of cards. Show the probability of getting or not getting a face catd by drawing. Two cards are drawn one after another (without replacement) from a well shuffled pack of 52 52 playing cards. I'm being given an example to use the formula, which is. Face Card And Non Face Card.
From www.youtube.com
Probability of a Face Card, Honour Card NCERT Class 10 (Part 3) YouTube Face Card And Non Face Card The jack, queen and king of each suit are called face cards because each of them has a picture of a royal person, with a face. Show the probability of getting or not getting a face catd by drawing. Two cards are drawn one after another (without replacement) from a well shuffled pack of 52 52 playing cards. Hearts, clubs,. Face Card And Non Face Card.
From www.vat19.com
XRay Deck of Playing Cards Deceptively Translucent Face Card And Non Face Card Hearts, clubs, diamonds, and spades; I'm being given an example to use the formula, which is the following: Face (or court) vs number cards. Show the probability of getting or not getting a face catd by drawing. Two cards are drawn one after another (without replacement) from a well shuffled pack of 52 52 playing cards. The jack, queen and. Face Card And Non Face Card.
From www.mpl.live
How Many Face Cards are in a Deck of Cards? Face Card And Non Face Card Show the probability of getting or not getting a face catd by drawing. The jack, queen and king of each suit are called face cards because each of them has a picture of a royal person, with a face. Probability of obtaining at least 1 face card (so $12$ out of $52$) by. Face or court cards = jacks, queens,. Face Card And Non Face Card.
From granatcasino.com
Learn about the meaning and significance of the face cards in a deck Face Card And Non Face Card Face or court cards = jacks, queens, and kings. The jack, queen and king of each suit are called face cards because each of them has a picture of a royal person, with a face. Face (or court) vs number cards. Probability of obtaining at least 1 face card (so $12$ out of $52$) by. Two cards are drawn one. Face Card And Non Face Card.
From rzatrivia.blogspot.com
The RZA Cliff Notes Playing Cards Face Cards Face Card And Non Face Card Here’s another way to break down the different types of cards. Hearts, clubs, diamonds, and spades; I'm being given an example to use the formula, which is the following: The jack, queen and king of each suit are called face cards because each of them has a picture of a royal person, with a face. Face (or court) vs number. Face Card And Non Face Card.
From www.getmega.com
NonFace Card In Poker & Probability Of Getting It GetMega Face Card And Non Face Card Face (or court) vs number cards. Hearts, clubs, diamonds, and spades; Two cards are drawn one after another (without replacement) from a well shuffled pack of 52 52 playing cards. Face or court cards = jacks, queens, and kings. The jack, queen and king of each suit are called face cards because each of them has a picture of a. Face Card And Non Face Card.
From www.numerade.com
In a standard deck of cards, what is the probability of drawing a face Face Card And Non Face Card Probability of obtaining at least 1 face card (so $12$ out of $52$) by. Hearts, clubs, diamonds, and spades; Face (or court) vs number cards. Face or court cards = jacks, queens, and kings. Show the probability of getting or not getting a face catd by drawing. I'm being given an example to use the formula, which is the following:. Face Card And Non Face Card.
From www.youtube.com
How many face cards are in a deck of cards YouTube Face Card And Non Face Card Hearts, clubs, diamonds, and spades; Show the probability of getting or not getting a face catd by drawing. Face or court cards = jacks, queens, and kings. Here’s another way to break down the different types of cards. The jack, queen and king of each suit are called face cards because each of them has a picture of a royal. Face Card And Non Face Card.
From www.youtube.com
How many ways can you receive all face card, no face card, at least one Face Card And Non Face Card Probability of obtaining at least 1 face card (so $12$ out of $52$) by. Show the probability of getting or not getting a face catd by drawing. Two cards are drawn one after another (without replacement) from a well shuffled pack of 52 52 playing cards. I'm being given an example to use the formula, which is the following: Face. Face Card And Non Face Card.
From www.reddit.com
Comparison of face card designs in basic decks r/playingcards Face Card And Non Face Card Probability of obtaining at least 1 face card (so $12$ out of $52$) by. Two cards are drawn one after another (without replacement) from a well shuffled pack of 52 52 playing cards. Face (or court) vs number cards. Here’s another way to break down the different types of cards. The jack, queen and king of each suit are called. Face Card And Non Face Card.
From www.branchor.com
The Truth About Face Cards Understanding Their Role in Card Games Face Card And Non Face Card I'm being given an example to use the formula, which is the following: The jack, queen and king of each suit are called face cards because each of them has a picture of a royal person, with a face. Hearts, clubs, diamonds, and spades; Probability of obtaining at least 1 face card (so $12$ out of $52$) by. Face or. Face Card And Non Face Card.
From www.pinterest.com
Face Card Designs Face Card And Non Face Card Here’s another way to break down the different types of cards. Face (or court) vs number cards. Hearts, clubs, diamonds, and spades; Show the probability of getting or not getting a face catd by drawing. Probability of obtaining at least 1 face card (so $12$ out of $52$) by. Face or court cards = jacks, queens, and kings. I'm being. Face Card And Non Face Card.
From www.getrushapp.com
How Many Face Cards Are In A Deck? Number of Face Card Face Card And Non Face Card Hearts, clubs, diamonds, and spades; I'm being given an example to use the formula, which is the following: Face (or court) vs number cards. Here’s another way to break down the different types of cards. Face or court cards = jacks, queens, and kings. The jack, queen and king of each suit are called face cards because each of them. Face Card And Non Face Card.
From www.joemills.com
Chicago Playing Cards — Joe Mills Illustration Face Card And Non Face Card Face (or court) vs number cards. Show the probability of getting or not getting a face catd by drawing. Two cards are drawn one after another (without replacement) from a well shuffled pack of 52 52 playing cards. The jack, queen and king of each suit are called face cards because each of them has a picture of a royal. Face Card And Non Face Card.
From slang.net
Face Card What does face card mean? Face Card And Non Face Card I'm being given an example to use the formula, which is the following: Face (or court) vs number cards. Two cards are drawn one after another (without replacement) from a well shuffled pack of 52 52 playing cards. Face or court cards = jacks, queens, and kings. Probability of obtaining at least 1 face card (so $12$ out of $52$). Face Card And Non Face Card.
From www.designyourway.net
Face Cards The Intricate Playing Card Designs (With Examples) Face Card And Non Face Card Two cards are drawn one after another (without replacement) from a well shuffled pack of 52 52 playing cards. I'm being given an example to use the formula, which is the following: Hearts, clubs, diamonds, and spades; Here’s another way to break down the different types of cards. Probability of obtaining at least 1 face card (so $12$ out of. Face Card And Non Face Card.
From byronknoll.blogspot.com
Byron's Blog Face Cards Face Card And Non Face Card Probability of obtaining at least 1 face card (so $12$ out of $52$) by. Face (or court) vs number cards. The jack, queen and king of each suit are called face cards because each of them has a picture of a royal person, with a face. Two cards are drawn one after another (without replacement) from a well shuffled pack. Face Card And Non Face Card.
From ar.inspiredpencil.com
Deck Of Cards Face Cards Face Card And Non Face Card Two cards are drawn one after another (without replacement) from a well shuffled pack of 52 52 playing cards. Hearts, clubs, diamonds, and spades; Show the probability of getting or not getting a face catd by drawing. Here’s another way to break down the different types of cards. Probability of obtaining at least 1 face card (so $12$ out of. Face Card And Non Face Card.
From www.gluwee.com
What is Face Card? Meaning and Origin Gluwee Face Card And Non Face Card I'm being given an example to use the formula, which is the following: The jack, queen and king of each suit are called face cards because each of them has a picture of a royal person, with a face. Two cards are drawn one after another (without replacement) from a well shuffled pack of 52 52 playing cards. Show the. Face Card And Non Face Card.
From www.teachoo.com
Ex 15.1, 14 One card is drawn from a eck of 52 cards Cards Face Card And Non Face Card Hearts, clubs, diamonds, and spades; The jack, queen and king of each suit are called face cards because each of them has a picture of a royal person, with a face. Probability of obtaining at least 1 face card (so $12$ out of $52$) by. Face (or court) vs number cards. I'm being given an example to use the formula,. Face Card And Non Face Card.
From www.numerade.com
SOLVED when drawing a card from each of 2 decks, the P( non face card Face Card And Non Face Card I'm being given an example to use the formula, which is the following: Face (or court) vs number cards. Face or court cards = jacks, queens, and kings. Hearts, clubs, diamonds, and spades; Here’s another way to break down the different types of cards. Probability of obtaining at least 1 face card (so $12$ out of $52$) by. The jack,. Face Card And Non Face Card.
From overthemoon-oraclecards.blogspot.com
Over The Moon Oracle Cards how to use face card directional cues Face Card And Non Face Card I'm being given an example to use the formula, which is the following: Here’s another way to break down the different types of cards. Probability of obtaining at least 1 face card (so $12$ out of $52$) by. The jack, queen and king of each suit are called face cards because each of them has a picture of a royal. Face Card And Non Face Card.
From www.thecoldwire.com
How Many Face Cards Are In A Deck? (Explained) Face Card And Non Face Card Hearts, clubs, diamonds, and spades; The jack, queen and king of each suit are called face cards because each of them has a picture of a royal person, with a face. I'm being given an example to use the formula, which is the following: Here’s another way to break down the different types of cards. Face or court cards =. Face Card And Non Face Card.
From www.fiverr.com
Custom your face onto playing cards by Donartmagic Fiverr Face Card And Non Face Card Here’s another way to break down the different types of cards. Hearts, clubs, diamonds, and spades; The jack, queen and king of each suit are called face cards because each of them has a picture of a royal person, with a face. Face (or court) vs number cards. Face or court cards = jacks, queens, and kings. Show the probability. Face Card And Non Face Card.
From www.designyourway.net
Face Cards The Intricate Playing Card Designs (With Examples) Face Card And Non Face Card I'm being given an example to use the formula, which is the following: Probability of obtaining at least 1 face card (so $12$ out of $52$) by. Face (or court) vs number cards. Face or court cards = jacks, queens, and kings. Here’s another way to break down the different types of cards. The jack, queen and king of each. Face Card And Non Face Card.
From www.slideserve.com
PPT Answer C(47,5)xC(27,1) = 1,533,939 x 27 = 41,416,353 PowerPoint Face Card And Non Face Card Face or court cards = jacks, queens, and kings. Here’s another way to break down the different types of cards. Hearts, clubs, diamonds, and spades; Two cards are drawn one after another (without replacement) from a well shuffled pack of 52 52 playing cards. Probability of obtaining at least 1 face card (so $12$ out of $52$) by. Show the. Face Card And Non Face Card.
From www.bridgehands.com
Pips (Spots) Bridge Cards Face Card And Non Face Card Two cards are drawn one after another (without replacement) from a well shuffled pack of 52 52 playing cards. I'm being given an example to use the formula, which is the following: Hearts, clubs, diamonds, and spades; The jack, queen and king of each suit are called face cards because each of them has a picture of a royal person,. Face Card And Non Face Card.
From www.alamy.com
Face Cards High Resolution Stock Photography and Images Alamy Face Card And Non Face Card Hearts, clubs, diamonds, and spades; I'm being given an example to use the formula, which is the following: The jack, queen and king of each suit are called face cards because each of them has a picture of a royal person, with a face. Two cards are drawn one after another (without replacement) from a well shuffled pack of 52. Face Card And Non Face Card.
From www.coursehero.com
4. Make a pile of cards with the combination of face and nonface Face Card And Non Face Card I'm being given an example to use the formula, which is the following: Two cards are drawn one after another (without replacement) from a well shuffled pack of 52 52 playing cards. Face (or court) vs number cards. The jack, queen and king of each suit are called face cards because each of them has a picture of a royal. Face Card And Non Face Card.