How Big Is A 25 Mb File . From gb you can step up to terabytes (tb) which are 1024gb in a binary mathematical sense. Most email services can send files up to 20 mb without a problem. If you need to send something larger than that, upload the file. This free tool will help you to compress video to 25mb online, optimize them for the web, and seamlessly convert them to a smaller size for easy sharing and faster site loading. Email attachments still have a 25mb limit but discover how to send large files with gmail and bypass the restriction In this article, we are providing instructions on how to send large files via email and ways the clean email app will keep large files organized in your inbox. There are a few ways to work around this size. Yep, you got it, 1024 mb. Calculate file sizes freely online. You’ll receive an error message if you attempt to attach files larger than the maximum size limit.
from www.youtube.com
There are a few ways to work around this size. If you need to send something larger than that, upload the file. You’ll receive an error message if you attempt to attach files larger than the maximum size limit. Calculate file sizes freely online. In this article, we are providing instructions on how to send large files via email and ways the clean email app will keep large files organized in your inbox. Yep, you got it, 1024 mb. This free tool will help you to compress video to 25mb online, optimize them for the web, and seamlessly convert them to a smaller size for easy sharing and faster site loading. From gb you can step up to terabytes (tb) which are 1024gb in a binary mathematical sense. Most email services can send files up to 20 mb without a problem. Email attachments still have a 25mb limit but discover how to send large files with gmail and bypass the restriction
Transforming High File Sizes to Low MB Files A StepbyStep Tutorial
How Big Is A 25 Mb File Yep, you got it, 1024 mb. In this article, we are providing instructions on how to send large files via email and ways the clean email app will keep large files organized in your inbox. If you need to send something larger than that, upload the file. Email attachments still have a 25mb limit but discover how to send large files with gmail and bypass the restriction There are a few ways to work around this size. This free tool will help you to compress video to 25mb online, optimize them for the web, and seamlessly convert them to a smaller size for easy sharing and faster site loading. Yep, you got it, 1024 mb. You’ll receive an error message if you attempt to attach files larger than the maximum size limit. From gb you can step up to terabytes (tb) which are 1024gb in a binary mathematical sense. Most email services can send files up to 20 mb without a problem. Calculate file sizes freely online.
From www.wikihow.com
How to Find Hidden Files and Folders in Windows 11 Steps How Big Is A 25 Mb File Calculate file sizes freely online. This free tool will help you to compress video to 25mb online, optimize them for the web, and seamlessly convert them to a smaller size for easy sharing and faster site loading. Yep, you got it, 1024 mb. In this article, we are providing instructions on how to send large files via email and ways. How Big Is A 25 Mb File.
From www.gmass.co
Gmail Attachment Limit How to Send Files that Exceed the Limit How Big Is A 25 Mb File Most email services can send files up to 20 mb without a problem. You’ll receive an error message if you attempt to attach files larger than the maximum size limit. From gb you can step up to terabytes (tb) which are 1024gb in a binary mathematical sense. There are a few ways to work around this size. In this article,. How Big Is A 25 Mb File.
From twitter.com
explodedsoda 📦🔜 Raleigh, NC on Twitter "For all your leaked top secret How Big Is A 25 Mb File If you need to send something larger than that, upload the file. There are a few ways to work around this size. You’ll receive an error message if you attempt to attach files larger than the maximum size limit. Email attachments still have a 25mb limit but discover how to send large files with gmail and bypass the restriction Calculate. How Big Is A 25 Mb File.
From www.gmass.co
Gmail Attachment Limit How to Send Files that Exceed the Limit How Big Is A 25 Mb File If you need to send something larger than that, upload the file. Email attachments still have a 25mb limit but discover how to send large files with gmail and bypass the restriction Yep, you got it, 1024 mb. Calculate file sizes freely online. In this article, we are providing instructions on how to send large files via email and ways. How Big Is A 25 Mb File.
From www.youtube.com
How to Send Large Files in Gmail More than 25 MB? YouTube How Big Is A 25 Mb File There are a few ways to work around this size. You’ll receive an error message if you attempt to attach files larger than the maximum size limit. This free tool will help you to compress video to 25mb online, optimize them for the web, and seamlessly convert them to a smaller size for easy sharing and faster site loading. Yep,. How Big Is A 25 Mb File.
From www.youtube.com
Tips Kirim File 25 MB Lebih di Gmail YouTube How Big Is A 25 Mb File Most email services can send files up to 20 mb without a problem. Email attachments still have a 25mb limit but discover how to send large files with gmail and bypass the restriction Yep, you got it, 1024 mb. From gb you can step up to terabytes (tb) which are 1024gb in a binary mathematical sense. You’ll receive an error. How Big Is A 25 Mb File.
From medium.com
How you can upload a file greater than 25 MB on GitHub by Syed Asad How Big Is A 25 Mb File Yep, you got it, 1024 mb. Most email services can send files up to 20 mb without a problem. In this article, we are providing instructions on how to send large files via email and ways the clean email app will keep large files organized in your inbox. Calculate file sizes freely online. You’ll receive an error message if you. How Big Is A 25 Mb File.
From templates.udlvirtual.edu.pe
How To Change The Mb Size Of A Word Document Printable Templates How Big Is A 25 Mb File This free tool will help you to compress video to 25mb online, optimize them for the web, and seamlessly convert them to a smaller size for easy sharing and faster site loading. If you need to send something larger than that, upload the file. Email attachments still have a 25mb limit but discover how to send large files with gmail. How Big Is A 25 Mb File.
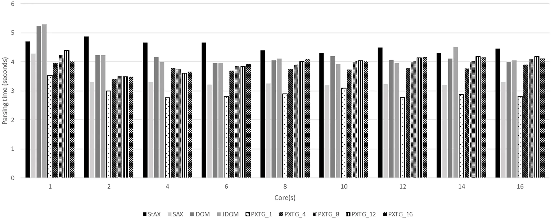
From www.techscience.com
CSSE Free FullText Performance Enhancement of XML Parsing Using How Big Is A 25 Mb File In this article, we are providing instructions on how to send large files via email and ways the clean email app will keep large files organized in your inbox. Calculate file sizes freely online. Yep, you got it, 1024 mb. Most email services can send files up to 20 mb without a problem. From gb you can step up to. How Big Is A 25 Mb File.
From www.youtube.com
image size mb to kb in YouTube How Big Is A 25 Mb File In this article, we are providing instructions on how to send large files via email and ways the clean email app will keep large files organized in your inbox. From gb you can step up to terabytes (tb) which are 1024gb in a binary mathematical sense. Yep, you got it, 1024 mb. If you need to send something larger than. How Big Is A 25 Mb File.
From chartwalls.blogspot.com
Bit Byte Kb Mb Gb Tb Chart Chart Walls How Big Is A 25 Mb File Calculate file sizes freely online. There are a few ways to work around this size. Yep, you got it, 1024 mb. From gb you can step up to terabytes (tb) which are 1024gb in a binary mathematical sense. If you need to send something larger than that, upload the file. In this article, we are providing instructions on how to. How Big Is A 25 Mb File.
From www.inspedium.com
How many MBs are there in a GB, TB, KB or Byte? Conversion Tool How Big Is A 25 Mb File Most email services can send files up to 20 mb without a problem. Yep, you got it, 1024 mb. There are a few ways to work around this size. Email attachments still have a 25mb limit but discover how to send large files with gmail and bypass the restriction You’ll receive an error message if you attempt to attach files. How Big Is A 25 Mb File.
From bytesbin.com
How to Upload Files Larger than 25MB to GitHub in 2024? How Big Is A 25 Mb File Calculate file sizes freely online. Email attachments still have a 25mb limit but discover how to send large files with gmail and bypass the restriction If you need to send something larger than that, upload the file. This free tool will help you to compress video to 25mb online, optimize them for the web, and seamlessly convert them to a. How Big Is A 25 Mb File.
From digitalphotographylive.com
Megapixels vs. Print Size How Big Can You Print? Digital How Big Is A 25 Mb File There are a few ways to work around this size. Calculate file sizes freely online. Most email services can send files up to 20 mb without a problem. You’ll receive an error message if you attempt to attach files larger than the maximum size limit. If you need to send something larger than that, upload the file. This free tool. How Big Is A 25 Mb File.
From podserre.weebly.com
How to convert picture size from pixels to inches podserre How Big Is A 25 Mb File Email attachments still have a 25mb limit but discover how to send large files with gmail and bypass the restriction Calculate file sizes freely online. This free tool will help you to compress video to 25mb online, optimize them for the web, and seamlessly convert them to a smaller size for easy sharing and faster site loading. From gb you. How Big Is A 25 Mb File.
From www.youtube.com
how to compress large file to small file size, from gigabytes to How Big Is A 25 Mb File You’ll receive an error message if you attempt to attach files larger than the maximum size limit. There are a few ways to work around this size. This free tool will help you to compress video to 25mb online, optimize them for the web, and seamlessly convert them to a smaller size for easy sharing and faster site loading. In. How Big Is A 25 Mb File.
From www.androidauthority.com
How to send large files through Gmail Android Authority How Big Is A 25 Mb File Most email services can send files up to 20 mb without a problem. Calculate file sizes freely online. Yep, you got it, 1024 mb. From gb you can step up to terabytes (tb) which are 1024gb in a binary mathematical sense. This free tool will help you to compress video to 25mb online, optimize them for the web, and seamlessly. How Big Is A 25 Mb File.
From www.youtube.com
Transforming High File Sizes to Low MB Files A StepbyStep Tutorial How Big Is A 25 Mb File There are a few ways to work around this size. This free tool will help you to compress video to 25mb online, optimize them for the web, and seamlessly convert them to a smaller size for easy sharing and faster site loading. Email attachments still have a 25mb limit but discover how to send large files with gmail and bypass. How Big Is A 25 Mb File.
From www.youtube.com
HOW TO SEND MORE THAN 25 MB FILE BY EMAIL YouTube How Big Is A 25 Mb File Yep, you got it, 1024 mb. You’ll receive an error message if you attempt to attach files larger than the maximum size limit. Email attachments still have a 25mb limit but discover how to send large files with gmail and bypass the restriction There are a few ways to work around this size. From gb you can step up to. How Big Is A 25 Mb File.
From www.youtube.com
The File You Are Trying To Send Exceeds The 25 Mb Attachment Limit How Big Is A 25 Mb File Calculate file sizes freely online. There are a few ways to work around this size. Email attachments still have a 25mb limit but discover how to send large files with gmail and bypass the restriction You’ll receive an error message if you attempt to attach files larger than the maximum size limit. If you need to send something larger than. How Big Is A 25 Mb File.
From www.youtube.com
how to send mail with file size more than 25 mb how to send big files How Big Is A 25 Mb File There are a few ways to work around this size. You’ll receive an error message if you attempt to attach files larger than the maximum size limit. Calculate file sizes freely online. In this article, we are providing instructions on how to send large files via email and ways the clean email app will keep large files organized in your. How Big Is A 25 Mb File.
From www.reddit.com
A cool guide to memory units (data bytes); metric based r/coolguides How Big Is A 25 Mb File This free tool will help you to compress video to 25mb online, optimize them for the web, and seamlessly convert them to a smaller size for easy sharing and faster site loading. Most email services can send files up to 20 mb without a problem. You’ll receive an error message if you attempt to attach files larger than the maximum. How Big Is A 25 Mb File.
From www.youtube.com
The File You Have Selected Is Too Large On (Facebook) The Maximum How Big Is A 25 Mb File You’ll receive an error message if you attempt to attach files larger than the maximum size limit. Calculate file sizes freely online. Yep, you got it, 1024 mb. From gb you can step up to terabytes (tb) which are 1024gb in a binary mathematical sense. In this article, we are providing instructions on how to send large files via email. How Big Is A 25 Mb File.
From www.youtube.com
Attach Very Large Files To EMail Yahoo! Email How To Send Files How Big Is A 25 Mb File You’ll receive an error message if you attempt to attach files larger than the maximum size limit. Calculate file sizes freely online. This free tool will help you to compress video to 25mb online, optimize them for the web, and seamlessly convert them to a smaller size for easy sharing and faster site loading. Most email services can send files. How Big Is A 25 Mb File.
From blog.online-convert.com
Average File Sizes Online file conversion blog How Big Is A 25 Mb File Yep, you got it, 1024 mb. From gb you can step up to terabytes (tb) which are 1024gb in a binary mathematical sense. Calculate file sizes freely online. There are a few ways to work around this size. If you need to send something larger than that, upload the file. You’ll receive an error message if you attempt to attach. How Big Is A 25 Mb File.
From mailmeteor.com
Gmail Attachment Size Limit How to Send Large Files Effortlessly (3 How Big Is A 25 Mb File If you need to send something larger than that, upload the file. Calculate file sizes freely online. You’ll receive an error message if you attempt to attach files larger than the maximum size limit. This free tool will help you to compress video to 25mb online, optimize them for the web, and seamlessly convert them to a smaller size for. How Big Is A 25 Mb File.
From www.photography-news.com
Understanding the Impact of Megapixels, Pixel Dimension Photography News How Big Is A 25 Mb File If you need to send something larger than that, upload the file. Yep, you got it, 1024 mb. There are a few ways to work around this size. You’ll receive an error message if you attempt to attach files larger than the maximum size limit. Email attachments still have a 25mb limit but discover how to send large files with. How Big Is A 25 Mb File.
From palpites.net
How to Send Large Files in Gmail More than 25MB ? Email mai 25mb se How Big Is A 25 Mb File There are a few ways to work around this size. From gb you can step up to terabytes (tb) which are 1024gb in a binary mathematical sense. This free tool will help you to compress video to 25mb online, optimize them for the web, and seamlessly convert them to a smaller size for easy sharing and faster site loading. If. How Big Is A 25 Mb File.
From www.youtube.com
HOW WE SEND MORE THAN 25 MB FILE IN GMAIL. URDU/HINDI YouTube How Big Is A 25 Mb File There are a few ways to work around this size. Email attachments still have a 25mb limit but discover how to send large files with gmail and bypass the restriction This free tool will help you to compress video to 25mb online, optimize them for the web, and seamlessly convert them to a smaller size for easy sharing and faster. How Big Is A 25 Mb File.
From www.aiseesoft.com
4 Easiest Ways to Increase Image Size from KB to MB How Big Is A 25 Mb File Most email services can send files up to 20 mb without a problem. This free tool will help you to compress video to 25mb online, optimize them for the web, and seamlessly convert them to a smaller size for easy sharing and faster site loading. Calculate file sizes freely online. If you need to send something larger than that, upload. How Big Is A 25 Mb File.
From www.youtube.com
How To Send 25 MB More Than Files In Gmail Telugu YouTube How Big Is A 25 Mb File From gb you can step up to terabytes (tb) which are 1024gb in a binary mathematical sense. There are a few ways to work around this size. Yep, you got it, 1024 mb. Most email services can send files up to 20 mb without a problem. You’ll receive an error message if you attempt to attach files larger than the. How Big Is A 25 Mb File.
From vpnpick.com
Understanding File Sizes (Bytes vs KB vs MB vs GB) How Big Is A 25 Mb File Calculate file sizes freely online. Email attachments still have a 25mb limit but discover how to send large files with gmail and bypass the restriction Yep, you got it, 1024 mb. In this article, we are providing instructions on how to send large files via email and ways the clean email app will keep large files organized in your inbox.. How Big Is A 25 Mb File.
From www.youtube.com
mb to kb size converter image size reduce mb से kb साईज कनवर्टर How Big Is A 25 Mb File If you need to send something larger than that, upload the file. You’ll receive an error message if you attempt to attach files larger than the maximum size limit. There are a few ways to work around this size. Yep, you got it, 1024 mb. In this article, we are providing instructions on how to send large files via email. How Big Is A 25 Mb File.
From www.eggradients.com
Gmail File Size Limit How Big Is A 25 Mb File In this article, we are providing instructions on how to send large files via email and ways the clean email app will keep large files organized in your inbox. From gb you can step up to terabytes (tb) which are 1024gb in a binary mathematical sense. This free tool will help you to compress video to 25mb online, optimize them. How Big Is A 25 Mb File.
From usedopec.weebly.com
Stat transfer maximum file size usedopec How Big Is A 25 Mb File This free tool will help you to compress video to 25mb online, optimize them for the web, and seamlessly convert them to a smaller size for easy sharing and faster site loading. Calculate file sizes freely online. Most email services can send files up to 20 mb without a problem. If you need to send something larger than that, upload. How Big Is A 25 Mb File.