Paper Folding Cubic Equation . In this chapter, proofs are given that origami can solve quadratic and cubic equations.for example, when folding a point. In 1936, margherita piazzola beloch showed that paper folding allows to solve every cubic equation, thus extending the field of constructible. In this paper, we present beloch’s proof that paper folding can solve arbitrary cubic equations and thus solve the classic problems of angle. Now, if we want to solve a cubic equation by paper folding what we do is work backwards to find the parabolas that we need to find a simultaneous. Mathematically, trisecting an angle is the equivalent of solving a particular cubic equation—an equation involving x to the power.
from royalsocietypublishing.org
Now, if we want to solve a cubic equation by paper folding what we do is work backwards to find the parabolas that we need to find a simultaneous. In 1936, margherita piazzola beloch showed that paper folding allows to solve every cubic equation, thus extending the field of constructible. In this chapter, proofs are given that origami can solve quadratic and cubic equations.for example, when folding a point. In this paper, we present beloch’s proof that paper folding can solve arbitrary cubic equations and thus solve the classic problems of angle. Mathematically, trisecting an angle is the equivalent of solving a particular cubic equation—an equation involving x to the power.
Rigid folding equations of degree6 origami vertices Proceedings of
Paper Folding Cubic Equation Mathematically, trisecting an angle is the equivalent of solving a particular cubic equation—an equation involving x to the power. Now, if we want to solve a cubic equation by paper folding what we do is work backwards to find the parabolas that we need to find a simultaneous. In 1936, margherita piazzola beloch showed that paper folding allows to solve every cubic equation, thus extending the field of constructible. Mathematically, trisecting an angle is the equivalent of solving a particular cubic equation—an equation involving x to the power. In this paper, we present beloch’s proof that paper folding can solve arbitrary cubic equations and thus solve the classic problems of angle. In this chapter, proofs are given that origami can solve quadratic and cubic equations.for example, when folding a point.
From www.chegg.com
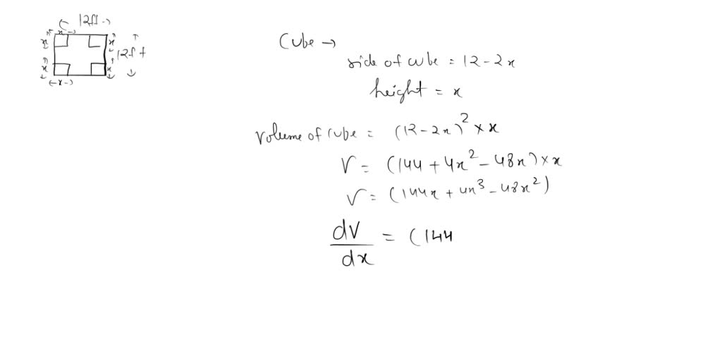
Solved A box is formed by cutting squares from the four Paper Folding Cubic Equation Mathematically, trisecting an angle is the equivalent of solving a particular cubic equation—an equation involving x to the power. In this chapter, proofs are given that origami can solve quadratic and cubic equations.for example, when folding a point. In this paper, we present beloch’s proof that paper folding can solve arbitrary cubic equations and thus solve the classic problems of. Paper Folding Cubic Equation.
From www.chegg.com
Solved A box is formed by cutting squares from the four Paper Folding Cubic Equation In 1936, margherita piazzola beloch showed that paper folding allows to solve every cubic equation, thus extending the field of constructible. Mathematically, trisecting an angle is the equivalent of solving a particular cubic equation—an equation involving x to the power. In this paper, we present beloch’s proof that paper folding can solve arbitrary cubic equations and thus solve the classic. Paper Folding Cubic Equation.
From www.malavida.com
Descargar Paper Fold 200354 APK Gratis para Android Paper Folding Cubic Equation In this paper, we present beloch’s proof that paper folding can solve arbitrary cubic equations and thus solve the classic problems of angle. Now, if we want to solve a cubic equation by paper folding what we do is work backwards to find the parabolas that we need to find a simultaneous. In 1936, margherita piazzola beloch showed that paper. Paper Folding Cubic Equation.
From royalsocietypublishing.org
Rigid folding equations of degree6 origami vertices Proceedings of Paper Folding Cubic Equation In this chapter, proofs are given that origami can solve quadratic and cubic equations.for example, when folding a point. Mathematically, trisecting an angle is the equivalent of solving a particular cubic equation—an equation involving x to the power. Now, if we want to solve a cubic equation by paper folding what we do is work backwards to find the parabolas. Paper Folding Cubic Equation.
From www.chegg.com
Solved I have done the 2.1(72*2.1)(92*2.1) and Paper Folding Cubic Equation In this paper, we present beloch’s proof that paper folding can solve arbitrary cubic equations and thus solve the classic problems of angle. In 1936, margherita piazzola beloch showed that paper folding allows to solve every cubic equation, thus extending the field of constructible. Mathematically, trisecting an angle is the equivalent of solving a particular cubic equation—an equation involving x. Paper Folding Cubic Equation.
From www.youtube.com
HOW TO MAKE PAPER CUBE EASY👍👌👌 YouTube Paper Folding Cubic Equation In 1936, margherita piazzola beloch showed that paper folding allows to solve every cubic equation, thus extending the field of constructible. Mathematically, trisecting an angle is the equivalent of solving a particular cubic equation—an equation involving x to the power. In this chapter, proofs are given that origami can solve quadratic and cubic equations.for example, when folding a point. In. Paper Folding Cubic Equation.
From www.freepik.com
Premium Vector Crumpled white paper texture with fold marks Paper Folding Cubic Equation In 1936, margherita piazzola beloch showed that paper folding allows to solve every cubic equation, thus extending the field of constructible. In this paper, we present beloch’s proof that paper folding can solve arbitrary cubic equations and thus solve the classic problems of angle. Mathematically, trisecting an angle is the equivalent of solving a particular cubic equation—an equation involving x. Paper Folding Cubic Equation.
From exomtjtyo.blob.core.windows.net
Paper Folding Guide at Carmen Theriot blog Paper Folding Cubic Equation Now, if we want to solve a cubic equation by paper folding what we do is work backwards to find the parabolas that we need to find a simultaneous. In 1936, margherita piazzola beloch showed that paper folding allows to solve every cubic equation, thus extending the field of constructible. In this chapter, proofs are given that origami can solve. Paper Folding Cubic Equation.
From www.numerade.com
SOLVED Abox IS formed by cutting squares from the four corers of a Paper Folding Cubic Equation In 1936, margherita piazzola beloch showed that paper folding allows to solve every cubic equation, thus extending the field of constructible. In this chapter, proofs are given that origami can solve quadratic and cubic equations.for example, when folding a point. In this paper, we present beloch’s proof that paper folding can solve arbitrary cubic equations and thus solve the classic. Paper Folding Cubic Equation.
From www.chegg.com
Solved Post this question to forum A box is formed by Paper Folding Cubic Equation In 1936, margherita piazzola beloch showed that paper folding allows to solve every cubic equation, thus extending the field of constructible. In this paper, we present beloch’s proof that paper folding can solve arbitrary cubic equations and thus solve the classic problems of angle. In this chapter, proofs are given that origami can solve quadratic and cubic equations.for example, when. Paper Folding Cubic Equation.
From phys.org
New study finds folding graphene significantly enhances mechanical Paper Folding Cubic Equation In this paper, we present beloch’s proof that paper folding can solve arbitrary cubic equations and thus solve the classic problems of angle. Mathematically, trisecting an angle is the equivalent of solving a particular cubic equation—an equation involving x to the power. Now, if we want to solve a cubic equation by paper folding what we do is work backwards. Paper Folding Cubic Equation.
From www.chegg.com
Solved An open box is to be made from a square piece of Paper Folding Cubic Equation Mathematically, trisecting an angle is the equivalent of solving a particular cubic equation—an equation involving x to the power. Now, if we want to solve a cubic equation by paper folding what we do is work backwards to find the parabolas that we need to find a simultaneous. In this chapter, proofs are given that origami can solve quadratic and. Paper Folding Cubic Equation.
From www.researchgate.net
5A to F Forming a rhombus using paper folding. (A) Step 1; (B) Step 2 Paper Folding Cubic Equation In this paper, we present beloch’s proof that paper folding can solve arbitrary cubic equations and thus solve the classic problems of angle. In this chapter, proofs are given that origami can solve quadratic and cubic equations.for example, when folding a point. In 1936, margherita piazzola beloch showed that paper folding allows to solve every cubic equation, thus extending the. Paper Folding Cubic Equation.
From www.toppr.com
The number of 2 fold axis of symmetry in a cubic crystal is Paper Folding Cubic Equation In this chapter, proofs are given that origami can solve quadratic and cubic equations.for example, when folding a point. In 1936, margherita piazzola beloch showed that paper folding allows to solve every cubic equation, thus extending the field of constructible. In this paper, we present beloch’s proof that paper folding can solve arbitrary cubic equations and thus solve the classic. Paper Folding Cubic Equation.
From www.youtube.com
P3 Mathematics Equivalent Fractions Paper Folding Activity YouTube Paper Folding Cubic Equation Now, if we want to solve a cubic equation by paper folding what we do is work backwards to find the parabolas that we need to find a simultaneous. Mathematically, trisecting an angle is the equivalent of solving a particular cubic equation—an equation involving x to the power. In this paper, we present beloch’s proof that paper folding can solve. Paper Folding Cubic Equation.
From www.youtube.com
How To Fold A Paper In ThirdsFull Tutorial YouTube Paper Folding Cubic Equation In 1936, margherita piazzola beloch showed that paper folding allows to solve every cubic equation, thus extending the field of constructible. In this paper, we present beloch’s proof that paper folding can solve arbitrary cubic equations and thus solve the classic problems of angle. In this chapter, proofs are given that origami can solve quadratic and cubic equations.for example, when. Paper Folding Cubic Equation.
From www.numerade.com
SOLVED A box is formed by cutting squares from the four corners of a 7 Paper Folding Cubic Equation In 1936, margherita piazzola beloch showed that paper folding allows to solve every cubic equation, thus extending the field of constructible. Mathematically, trisecting an angle is the equivalent of solving a particular cubic equation—an equation involving x to the power. In this chapter, proofs are given that origami can solve quadratic and cubic equations.for example, when folding a point. In. Paper Folding Cubic Equation.
From www.pinterest.jp
Pin on Art LessonSculpture. 3D Construction Paper Folding Cubic Equation Mathematically, trisecting an angle is the equivalent of solving a particular cubic equation—an equation involving x to the power. In this paper, we present beloch’s proof that paper folding can solve arbitrary cubic equations and thus solve the classic problems of angle. In 1936, margherita piazzola beloch showed that paper folding allows to solve every cubic equation, thus extending the. Paper Folding Cubic Equation.
From www.youtube.com
Ex Find the Size of Cardboard Needed to Make a Box with a Given Volume Paper Folding Cubic Equation Now, if we want to solve a cubic equation by paper folding what we do is work backwards to find the parabolas that we need to find a simultaneous. In 1936, margherita piazzola beloch showed that paper folding allows to solve every cubic equation, thus extending the field of constructible. In this chapter, proofs are given that origami can solve. Paper Folding Cubic Equation.
From exoriqeau.blob.core.windows.net
An OpenTop Box Is To Be Constructed at Julia Timothy blog Paper Folding Cubic Equation In 1936, margherita piazzola beloch showed that paper folding allows to solve every cubic equation, thus extending the field of constructible. Mathematically, trisecting an angle is the equivalent of solving a particular cubic equation—an equation involving x to the power. In this paper, we present beloch’s proof that paper folding can solve arbitrary cubic equations and thus solve the classic. Paper Folding Cubic Equation.
From royalsocietypublishing.org
Rigid folding equations of degree6 origami vertices Proceedings of Paper Folding Cubic Equation In this chapter, proofs are given that origami can solve quadratic and cubic equations.for example, when folding a point. In this paper, we present beloch’s proof that paper folding can solve arbitrary cubic equations and thus solve the classic problems of angle. In 1936, margherita piazzola beloch showed that paper folding allows to solve every cubic equation, thus extending the. Paper Folding Cubic Equation.
From www.chegg.com
Solved A box is formed by cutting squares from the four Paper Folding Cubic Equation In this chapter, proofs are given that origami can solve quadratic and cubic equations.for example, when folding a point. Now, if we want to solve a cubic equation by paper folding what we do is work backwards to find the parabolas that we need to find a simultaneous. Mathematically, trisecting an angle is the equivalent of solving a particular cubic. Paper Folding Cubic Equation.
From www.chegg.com
Solved A box is formed by cutting squares from the four Paper Folding Cubic Equation In 1936, margherita piazzola beloch showed that paper folding allows to solve every cubic equation, thus extending the field of constructible. In this paper, we present beloch’s proof that paper folding can solve arbitrary cubic equations and thus solve the classic problems of angle. Mathematically, trisecting an angle is the equivalent of solving a particular cubic equation—an equation involving x. Paper Folding Cubic Equation.
From www.numerade.com
SOLVED box is formed by cutting squares from the four corners ofa 9 Paper Folding Cubic Equation In 1936, margherita piazzola beloch showed that paper folding allows to solve every cubic equation, thus extending the field of constructible. Now, if we want to solve a cubic equation by paper folding what we do is work backwards to find the parabolas that we need to find a simultaneous. In this paper, we present beloch’s proof that paper folding. Paper Folding Cubic Equation.
From socratic.org
An open box is to be made from a rectangular sheet of cardboard od Paper Folding Cubic Equation In this chapter, proofs are given that origami can solve quadratic and cubic equations.for example, when folding a point. Mathematically, trisecting an angle is the equivalent of solving a particular cubic equation—an equation involving x to the power. In 1936, margherita piazzola beloch showed that paper folding allows to solve every cubic equation, thus extending the field of constructible. In. Paper Folding Cubic Equation.
From www.1001mathproblems.com
1001 Math Problems Paper Folding Problem Paper Folding Cubic Equation Now, if we want to solve a cubic equation by paper folding what we do is work backwards to find the parabolas that we need to find a simultaneous. In this chapter, proofs are given that origami can solve quadratic and cubic equations.for example, when folding a point. Mathematically, trisecting an angle is the equivalent of solving a particular cubic. Paper Folding Cubic Equation.
From www.bartleby.com
Answered A box is formed by cutting squares from… bartleby Paper Folding Cubic Equation In this paper, we present beloch’s proof that paper folding can solve arbitrary cubic equations and thus solve the classic problems of angle. Now, if we want to solve a cubic equation by paper folding what we do is work backwards to find the parabolas that we need to find a simultaneous. In 1936, margherita piazzola beloch showed that paper. Paper Folding Cubic Equation.
From www.tor.com
Manipulable Geometry The Mathematics of PaperFolding Paper Folding Cubic Equation In 1936, margherita piazzola beloch showed that paper folding allows to solve every cubic equation, thus extending the field of constructible. Now, if we want to solve a cubic equation by paper folding what we do is work backwards to find the parabolas that we need to find a simultaneous. In this paper, we present beloch’s proof that paper folding. Paper Folding Cubic Equation.
From www.pinterest.com
Algebra Completing the Square Tri Fold for Quadratic Equations Paper Folding Cubic Equation In 1936, margherita piazzola beloch showed that paper folding allows to solve every cubic equation, thus extending the field of constructible. Mathematically, trisecting an angle is the equivalent of solving a particular cubic equation—an equation involving x to the power. Now, if we want to solve a cubic equation by paper folding what we do is work backwards to find. Paper Folding Cubic Equation.
From www.pinterest.com.mx
Pin on Math Paper Folding Cubic Equation In this chapter, proofs are given that origami can solve quadratic and cubic equations.for example, when folding a point. In this paper, we present beloch’s proof that paper folding can solve arbitrary cubic equations and thus solve the classic problems of angle. Now, if we want to solve a cubic equation by paper folding what we do is work backwards. Paper Folding Cubic Equation.
From www.numerade.com
SOLVED A box with no top is to be made from a 12foot by 12foot Paper Folding Cubic Equation Mathematically, trisecting an angle is the equivalent of solving a particular cubic equation—an equation involving x to the power. In 1936, margherita piazzola beloch showed that paper folding allows to solve every cubic equation, thus extending the field of constructible. Now, if we want to solve a cubic equation by paper folding what we do is work backwards to find. Paper Folding Cubic Equation.
From www.academia.edu
(PDF) Paperfolding and Euler's Theorem Revisited Benedetto Scimemi Paper Folding Cubic Equation In 1936, margherita piazzola beloch showed that paper folding allows to solve every cubic equation, thus extending the field of constructible. In this paper, we present beloch’s proof that paper folding can solve arbitrary cubic equations and thus solve the classic problems of angle. Mathematically, trisecting an angle is the equivalent of solving a particular cubic equation—an equation involving x. Paper Folding Cubic Equation.
From www.chegg.com
Solved A box is formed by cutting squares from the four Paper Folding Cubic Equation Mathematically, trisecting an angle is the equivalent of solving a particular cubic equation—an equation involving x to the power. In 1936, margherita piazzola beloch showed that paper folding allows to solve every cubic equation, thus extending the field of constructible. In this paper, we present beloch’s proof that paper folding can solve arbitrary cubic equations and thus solve the classic. Paper Folding Cubic Equation.
From www.books-wasabi.com
Cubic Unit Origami Wonderland book Japan Japanese Paper folding phizz Paper Folding Cubic Equation In this chapter, proofs are given that origami can solve quadratic and cubic equations.for example, when folding a point. In 1936, margherita piazzola beloch showed that paper folding allows to solve every cubic equation, thus extending the field of constructible. Now, if we want to solve a cubic equation by paper folding what we do is work backwards to find. Paper Folding Cubic Equation.
From www.researchgate.net
Selffolding cubic lattice. (a) A schematic illustration of the Paper Folding Cubic Equation In 1936, margherita piazzola beloch showed that paper folding allows to solve every cubic equation, thus extending the field of constructible. In this paper, we present beloch’s proof that paper folding can solve arbitrary cubic equations and thus solve the classic problems of angle. Mathematically, trisecting an angle is the equivalent of solving a particular cubic equation—an equation involving x. Paper Folding Cubic Equation.