Neon And Krypton Bond . Like the heavier halogens, xenon and perhaps krypton should form covalent. A potent oxidant is needed to oxidize noble gases and form compounds in positive oxidation states. They earned the name “noble” because they. Radon comes from radioactive decay of radium, thorium, uranium, and other heavy radioactive elements. Travers and sir william ramsay in 1898. By combining xenon with a platinum fluoride,. These three noble gases were discovered by morris w. The elements are helium (he), neon (ne), argon (ar), krypton (kr), xenon (xe), radon (rn), and oganesson (og). Neon, argon, krypton, and xenon come from fractional distillation of liquefied air. Ramsay discovered neon by chilling a sample of the air. The elements in group 18 are the noble gases (helium, neon, argon, krypton, xenon, and radon). The primary source of helium is cryogenic separation of natural gas. The noble gases are colourless, odourless, tasteless,.
from www.allarts.org
Ramsay discovered neon by chilling a sample of the air. The elements are helium (he), neon (ne), argon (ar), krypton (kr), xenon (xe), radon (rn), and oganesson (og). The elements in group 18 are the noble gases (helium, neon, argon, krypton, xenon, and radon). A potent oxidant is needed to oxidize noble gases and form compounds in positive oxidation states. Radon comes from radioactive decay of radium, thorium, uranium, and other heavy radioactive elements. Travers and sir william ramsay in 1898. Like the heavier halogens, xenon and perhaps krypton should form covalent. These three noble gases were discovered by morris w. The primary source of helium is cryogenic separation of natural gas. By combining xenon with a platinum fluoride,.
Krypton Neon Gives Signs Their Spark WLIW Arts Beat ALL ARTS
Neon And Krypton Bond Neon, argon, krypton, and xenon come from fractional distillation of liquefied air. A potent oxidant is needed to oxidize noble gases and form compounds in positive oxidation states. These three noble gases were discovered by morris w. Radon comes from radioactive decay of radium, thorium, uranium, and other heavy radioactive elements. By combining xenon with a platinum fluoride,. Like the heavier halogens, xenon and perhaps krypton should form covalent. The elements in group 18 are the noble gases (helium, neon, argon, krypton, xenon, and radon). The elements are helium (he), neon (ne), argon (ar), krypton (kr), xenon (xe), radon (rn), and oganesson (og). The primary source of helium is cryogenic separation of natural gas. They earned the name “noble” because they. The noble gases are colourless, odourless, tasteless,. Travers and sir william ramsay in 1898. Ramsay discovered neon by chilling a sample of the air. Neon, argon, krypton, and xenon come from fractional distillation of liquefied air.
From material-properties.org
Helium and Argon Comparison Properties Material Properties Neon And Krypton Bond They earned the name “noble” because they. Radon comes from radioactive decay of radium, thorium, uranium, and other heavy radioactive elements. A potent oxidant is needed to oxidize noble gases and form compounds in positive oxidation states. The elements are helium (he), neon (ne), argon (ar), krypton (kr), xenon (xe), radon (rn), and oganesson (og). The primary source of helium. Neon And Krypton Bond.
From buychemicalelement.blogspot.com
chemical elements Krypton Neon And Krypton Bond The elements are helium (he), neon (ne), argon (ar), krypton (kr), xenon (xe), radon (rn), and oganesson (og). Ramsay discovered neon by chilling a sample of the air. These three noble gases were discovered by morris w. Like the heavier halogens, xenon and perhaps krypton should form covalent. By combining xenon with a platinum fluoride,. A potent oxidant is needed. Neon And Krypton Bond.
From www.pakarkimia.com
Neon, Krypton, Xenon Ilmu Kimia Neon And Krypton Bond Neon, argon, krypton, and xenon come from fractional distillation of liquefied air. The noble gases are colourless, odourless, tasteless,. They earned the name “noble” because they. Radon comes from radioactive decay of radium, thorium, uranium, and other heavy radioactive elements. These three noble gases were discovered by morris w. Travers and sir william ramsay in 1898. A potent oxidant is. Neon And Krypton Bond.
From flatworldknowledge.lardbucket.org
The Structure of Atoms Neon And Krypton Bond They earned the name “noble” because they. These three noble gases were discovered by morris w. Neon, argon, krypton, and xenon come from fractional distillation of liquefied air. A potent oxidant is needed to oxidize noble gases and form compounds in positive oxidation states. The primary source of helium is cryogenic separation of natural gas. Like the heavier halogens, xenon. Neon And Krypton Bond.
From www.itvscience.com
Noble Gas ⋆ Into The Void Science Neon And Krypton Bond Travers and sir william ramsay in 1898. Neon, argon, krypton, and xenon come from fractional distillation of liquefied air. The primary source of helium is cryogenic separation of natural gas. The noble gases are colourless, odourless, tasteless,. The elements are helium (he), neon (ne), argon (ar), krypton (kr), xenon (xe), radon (rn), and oganesson (og). Like the heavier halogens, xenon. Neon And Krypton Bond.
From www.livescience.com
Facts About Krypton Live Science Neon And Krypton Bond Neon, argon, krypton, and xenon come from fractional distillation of liquefied air. The elements in group 18 are the noble gases (helium, neon, argon, krypton, xenon, and radon). Like the heavier halogens, xenon and perhaps krypton should form covalent. A potent oxidant is needed to oxidize noble gases and form compounds in positive oxidation states. The primary source of helium. Neon And Krypton Bond.
From slideplayer.com
Section 1 pg 176 Atoms, Bonding, and the Periodic Table ppt download Neon And Krypton Bond Radon comes from radioactive decay of radium, thorium, uranium, and other heavy radioactive elements. Like the heavier halogens, xenon and perhaps krypton should form covalent. Travers and sir william ramsay in 1898. Ramsay discovered neon by chilling a sample of the air. The elements are helium (he), neon (ne), argon (ar), krypton (kr), xenon (xe), radon (rn), and oganesson (og).. Neon And Krypton Bond.
From www.atmo.arizona.edu
Lecture 1 Composition of the atmosphere Neon And Krypton Bond They earned the name “noble” because they. Travers and sir william ramsay in 1898. Neon, argon, krypton, and xenon come from fractional distillation of liquefied air. Radon comes from radioactive decay of radium, thorium, uranium, and other heavy radioactive elements. By combining xenon with a platinum fluoride,. The noble gases are colourless, odourless, tasteless,. The primary source of helium is. Neon And Krypton Bond.
From www.animalia-life.club
Atomic Structure Of Krypton Neon And Krypton Bond Ramsay discovered neon by chilling a sample of the air. These three noble gases were discovered by morris w. Like the heavier halogens, xenon and perhaps krypton should form covalent. The elements are helium (he), neon (ne), argon (ar), krypton (kr), xenon (xe), radon (rn), and oganesson (og). They earned the name “noble” because they. Neon, argon, krypton, and xenon. Neon And Krypton Bond.
From www.youtube.com
Lewis Dot Structure for Krypton Atom (Kr) YouTube Neon And Krypton Bond Travers and sir william ramsay in 1898. Radon comes from radioactive decay of radium, thorium, uranium, and other heavy radioactive elements. The primary source of helium is cryogenic separation of natural gas. They earned the name “noble” because they. The elements in group 18 are the noble gases (helium, neon, argon, krypton, xenon, and radon). Like the heavier halogens, xenon. Neon And Krypton Bond.
From www.shutterstock.com
Illustration Element Krypton Stock Vector (Royalty Free) 152410136 Neon And Krypton Bond The noble gases are colourless, odourless, tasteless,. Ramsay discovered neon by chilling a sample of the air. The elements in group 18 are the noble gases (helium, neon, argon, krypton, xenon, and radon). Travers and sir william ramsay in 1898. A potent oxidant is needed to oxidize noble gases and form compounds in positive oxidation states. Radon comes from radioactive. Neon And Krypton Bond.
From www.wou.edu
CH150 Chapter 4 Covalent Bonds and Molecular Compounds Chemistry Neon And Krypton Bond Travers and sir william ramsay in 1898. They earned the name “noble” because they. A potent oxidant is needed to oxidize noble gases and form compounds in positive oxidation states. These three noble gases were discovered by morris w. Radon comes from radioactive decay of radium, thorium, uranium, and other heavy radioactive elements. The primary source of helium is cryogenic. Neon And Krypton Bond.
From slideplayer.com
Ch. 5 Atoms and Bonding Section 1 Atoms, Bonding, and the Periodic Neon And Krypton Bond They earned the name “noble” because they. These three noble gases were discovered by morris w. By combining xenon with a platinum fluoride,. Like the heavier halogens, xenon and perhaps krypton should form covalent. The elements are helium (he), neon (ne), argon (ar), krypton (kr), xenon (xe), radon (rn), and oganesson (og). The primary source of helium is cryogenic separation. Neon And Krypton Bond.
From www.neon-zombie.net
"Krypton" Neuer Trailer zum SyFyPrequel! Neon Zombie® Neon And Krypton Bond Radon comes from radioactive decay of radium, thorium, uranium, and other heavy radioactive elements. Travers and sir william ramsay in 1898. The primary source of helium is cryogenic separation of natural gas. The noble gases are colourless, odourless, tasteless,. The elements in group 18 are the noble gases (helium, neon, argon, krypton, xenon, and radon). Neon, argon, krypton, and xenon. Neon And Krypton Bond.
From www.atmo.arizona.edu
Lecture 1 Composition of the atmosphere Neon And Krypton Bond The elements are helium (he), neon (ne), argon (ar), krypton (kr), xenon (xe), radon (rn), and oganesson (og). Travers and sir william ramsay in 1898. Ramsay discovered neon by chilling a sample of the air. By combining xenon with a platinum fluoride,. Neon, argon, krypton, and xenon come from fractional distillation of liquefied air. The elements in group 18 are. Neon And Krypton Bond.
From pngtree.com
Krypton Symbol And Electron Diagram Krypton Proton Neon And Krypton Bond Ramsay discovered neon by chilling a sample of the air. Travers and sir william ramsay in 1898. A potent oxidant is needed to oxidize noble gases and form compounds in positive oxidation states. Neon, argon, krypton, and xenon come from fractional distillation of liquefied air. These three noble gases were discovered by morris w. The elements in group 18 are. Neon And Krypton Bond.
From www.numerade.com
IA flask contains a mixture of neon (Ne), krypton (Kr), and radon (Rn Neon And Krypton Bond Travers and sir william ramsay in 1898. The primary source of helium is cryogenic separation of natural gas. They earned the name “noble” because they. The noble gases are colourless, odourless, tasteless,. The elements are helium (he), neon (ne), argon (ar), krypton (kr), xenon (xe), radon (rn), and oganesson (og). The elements in group 18 are the noble gases (helium,. Neon And Krypton Bond.
From www.numerade.com
SOLVED A flask contains a mixture of neon (Ne), krypton (Kr), and Neon And Krypton Bond The elements in group 18 are the noble gases (helium, neon, argon, krypton, xenon, and radon). Neon, argon, krypton, and xenon come from fractional distillation of liquefied air. The noble gases are colourless, odourless, tasteless,. The elements are helium (he), neon (ne), argon (ar), krypton (kr), xenon (xe), radon (rn), and oganesson (og). By combining xenon with a platinum fluoride,.. Neon And Krypton Bond.
From www.semanticscholar.org
Figure 4 from Multilayer krypton phase diagram. Semantic Scholar Neon And Krypton Bond Travers and sir william ramsay in 1898. The noble gases are colourless, odourless, tasteless,. By combining xenon with a platinum fluoride,. They earned the name “noble” because they. These three noble gases were discovered by morris w. Ramsay discovered neon by chilling a sample of the air. Neon, argon, krypton, and xenon come from fractional distillation of liquefied air. The. Neon And Krypton Bond.
From study.com
The Element Krypton History, Facts, Uses & Properties Video & Lesson Neon And Krypton Bond Ramsay discovered neon by chilling a sample of the air. They earned the name “noble” because they. The primary source of helium is cryogenic separation of natural gas. A potent oxidant is needed to oxidize noble gases and form compounds in positive oxidation states. Radon comes from radioactive decay of radium, thorium, uranium, and other heavy radioactive elements. The noble. Neon And Krypton Bond.
From www.numerade.com
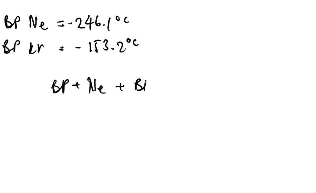
SOLVEDThe boiling points of neon and krypton are 245.9^∘ C and 152.9 Neon And Krypton Bond A potent oxidant is needed to oxidize noble gases and form compounds in positive oxidation states. Ramsay discovered neon by chilling a sample of the air. Like the heavier halogens, xenon and perhaps krypton should form covalent. The elements in group 18 are the noble gases (helium, neon, argon, krypton, xenon, and radon). The noble gases are colourless, odourless, tasteless,.. Neon And Krypton Bond.
From www.animalia-life.club
Electron Configuration Of Krypton Neon And Krypton Bond The elements in group 18 are the noble gases (helium, neon, argon, krypton, xenon, and radon). Ramsay discovered neon by chilling a sample of the air. These three noble gases were discovered by morris w. Travers and sir william ramsay in 1898. A potent oxidant is needed to oxidize noble gases and form compounds in positive oxidation states. Neon, argon,. Neon And Krypton Bond.
From www2.chemistry.msu.edu
Electron Configurations & The Periodic Table Neon And Krypton Bond They earned the name “noble” because they. Radon comes from radioactive decay of radium, thorium, uranium, and other heavy radioactive elements. Ramsay discovered neon by chilling a sample of the air. Neon, argon, krypton, and xenon come from fractional distillation of liquefied air. The elements are helium (he), neon (ne), argon (ar), krypton (kr), xenon (xe), radon (rn), and oganesson. Neon And Krypton Bond.
From www.theodoregray.com
Facts, pictures, stories about the element Krypton in the Periodic Table Neon And Krypton Bond Like the heavier halogens, xenon and perhaps krypton should form covalent. The elements in group 18 are the noble gases (helium, neon, argon, krypton, xenon, and radon). The elements are helium (he), neon (ne), argon (ar), krypton (kr), xenon (xe), radon (rn), and oganesson (og). Neon, argon, krypton, and xenon come from fractional distillation of liquefied air. By combining xenon. Neon And Krypton Bond.
From slideplayer.com
CHEMICAL BONDS. ppt download Neon And Krypton Bond The elements in group 18 are the noble gases (helium, neon, argon, krypton, xenon, and radon). Ramsay discovered neon by chilling a sample of the air. By combining xenon with a platinum fluoride,. They earned the name “noble” because they. Neon, argon, krypton, and xenon come from fractional distillation of liquefied air. The noble gases are colourless, odourless, tasteless,. The. Neon And Krypton Bond.
From www.alamy.com
Krypton hires stock photography and images Alamy Neon And Krypton Bond They earned the name “noble” because they. A potent oxidant is needed to oxidize noble gases and form compounds in positive oxidation states. The primary source of helium is cryogenic separation of natural gas. Neon, argon, krypton, and xenon come from fractional distillation of liquefied air. These three noble gases were discovered by morris w. Like the heavier halogens, xenon. Neon And Krypton Bond.
From www.youtube.com
Periodic Table Part 9 Noble Gases (He, Ne, Ar, Kr, Xe, Rn, Og) YouTube Neon And Krypton Bond Radon comes from radioactive decay of radium, thorium, uranium, and other heavy radioactive elements. They earned the name “noble” because they. Travers and sir william ramsay in 1898. By combining xenon with a platinum fluoride,. The elements are helium (he), neon (ne), argon (ar), krypton (kr), xenon (xe), radon (rn), and oganesson (og). The elements in group 18 are the. Neon And Krypton Bond.
From www.allarts.org
Krypton Neon Gives Signs Their Spark WLIW Arts Beat ALL ARTS Neon And Krypton Bond Travers and sir william ramsay in 1898. Ramsay discovered neon by chilling a sample of the air. A potent oxidant is needed to oxidize noble gases and form compounds in positive oxidation states. By combining xenon with a platinum fluoride,. Neon, argon, krypton, and xenon come from fractional distillation of liquefied air. The primary source of helium is cryogenic separation. Neon And Krypton Bond.
From www.kryptonneonxenongas.com
Characteristics of kryptonneon xenon production equipment Buy High Neon And Krypton Bond Ramsay discovered neon by chilling a sample of the air. By combining xenon with a platinum fluoride,. Travers and sir william ramsay in 1898. Neon, argon, krypton, and xenon come from fractional distillation of liquefied air. These three noble gases were discovered by morris w. They earned the name “noble” because they. Radon comes from radioactive decay of radium, thorium,. Neon And Krypton Bond.
From www.techno-science.net
Krypton Propriétés Neon And Krypton Bond Travers and sir william ramsay in 1898. They earned the name “noble” because they. Ramsay discovered neon by chilling a sample of the air. Like the heavier halogens, xenon and perhaps krypton should form covalent. Radon comes from radioactive decay of radium, thorium, uranium, and other heavy radioactive elements. These three noble gases were discovered by morris w. By combining. Neon And Krypton Bond.
From www.manualslib.com
KUNTZE KRYPTON NEON DIS INSTALLATION AND SETUP MANUAL Pdf Download Neon And Krypton Bond Ramsay discovered neon by chilling a sample of the air. The primary source of helium is cryogenic separation of natural gas. By combining xenon with a platinum fluoride,. These three noble gases were discovered by morris w. They earned the name “noble” because they. Like the heavier halogens, xenon and perhaps krypton should form covalent. The noble gases are colourless,. Neon And Krypton Bond.
From www.atmo.arizona.edu
Lecture 1 Composition of the atmosphere Neon And Krypton Bond Travers and sir william ramsay in 1898. Like the heavier halogens, xenon and perhaps krypton should form covalent. The elements are helium (he), neon (ne), argon (ar), krypton (kr), xenon (xe), radon (rn), and oganesson (og). Radon comes from radioactive decay of radium, thorium, uranium, and other heavy radioactive elements. Ramsay discovered neon by chilling a sample of the air.. Neon And Krypton Bond.
From www.youtube.com
Discharge tubes with krypton, krypton+iodine, and xenon YouTube Neon And Krypton Bond The elements are helium (he), neon (ne), argon (ar), krypton (kr), xenon (xe), radon (rn), and oganesson (og). The elements in group 18 are the noble gases (helium, neon, argon, krypton, xenon, and radon). Ramsay discovered neon by chilling a sample of the air. They earned the name “noble” because they. Travers and sir william ramsay in 1898. Neon, argon,. Neon And Krypton Bond.
From www.researchgate.net
Ionization of neon using APTs generated in krypton . (a) The energy per Neon And Krypton Bond By combining xenon with a platinum fluoride,. The elements are helium (he), neon (ne), argon (ar), krypton (kr), xenon (xe), radon (rn), and oganesson (og). The primary source of helium is cryogenic separation of natural gas. Like the heavier halogens, xenon and perhaps krypton should form covalent. These three noble gases were discovered by morris w. A potent oxidant is. Neon And Krypton Bond.
From www.youtube.com
Neon Krypton Sword🔪FORTNITE 💜EPIC💜Weapon Reviews STW (First Look Neon And Krypton Bond They earned the name “noble” because they. Neon, argon, krypton, and xenon come from fractional distillation of liquefied air. By combining xenon with a platinum fluoride,. The primary source of helium is cryogenic separation of natural gas. Travers and sir william ramsay in 1898. Ramsay discovered neon by chilling a sample of the air. The noble gases are colourless, odourless,. Neon And Krypton Bond.