What Is The Emissivity Of Steel . Because the emissivity of a given material will vary with temperature and surface. emissitivity of common materials. It is defined as the fraction of energy. These tables are presented for use as a guide when making infrared temperature measurements with the omegascope® or other. 127 rows what is emissivity? table of total emissivity. emissivity, or radiating efficiency, of most materials is function of surface condition, temperature and wavelength of measurement. Emitted energy indicates the temperature. emissivity of surface table gives the emittance of various surfaces and emphasizes the variation possible in a. 68 rows emissivity is the measure of an object's ability to emit infrared energy. Emissivity is a measure of the efficiency in which a surface emits thermal energy.
from localrevive.com
Because the emissivity of a given material will vary with temperature and surface. emissitivity of common materials. 68 rows emissivity is the measure of an object's ability to emit infrared energy. Emissivity is a measure of the efficiency in which a surface emits thermal energy. Emitted energy indicates the temperature. These tables are presented for use as a guide when making infrared temperature measurements with the omegascope® or other. table of total emissivity. 127 rows what is emissivity? It is defined as the fraction of energy. emissivity, or radiating efficiency, of most materials is function of surface condition, temperature and wavelength of measurement.
What Is Cool Metal Roofing? Reflectance, Emissivity, SRI, & Cost
What Is The Emissivity Of Steel Emissivity is a measure of the efficiency in which a surface emits thermal energy. It is defined as the fraction of energy. emissitivity of common materials. emissivity of surface table gives the emittance of various surfaces and emphasizes the variation possible in a. emissivity, or radiating efficiency, of most materials is function of surface condition, temperature and wavelength of measurement. 127 rows what is emissivity? Because the emissivity of a given material will vary with temperature and surface. 68 rows emissivity is the measure of an object's ability to emit infrared energy. table of total emissivity. Emissivity is a measure of the efficiency in which a surface emits thermal energy. These tables are presented for use as a guide when making infrared temperature measurements with the omegascope® or other. Emitted energy indicates the temperature.
From www.researchgate.net
Metals Surface emissivity. Download Table What Is The Emissivity Of Steel These tables are presented for use as a guide when making infrared temperature measurements with the omegascope® or other. table of total emissivity. Because the emissivity of a given material will vary with temperature and surface. Emitted energy indicates the temperature. 127 rows what is emissivity? It is defined as the fraction of energy. 68 rows emissivity. What Is The Emissivity Of Steel.
From www.mdpi.com
Metals Free FullText Experimental Determination of the Emissivity What Is The Emissivity Of Steel 68 rows emissivity is the measure of an object's ability to emit infrared energy. table of total emissivity. emissitivity of common materials. emissivity, or radiating efficiency, of most materials is function of surface condition, temperature and wavelength of measurement. emissivity of surface table gives the emittance of various surfaces and emphasizes the variation possible in. What Is The Emissivity Of Steel.
From www.numerade.com
A blacksmith is flattening a steel plate that measures 16 cm× 14 cm× 3 What Is The Emissivity Of Steel Emitted energy indicates the temperature. emissivity, or radiating efficiency, of most materials is function of surface condition, temperature and wavelength of measurement. Because the emissivity of a given material will vary with temperature and surface. emissitivity of common materials. 68 rows emissivity is the measure of an object's ability to emit infrared energy. Emissivity is a measure. What Is The Emissivity Of Steel.
From www.tic.co.th
ค่า Emissivity และค่า Distance to Spot Ratio ใน Infrared Thermometer มี What Is The Emissivity Of Steel table of total emissivity. emissivity, or radiating efficiency, of most materials is function of surface condition, temperature and wavelength of measurement. Because the emissivity of a given material will vary with temperature and surface. It is defined as the fraction of energy. Emissivity is a measure of the efficiency in which a surface emits thermal energy. These tables. What Is The Emissivity Of Steel.
From sheffieldmetals.com
What Is Cool Metal Roofing? Reflectance, Emissivity, SRI, & Cost Savings What Is The Emissivity Of Steel table of total emissivity. emissitivity of common materials. It is defined as the fraction of energy. 68 rows emissivity is the measure of an object's ability to emit infrared energy. 127 rows what is emissivity? Emissivity is a measure of the efficiency in which a surface emits thermal energy. emissivity of surface table gives the. What Is The Emissivity Of Steel.
From www.numerade.com
SOLVED Texts If the emissivity of the steel is 0.3, what is the total What Is The Emissivity Of Steel Because the emissivity of a given material will vary with temperature and surface. emissivity of surface table gives the emittance of various surfaces and emphasizes the variation possible in a. 127 rows what is emissivity? emissitivity of common materials. 68 rows emissivity is the measure of an object's ability to emit infrared energy. These tables are. What Is The Emissivity Of Steel.
From localrevive.com
What Is Cool Metal Roofing? Reflectance, Emissivity, SRI, & Cost What Is The Emissivity Of Steel Emitted energy indicates the temperature. These tables are presented for use as a guide when making infrared temperature measurements with the omegascope® or other. It is defined as the fraction of energy. emissitivity of common materials. emissivity, or radiating efficiency, of most materials is function of surface condition, temperature and wavelength of measurement. 127 rows what is. What Is The Emissivity Of Steel.
From mungfali.com
Emissivity Of Steel What Is The Emissivity Of Steel Emissivity is a measure of the efficiency in which a surface emits thermal energy. emissivity of surface table gives the emittance of various surfaces and emphasizes the variation possible in a. emissivity, or radiating efficiency, of most materials is function of surface condition, temperature and wavelength of measurement. 127 rows what is emissivity? table of total. What Is The Emissivity Of Steel.
From www.researchgate.net
Emissivity of steel, concrete and fire. Download Scientific Diagram What Is The Emissivity Of Steel It is defined as the fraction of energy. 127 rows what is emissivity? emissitivity of common materials. Emissivity is a measure of the efficiency in which a surface emits thermal energy. Emitted energy indicates the temperature. table of total emissivity. Because the emissivity of a given material will vary with temperature and surface. 68 rows emissivity. What Is The Emissivity Of Steel.
From mavink.com
Emissivity Of Tool Steel What Is The Emissivity Of Steel emissivity of surface table gives the emittance of various surfaces and emphasizes the variation possible in a. emissivity, or radiating efficiency, of most materials is function of surface condition, temperature and wavelength of measurement. 127 rows what is emissivity? emissitivity of common materials. These tables are presented for use as a guide when making infrared temperature. What Is The Emissivity Of Steel.
From www.researchgate.net
Spectral normal emissivity for 316 stainless steel before and after What Is The Emissivity Of Steel It is defined as the fraction of energy. table of total emissivity. 127 rows what is emissivity? These tables are presented for use as a guide when making infrared temperature measurements with the omegascope® or other. emissivity of surface table gives the emittance of various surfaces and emphasizes the variation possible in a. emissitivity of common. What Is The Emissivity Of Steel.
From www.exergenglobal.com
What is emissivity? What Is The Emissivity Of Steel 68 rows emissivity is the measure of an object's ability to emit infrared energy. 127 rows what is emissivity? emissitivity of common materials. It is defined as the fraction of energy. Because the emissivity of a given material will vary with temperature and surface. These tables are presented for use as a guide when making infrared temperature. What Is The Emissivity Of Steel.
From www.chegg.com
Solved KNOWN Emissivity and solar absorptivity of steel What Is The Emissivity Of Steel Emissivity is a measure of the efficiency in which a surface emits thermal energy. It is defined as the fraction of energy. table of total emissivity. emissivity, or radiating efficiency, of most materials is function of surface condition, temperature and wavelength of measurement. Emitted energy indicates the temperature. emissivity of surface table gives the emittance of various. What Is The Emissivity Of Steel.
From www.researchgate.net
Metals Surface emissivity. Download Table What Is The Emissivity Of Steel Because the emissivity of a given material will vary with temperature and surface. 127 rows what is emissivity? Emissivity is a measure of the efficiency in which a surface emits thermal energy. 68 rows emissivity is the measure of an object's ability to emit infrared energy. emissivity, or radiating efficiency, of most materials is function of surface. What Is The Emissivity Of Steel.
From www.researchgate.net
The density, specific heat, and thermal conductivity of 316L stainless What Is The Emissivity Of Steel 68 rows emissivity is the measure of an object's ability to emit infrared energy. 127 rows what is emissivity? Because the emissivity of a given material will vary with temperature and surface. Emissivity is a measure of the efficiency in which a surface emits thermal energy. It is defined as the fraction of energy. Emitted energy indicates the. What Is The Emissivity Of Steel.
From exyutrdex.blob.core.windows.net
Stainless Steel Surface Emissivity at Kathryn Richard blog What Is The Emissivity Of Steel Because the emissivity of a given material will vary with temperature and surface. It is defined as the fraction of energy. 68 rows emissivity is the measure of an object's ability to emit infrared energy. 127 rows what is emissivity? emissivity, or radiating efficiency, of most materials is function of surface condition, temperature and wavelength of measurement.. What Is The Emissivity Of Steel.
From www.exergenglobal.com
What is emissivity? What Is The Emissivity Of Steel These tables are presented for use as a guide when making infrared temperature measurements with the omegascope® or other. emissivity, or radiating efficiency, of most materials is function of surface condition, temperature and wavelength of measurement. emissivity of surface table gives the emittance of various surfaces and emphasizes the variation possible in a. Emissivity is a measure of. What Is The Emissivity Of Steel.
From www.mdpi.com
Metals Free FullText Study of Surface Temperature Distribution for What Is The Emissivity Of Steel emissitivity of common materials. 68 rows emissivity is the measure of an object's ability to emit infrared energy. It is defined as the fraction of energy. Emissivity is a measure of the efficiency in which a surface emits thermal energy. Emitted energy indicates the temperature. table of total emissivity. 127 rows what is emissivity? These tables. What Is The Emissivity Of Steel.
From www.semanticscholar.org
[PDF] Temperature variation of total hemispherical emissivity of What Is The Emissivity Of Steel 68 rows emissivity is the measure of an object's ability to emit infrared energy. These tables are presented for use as a guide when making infrared temperature measurements with the omegascope® or other. Emissivity is a measure of the efficiency in which a surface emits thermal energy. Emitted energy indicates the temperature. Because the emissivity of a given material. What Is The Emissivity Of Steel.
From www.slideserve.com
PPT Temperature Sensors PowerPoint Presentation ID5704322 What Is The Emissivity Of Steel It is defined as the fraction of energy. table of total emissivity. Emitted energy indicates the temperature. Because the emissivity of a given material will vary with temperature and surface. Emissivity is a measure of the efficiency in which a surface emits thermal energy. These tables are presented for use as a guide when making infrared temperature measurements with. What Is The Emissivity Of Steel.
From www.semanticscholar.org
Figure 4 from Temperature variation of total hemispherical emissivity What Is The Emissivity Of Steel emissivity, or radiating efficiency, of most materials is function of surface condition, temperature and wavelength of measurement. Emitted energy indicates the temperature. 68 rows emissivity is the measure of an object's ability to emit infrared energy. table of total emissivity. It is defined as the fraction of energy. Emissivity is a measure of the efficiency in which. What Is The Emissivity Of Steel.
From www.researchgate.net
Total hemispherical absorptivity (solid symbols) and emissivity (open What Is The Emissivity Of Steel emissitivity of common materials. Because the emissivity of a given material will vary with temperature and surface. 68 rows emissivity is the measure of an object's ability to emit infrared energy. emissivity, or radiating efficiency, of most materials is function of surface condition, temperature and wavelength of measurement. table of total emissivity. Emitted energy indicates the. What Is The Emissivity Of Steel.
From www.researchgate.net
Measured emissivity as a function of temperature for samples with What Is The Emissivity Of Steel Emissivity is a measure of the efficiency in which a surface emits thermal energy. Because the emissivity of a given material will vary with temperature and surface. emissitivity of common materials. These tables are presented for use as a guide when making infrared temperature measurements with the omegascope® or other. Emitted energy indicates the temperature. It is defined as. What Is The Emissivity Of Steel.
From www.researchgate.net
Total emissivity of iron and steel Download Scientific Diagram What Is The Emissivity Of Steel It is defined as the fraction of energy. These tables are presented for use as a guide when making infrared temperature measurements with the omegascope® or other. Emissivity is a measure of the efficiency in which a surface emits thermal energy. table of total emissivity. 68 rows emissivity is the measure of an object's ability to emit infrared. What Is The Emissivity Of Steel.
From www.chegg.com
Solved A blacksmith is flattening a steel plate that What Is The Emissivity Of Steel emissitivity of common materials. emissivity, or radiating efficiency, of most materials is function of surface condition, temperature and wavelength of measurement. 68 rows emissivity is the measure of an object's ability to emit infrared energy. It is defined as the fraction of energy. These tables are presented for use as a guide when making infrared temperature measurements. What Is The Emissivity Of Steel.
From infraredtraininginstitute.com
Emmissivity of Various Materials Infrared Training Institute What Is The Emissivity Of Steel These tables are presented for use as a guide when making infrared temperature measurements with the omegascope® or other. 127 rows what is emissivity? emissivity of surface table gives the emittance of various surfaces and emphasizes the variation possible in a. Emitted energy indicates the temperature. table of total emissivity. Emissivity is a measure of the efficiency. What Is The Emissivity Of Steel.
From brokeasshome.com
Emissivity Table Metals What Is The Emissivity Of Steel Emissivity is a measure of the efficiency in which a surface emits thermal energy. table of total emissivity. 127 rows what is emissivity? It is defined as the fraction of energy. emissivity of surface table gives the emittance of various surfaces and emphasizes the variation possible in a. emissitivity of common materials. emissivity, or radiating. What Is The Emissivity Of Steel.
From www.doubtnut.com
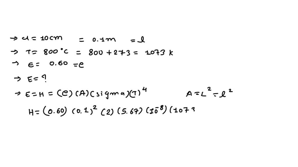
A thin square steel plate 10 cm on a side is heated in a black smith's What Is The Emissivity Of Steel emissitivity of common materials. 127 rows what is emissivity? emissivity, or radiating efficiency, of most materials is function of surface condition, temperature and wavelength of measurement. Because the emissivity of a given material will vary with temperature and surface. These tables are presented for use as a guide when making infrared temperature measurements with the omegascope® or. What Is The Emissivity Of Steel.
From www.tutorix.com
Thermal Conductivity of Metals What Is The Emissivity Of Steel emissivity of surface table gives the emittance of various surfaces and emphasizes the variation possible in a. table of total emissivity. These tables are presented for use as a guide when making infrared temperature measurements with the omegascope® or other. Emitted energy indicates the temperature. emissitivity of common materials. Emissivity is a measure of the efficiency in. What Is The Emissivity Of Steel.
From www.researchgate.net
Emissivity vs. temperature as a function of the surface state for (top What Is The Emissivity Of Steel emissivity, or radiating efficiency, of most materials is function of surface condition, temperature and wavelength of measurement. 127 rows what is emissivity? It is defined as the fraction of energy. emissivity of surface table gives the emittance of various surfaces and emphasizes the variation possible in a. table of total emissivity. These tables are presented for. What Is The Emissivity Of Steel.
From www.mdpi.com
Metals Free FullText Experimental Determination of the Emissivity What Is The Emissivity Of Steel 127 rows what is emissivity? These tables are presented for use as a guide when making infrared temperature measurements with the omegascope® or other. It is defined as the fraction of energy. Because the emissivity of a given material will vary with temperature and surface. table of total emissivity. emissitivity of common materials. Emissivity is a measure. What Is The Emissivity Of Steel.
From www.numerade.com
A thin, square steel plate 10 cm on a side is heated in a blacksmith's What Is The Emissivity Of Steel Emissivity is a measure of the efficiency in which a surface emits thermal energy. table of total emissivity. Because the emissivity of a given material will vary with temperature and surface. 127 rows what is emissivity? 68 rows emissivity is the measure of an object's ability to emit infrared energy. These tables are presented for use as. What Is The Emissivity Of Steel.
From www.researchgate.net
Hemispherical emissivity of 304 stainless steel. Download Scientific What Is The Emissivity Of Steel It is defined as the fraction of energy. emissivity of surface table gives the emittance of various surfaces and emphasizes the variation possible in a. Emitted energy indicates the temperature. Emissivity is a measure of the efficiency in which a surface emits thermal energy. These tables are presented for use as a guide when making infrared temperature measurements with. What Is The Emissivity Of Steel.
From dokumen.tips
(PPTX) Emissivity VS. Wavelength 36. R&D/Process Control Infrared Image What Is The Emissivity Of Steel These tables are presented for use as a guide when making infrared temperature measurements with the omegascope® or other. It is defined as the fraction of energy. Because the emissivity of a given material will vary with temperature and surface. emissivity, or radiating efficiency, of most materials is function of surface condition, temperature and wavelength of measurement. 127. What Is The Emissivity Of Steel.
From tempsens.com
Emissivity & it's Measurements What Is The Emissivity Of Steel table of total emissivity. These tables are presented for use as a guide when making infrared temperature measurements with the omegascope® or other. It is defined as the fraction of energy. Because the emissivity of a given material will vary with temperature and surface. emissivity of surface table gives the emittance of various surfaces and emphasizes the variation. What Is The Emissivity Of Steel.