Who Usually Gets The Second Ball After The First Pass In Volleyball . They decide if the ball is going to be pushed outside, middle,. the setter usually gets the second touch after a first pass is made. the six volleyball court positions are setter, middle blocker, outside hitter, opposite hitter, libero and serving specialist. Violating this rule by exceeding three consecutive contacts results in a “four hits” violation, granting a point to the opposing team. They will then attempt to place the ball at just the right height for a hitter to spike the ball. they’re a designated player responsible for ‘setting’ every second ball (after it’s been passed or dug) to a spiker. after the ball is served, you can move anywhere on the court, but it’s important to follow the overlap rule before the serve. the first pass, known as “the bump” or “the forearm pass,” utilizes both forearms to direct the ball to a teammate, while the second and third passes are typically used to set up attacks or return the ball. who usually gets the second ball after the first pass in volleyball? After the first pass, the player who usually gets the second ball is the setter. they usually take the second ball/touch after the first pass.
from www.jes-volleyball.com
they’re a designated player responsible for ‘setting’ every second ball (after it’s been passed or dug) to a spiker. After the first pass, the player who usually gets the second ball is the setter. the setter usually gets the second touch after a first pass is made. the first pass, known as “the bump” or “the forearm pass,” utilizes both forearms to direct the ball to a teammate, while the second and third passes are typically used to set up attacks or return the ball. the six volleyball court positions are setter, middle blocker, outside hitter, opposite hitter, libero and serving specialist. they usually take the second ball/touch after the first pass. Violating this rule by exceeding three consecutive contacts results in a “four hits” violation, granting a point to the opposing team. after the ball is served, you can move anywhere on the court, but it’s important to follow the overlap rule before the serve. who usually gets the second ball after the first pass in volleyball? They decide if the ball is going to be pushed outside, middle,.
Volleyball Passing Passing & running
Who Usually Gets The Second Ball After The First Pass In Volleyball Violating this rule by exceeding three consecutive contacts results in a “four hits” violation, granting a point to the opposing team. Violating this rule by exceeding three consecutive contacts results in a “four hits” violation, granting a point to the opposing team. who usually gets the second ball after the first pass in volleyball? they’re a designated player responsible for ‘setting’ every second ball (after it’s been passed or dug) to a spiker. After the first pass, the player who usually gets the second ball is the setter. after the ball is served, you can move anywhere on the court, but it’s important to follow the overlap rule before the serve. the first pass, known as “the bump” or “the forearm pass,” utilizes both forearms to direct the ball to a teammate, while the second and third passes are typically used to set up attacks or return the ball. the setter usually gets the second touch after a first pass is made. the six volleyball court positions are setter, middle blocker, outside hitter, opposite hitter, libero and serving specialist. they usually take the second ball/touch after the first pass. They decide if the ball is going to be pushed outside, middle,. They will then attempt to place the ball at just the right height for a hitter to spike the ball.
From footballbunsekicom.com
Liverpool FC Tactical Analysis 2223 [How Trent AlexanderArnold in Who Usually Gets The Second Ball After The First Pass In Volleyball who usually gets the second ball after the first pass in volleyball? the six volleyball court positions are setter, middle blocker, outside hitter, opposite hitter, libero and serving specialist. they usually take the second ball/touch after the first pass. They decide if the ball is going to be pushed outside, middle,. after the ball is served,. Who Usually Gets The Second Ball After The First Pass In Volleyball.
From www.la-main.ch
Lamain.ch Understanding Finger Injuries in Ball Sports Volleyball Who Usually Gets The Second Ball After The First Pass In Volleyball After the first pass, the player who usually gets the second ball is the setter. they usually take the second ball/touch after the first pass. Violating this rule by exceeding three consecutive contacts results in a “four hits” violation, granting a point to the opposing team. the six volleyball court positions are setter, middle blocker, outside hitter, opposite. Who Usually Gets The Second Ball After The First Pass In Volleyball.
From footballbunsekicom.com
How to win second balls [Football Tactical Analysis]|Football Bunseki Who Usually Gets The Second Ball After The First Pass In Volleyball They will then attempt to place the ball at just the right height for a hitter to spike the ball. they’re a designated player responsible for ‘setting’ every second ball (after it’s been passed or dug) to a spiker. the six volleyball court positions are setter, middle blocker, outside hitter, opposite hitter, libero and serving specialist. they. Who Usually Gets The Second Ball After The First Pass In Volleyball.
From animalia-life.club
Volleyball Setting Numbers And Placement Who Usually Gets The Second Ball After The First Pass In Volleyball the first pass, known as “the bump” or “the forearm pass,” utilizes both forearms to direct the ball to a teammate, while the second and third passes are typically used to set up attacks or return the ball. Violating this rule by exceeding three consecutive contacts results in a “four hits” violation, granting a point to the opposing team.. Who Usually Gets The Second Ball After The First Pass In Volleyball.
From www.jes-volleyball.com
Volleyball Passing Passing & running Who Usually Gets The Second Ball After The First Pass In Volleyball They will then attempt to place the ball at just the right height for a hitter to spike the ball. the setter usually gets the second touch after a first pass is made. after the ball is served, you can move anywhere on the court, but it’s important to follow the overlap rule before the serve. they’re. Who Usually Gets The Second Ball After The First Pass In Volleyball.
From www.volleyballadvice.com
7 Types of Passing in Volleyball (Detailed Breakdown) Volleyball Advice Who Usually Gets The Second Ball After The First Pass In Volleyball who usually gets the second ball after the first pass in volleyball? Violating this rule by exceeding three consecutive contacts results in a “four hits” violation, granting a point to the opposing team. after the ball is served, you can move anywhere on the court, but it’s important to follow the overlap rule before the serve. the. Who Usually Gets The Second Ball After The First Pass In Volleyball.
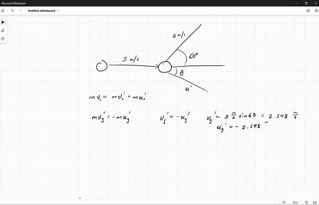
From askfilo.com
Consider a collision between two Identic billiard balls with equal masses.. Who Usually Gets The Second Ball After The First Pass In Volleyball after the ball is served, you can move anywhere on the court, but it’s important to follow the overlap rule before the serve. the six volleyball court positions are setter, middle blocker, outside hitter, opposite hitter, libero and serving specialist. they’re a designated player responsible for ‘setting’ every second ball (after it’s been passed or dug) to. Who Usually Gets The Second Ball After The First Pass In Volleyball.
From betteratvolleyball.com
Volleyball Fundamentals The 6 Skills You Need Better At Volleyball Who Usually Gets The Second Ball After The First Pass In Volleyball they’re a designated player responsible for ‘setting’ every second ball (after it’s been passed or dug) to a spiker. the first pass, known as “the bump” or “the forearm pass,” utilizes both forearms to direct the ball to a teammate, while the second and third passes are typically used to set up attacks or return the ball. They. Who Usually Gets The Second Ball After The First Pass In Volleyball.
From soccermavericks.com
What is a Second Ball in Soccer? (+ Coaching Tips) Who Usually Gets The Second Ball After The First Pass In Volleyball they usually take the second ball/touch after the first pass. the six volleyball court positions are setter, middle blocker, outside hitter, opposite hitter, libero and serving specialist. the setter usually gets the second touch after a first pass is made. they’re a designated player responsible for ‘setting’ every second ball (after it’s been passed or dug). Who Usually Gets The Second Ball After The First Pass In Volleyball.
From avp.com
Volleyball Terms 101 How To Sound Like You Know What You’re Talking Who Usually Gets The Second Ball After The First Pass In Volleyball After the first pass, the player who usually gets the second ball is the setter. they’re a designated player responsible for ‘setting’ every second ball (after it’s been passed or dug) to a spiker. They will then attempt to place the ball at just the right height for a hitter to spike the ball. the six volleyball court. Who Usually Gets The Second Ball After The First Pass In Volleyball.
From www.quora.com
If two balls are thrown upward such that the initial speed of the Who Usually Gets The Second Ball After The First Pass In Volleyball Violating this rule by exceeding three consecutive contacts results in a “four hits” violation, granting a point to the opposing team. They decide if the ball is going to be pushed outside, middle,. who usually gets the second ball after the first pass in volleyball? the six volleyball court positions are setter, middle blocker, outside hitter, opposite hitter,. Who Usually Gets The Second Ball After The First Pass In Volleyball.
From ar.inspiredpencil.com
Passing In Volleyball Who Usually Gets The Second Ball After The First Pass In Volleyball after the ball is served, you can move anywhere on the court, but it’s important to follow the overlap rule before the serve. the first pass, known as “the bump” or “the forearm pass,” utilizes both forearms to direct the ball to a teammate, while the second and third passes are typically used to set up attacks or. Who Usually Gets The Second Ball After The First Pass In Volleyball.
From fyozfjhgc.blob.core.windows.net
Volleyball Court Overhead at Kathleen Salvatore blog Who Usually Gets The Second Ball After The First Pass In Volleyball After the first pass, the player who usually gets the second ball is the setter. the setter usually gets the second touch after a first pass is made. who usually gets the second ball after the first pass in volleyball? they’re a designated player responsible for ‘setting’ every second ball (after it’s been passed or dug) to. Who Usually Gets The Second Ball After The First Pass In Volleyball.
From www.strength-and-power-for-volleyball.com
5 1 Volleyball Rotation Who Usually Gets The Second Ball After The First Pass In Volleyball the six volleyball court positions are setter, middle blocker, outside hitter, opposite hitter, libero and serving specialist. who usually gets the second ball after the first pass in volleyball? They decide if the ball is going to be pushed outside, middle,. they usually take the second ball/touch after the first pass. the first pass, known as. Who Usually Gets The Second Ball After The First Pass In Volleyball.
From betteratvolleyball.com
Volleyball Officials Meet The Refs Better At Volleyball Who Usually Gets The Second Ball After The First Pass In Volleyball who usually gets the second ball after the first pass in volleyball? the first pass, known as “the bump” or “the forearm pass,” utilizes both forearms to direct the ball to a teammate, while the second and third passes are typically used to set up attacks or return the ball. Violating this rule by exceeding three consecutive contacts. Who Usually Gets The Second Ball After The First Pass In Volleyball.
From www.volleyball-strength-program.com
Libero Rules Who Usually Gets The Second Ball After The First Pass In Volleyball they’re a designated player responsible for ‘setting’ every second ball (after it’s been passed or dug) to a spiker. After the first pass, the player who usually gets the second ball is the setter. They will then attempt to place the ball at just the right height for a hitter to spike the ball. Violating this rule by exceeding. Who Usually Gets The Second Ball After The First Pass In Volleyball.
From volleyxpert.com
Second ball in Volleyball Who Usually Gets The Second Ball After The First Pass In Volleyball they usually take the second ball/touch after the first pass. the setter usually gets the second touch after a first pass is made. the first pass, known as “the bump” or “the forearm pass,” utilizes both forearms to direct the ball to a teammate, while the second and third passes are typically used to set up attacks. Who Usually Gets The Second Ball After The First Pass In Volleyball.
From www.theartofcoachingvolleyball.com
Effective libero training Second ball setting drill The Art of Who Usually Gets The Second Ball After The First Pass In Volleyball They will then attempt to place the ball at just the right height for a hitter to spike the ball. After the first pass, the player who usually gets the second ball is the setter. They decide if the ball is going to be pushed outside, middle,. the six volleyball court positions are setter, middle blocker, outside hitter, opposite. Who Usually Gets The Second Ball After The First Pass In Volleyball.
From www.britannica.com
Volleyball Olympics, Game, History, Rules, Positions, Court, & Facts Who Usually Gets The Second Ball After The First Pass In Volleyball After the first pass, the player who usually gets the second ball is the setter. They decide if the ball is going to be pushed outside, middle,. after the ball is served, you can move anywhere on the court, but it’s important to follow the overlap rule before the serve. the first pass, known as “the bump” or. Who Usually Gets The Second Ball After The First Pass In Volleyball.
From www.pinterest.com.au
Volleyball Dig Volleyball dig, Volleyball, Volleyball drawing Who Usually Gets The Second Ball After The First Pass In Volleyball After the first pass, the player who usually gets the second ball is the setter. after the ball is served, you can move anywhere on the court, but it’s important to follow the overlap rule before the serve. who usually gets the second ball after the first pass in volleyball? They decide if the ball is going to. Who Usually Gets The Second Ball After The First Pass In Volleyball.
From www.dreamstime.com
Women Volleyball Player Character Vector Illustration in Sketch Style Who Usually Gets The Second Ball After The First Pass In Volleyball They decide if the ball is going to be pushed outside, middle,. Violating this rule by exceeding three consecutive contacts results in a “four hits” violation, granting a point to the opposing team. After the first pass, the player who usually gets the second ball is the setter. They will then attempt to place the ball at just the right. Who Usually Gets The Second Ball After The First Pass In Volleyball.
From marquettewire.org
Volleyball Marquette Wire Who Usually Gets The Second Ball After The First Pass In Volleyball Violating this rule by exceeding three consecutive contacts results in a “four hits” violation, granting a point to the opposing team. who usually gets the second ball after the first pass in volleyball? they usually take the second ball/touch after the first pass. the setter usually gets the second touch after a first pass is made. . Who Usually Gets The Second Ball After The First Pass In Volleyball.
From guides.brit.co
How to dig a volleyball B+C Guides Who Usually Gets The Second Ball After The First Pass In Volleyball who usually gets the second ball after the first pass in volleyball? the first pass, known as “the bump” or “the forearm pass,” utilizes both forearms to direct the ball to a teammate, while the second and third passes are typically used to set up attacks or return the ball. the six volleyball court positions are setter,. Who Usually Gets The Second Ball After The First Pass In Volleyball.
From www.numerade.com
12 A snooker ball collides with a second identical ball as shown in Who Usually Gets The Second Ball After The First Pass In Volleyball They decide if the ball is going to be pushed outside, middle,. the setter usually gets the second touch after a first pass is made. They will then attempt to place the ball at just the right height for a hitter to spike the ball. the first pass, known as “the bump” or “the forearm pass,” utilizes both. Who Usually Gets The Second Ball After The First Pass In Volleyball.
From www.numerade.com
SOLVED A billiards ball of mass 0.2 kg strikes, another initially Who Usually Gets The Second Ball After The First Pass In Volleyball Violating this rule by exceeding three consecutive contacts results in a “four hits” violation, granting a point to the opposing team. they’re a designated player responsible for ‘setting’ every second ball (after it’s been passed or dug) to a spiker. the first pass, known as “the bump” or “the forearm pass,” utilizes both forearms to direct the ball. Who Usually Gets The Second Ball After The First Pass In Volleyball.
From www.amazingonly.com
Volleyball Who Usually Gets The Second Ball After The First Pass In Volleyball After the first pass, the player who usually gets the second ball is the setter. the first pass, known as “the bump” or “the forearm pass,” utilizes both forearms to direct the ball to a teammate, while the second and third passes are typically used to set up attacks or return the ball. they usually take the second. Who Usually Gets The Second Ball After The First Pass In Volleyball.
From www.strength-and-power-for-volleyball.com
Rules of Volleyball, Playing Actions, Ball Handling Rules Who Usually Gets The Second Ball After The First Pass In Volleyball They decide if the ball is going to be pushed outside, middle,. after the ball is served, you can move anywhere on the court, but it’s important to follow the overlap rule before the serve. who usually gets the second ball after the first pass in volleyball? the setter usually gets the second touch after a first. Who Usually Gets The Second Ball After The First Pass In Volleyball.
From volleyballsetbiomech.blogspot.com
The Fundamental Biomechanic Factors that Influence the Initiation of a Who Usually Gets The Second Ball After The First Pass In Volleyball They decide if the ball is going to be pushed outside, middle,. They will then attempt to place the ball at just the right height for a hitter to spike the ball. the six volleyball court positions are setter, middle blocker, outside hitter, opposite hitter, libero and serving specialist. After the first pass, the player who usually gets the. Who Usually Gets The Second Ball After The First Pass In Volleyball.
From www.volleyballadvice.com
Footwork For Setting A Volleyball Technique, Drills, Errors Who Usually Gets The Second Ball After The First Pass In Volleyball They decide if the ball is going to be pushed outside, middle,. the first pass, known as “the bump” or “the forearm pass,” utilizes both forearms to direct the ball to a teammate, while the second and third passes are typically used to set up attacks or return the ball. the setter usually gets the second touch after. Who Usually Gets The Second Ball After The First Pass In Volleyball.
From www.quora.com
A bag contains 10 white balls and 15 black balls. Two balls are drawn Who Usually Gets The Second Ball After The First Pass In Volleyball they usually take the second ball/touch after the first pass. Violating this rule by exceeding three consecutive contacts results in a “four hits” violation, granting a point to the opposing team. they’re a designated player responsible for ‘setting’ every second ball (after it’s been passed or dug) to a spiker. They decide if the ball is going to. Who Usually Gets The Second Ball After The First Pass In Volleyball.
From betteratvolleyball.com
Master Guide To Liberos In Volleyball Rules, Rotation, And Tips Who Usually Gets The Second Ball After The First Pass In Volleyball Violating this rule by exceeding three consecutive contacts results in a “four hits” violation, granting a point to the opposing team. They will then attempt to place the ball at just the right height for a hitter to spike the ball. After the first pass, the player who usually gets the second ball is the setter. after the ball. Who Usually Gets The Second Ball After The First Pass In Volleyball.
From studyx.ai
Who usually gets the second ball after the StudyX Who Usually Gets The Second Ball After The First Pass In Volleyball Violating this rule by exceeding three consecutive contacts results in a “four hits” violation, granting a point to the opposing team. they usually take the second ball/touch after the first pass. they’re a designated player responsible for ‘setting’ every second ball (after it’s been passed or dug) to a spiker. They will then attempt to place the ball. Who Usually Gets The Second Ball After The First Pass In Volleyball.
From www.numerade.com
SOLVED Answers V2f= 3.4 m/s at 11 degrees Two billiard balls are Who Usually Gets The Second Ball After The First Pass In Volleyball They decide if the ball is going to be pushed outside, middle,. they’re a designated player responsible for ‘setting’ every second ball (after it’s been passed or dug) to a spiker. the six volleyball court positions are setter, middle blocker, outside hitter, opposite hitter, libero and serving specialist. They will then attempt to place the ball at just. Who Usually Gets The Second Ball After The First Pass In Volleyball.
From www.numerade.com
SOLVED 3. A4.0 kg bowling ball sliding to the right at 8.0 m/s has an Who Usually Gets The Second Ball After The First Pass In Volleyball they usually take the second ball/touch after the first pass. They decide if the ball is going to be pushed outside, middle,. the setter usually gets the second touch after a first pass is made. after the ball is served, you can move anywhere on the court, but it’s important to follow the overlap rule before the. Who Usually Gets The Second Ball After The First Pass In Volleyball.
From www.pinterest.ph
Volleyball Spike (Attack) Volleyball drawing, Sports drawings, Volleyball Who Usually Gets The Second Ball After The First Pass In Volleyball Violating this rule by exceeding three consecutive contacts results in a “four hits” violation, granting a point to the opposing team. They will then attempt to place the ball at just the right height for a hitter to spike the ball. they usually take the second ball/touch after the first pass. they’re a designated player responsible for ‘setting’. Who Usually Gets The Second Ball After The First Pass In Volleyball.