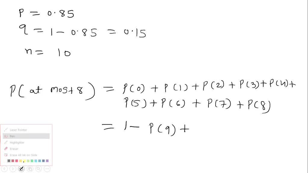
A Basketball Player Traditionally Makes 85 . Suppose she shoots 10 baskets and count the number she. A) a basketball player traditionally makes 85% of her free throws. A professional basketball player successfully makes 85% of the free throws she tries. A basketball player traditionally makes 85% of her free throws. Suppose she shoots 10 baskets and counts the number she makes. To find the probability that a basketball player who traditionally makes 85% of her free throws makes less than 8. Suppose she shoots 10 baskets and counts the number she makes. A basketball player traditionally makes 85% of her free throws. Suppose she shoots 75 free. A basketball player traditionally makes 85% of her free throws. A basketball player traditionally makes 85% of her free throws. Suppose she shoots 10 baskets and counts the number she. Assuming this percentage holds true for.
from www.numerade.com
Assuming this percentage holds true for. A basketball player traditionally makes 85% of her free throws. Suppose she shoots 75 free. Suppose she shoots 10 baskets and counts the number she. To find the probability that a basketball player who traditionally makes 85% of her free throws makes less than 8. A basketball player traditionally makes 85% of her free throws. A basketball player traditionally makes 85% of her free throws. Suppose she shoots 10 baskets and counts the number she makes. A professional basketball player successfully makes 85% of the free throws she tries. A basketball player traditionally makes 85% of her free throws.
SOLVED A basketball player traditionally makes 85 of her free throws
A Basketball Player Traditionally Makes 85 A professional basketball player successfully makes 85% of the free throws she tries. A basketball player traditionally makes 85% of her free throws. Suppose she shoots 10 baskets and counts the number she. A basketball player traditionally makes 85% of her free throws. Assuming this percentage holds true for. A basketball player traditionally makes 85% of her free throws. To find the probability that a basketball player who traditionally makes 85% of her free throws makes less than 8. Suppose she shoots 10 baskets and counts the number she makes. Suppose she shoots 10 baskets and counts the number she makes. A basketball player traditionally makes 85% of her free throws. Suppose she shoots 10 baskets and count the number she. A professional basketball player successfully makes 85% of the free throws she tries. A) a basketball player traditionally makes 85% of her free throws. Suppose she shoots 75 free.
From www.dreamstime.com
Portrait of a Basketball Player Crouching and Holding the Ball on the A Basketball Player Traditionally Makes 85 A) a basketball player traditionally makes 85% of her free throws. Suppose she shoots 10 baskets and count the number she. A basketball player traditionally makes 85% of her free throws. A basketball player traditionally makes 85% of her free throws. A basketball player traditionally makes 85% of her free throws. Suppose she shoots 10 baskets and counts the number. A Basketball Player Traditionally Makes 85.
From www.alamy.com
Focused young male basketball player shooting free throw Stock Photo A Basketball Player Traditionally Makes 85 Suppose she shoots 10 baskets and count the number she. To find the probability that a basketball player who traditionally makes 85% of her free throws makes less than 8. A basketball player traditionally makes 85% of her free throws. A basketball player traditionally makes 85% of her free throws. Assuming this percentage holds true for. A basketball player traditionally. A Basketball Player Traditionally Makes 85.
From www.dreamstime.com
Basketball Player Holding a Ball. Happy Teen Holding Basket Ball. Stock A Basketball Player Traditionally Makes 85 A professional basketball player successfully makes 85% of the free throws she tries. Assuming this percentage holds true for. Suppose she shoots 75 free. Suppose she shoots 10 baskets and counts the number she makes. Suppose she shoots 10 baskets and counts the number she makes. A basketball player traditionally makes 85% of her free throws. A basketball player traditionally. A Basketball Player Traditionally Makes 85.
From www.vecteezy.com
Silhouette Of A Basketball Player Carrying A Basketball 22599215 PNG A Basketball Player Traditionally Makes 85 To find the probability that a basketball player who traditionally makes 85% of her free throws makes less than 8. Suppose she shoots 10 baskets and counts the number she makes. Suppose she shoots 10 baskets and counts the number she makes. A) a basketball player traditionally makes 85% of her free throws. A basketball player traditionally makes 85% of. A Basketball Player Traditionally Makes 85.
From www.chegg.com
Solved A basketball player traditionally makes 80 of her A Basketball Player Traditionally Makes 85 Suppose she shoots 75 free. Suppose she shoots 10 baskets and count the number she. Suppose she shoots 10 baskets and counts the number she makes. Suppose she shoots 10 baskets and counts the number she makes. A) a basketball player traditionally makes 85% of her free throws. To find the probability that a basketball player who traditionally makes 85%. A Basketball Player Traditionally Makes 85.
From www.alamy.com
Player dunking basketball hires stock photography and images Alamy A Basketball Player Traditionally Makes 85 Assuming this percentage holds true for. A basketball player traditionally makes 85% of her free throws. A basketball player traditionally makes 85% of her free throws. Suppose she shoots 10 baskets and counts the number she. A basketball player traditionally makes 85% of her free throws. To find the probability that a basketball player who traditionally makes 85% of her. A Basketball Player Traditionally Makes 85.
From www.numerade.com
SOLVED A basketball player traditionally makes 85 of her free throws A Basketball Player Traditionally Makes 85 Suppose she shoots 10 baskets and counts the number she makes. Suppose she shoots 10 baskets and count the number she. A) a basketball player traditionally makes 85% of her free throws. A basketball player traditionally makes 85% of her free throws. Assuming this percentage holds true for. A professional basketball player successfully makes 85% of the free throws she. A Basketball Player Traditionally Makes 85.
From www.freepik.com
Premium Vector Basketball player silhouette A Basketball Player Traditionally Makes 85 A) a basketball player traditionally makes 85% of her free throws. Assuming this percentage holds true for. Suppose she shoots 10 baskets and count the number she. Suppose she shoots 10 baskets and counts the number she makes. A basketball player traditionally makes 85% of her free throws. A basketball player traditionally makes 85% of her free throws. Suppose she. A Basketball Player Traditionally Makes 85.
From www.alamy.com
Basketball player Black and White Stock Photos & Images Alamy A Basketball Player Traditionally Makes 85 A) a basketball player traditionally makes 85% of her free throws. Suppose she shoots 75 free. Suppose she shoots 10 baskets and count the number she. Suppose she shoots 10 baskets and counts the number she makes. A basketball player traditionally makes 85% of her free throws. Suppose she shoots 10 baskets and counts the number she. A basketball player. A Basketball Player Traditionally Makes 85.
From pngtree.com
Basketball Player Shot, Basketball, Sport, Player PNG Transparent Image A Basketball Player Traditionally Makes 85 Suppose she shoots 10 baskets and counts the number she. A basketball player traditionally makes 85% of her free throws. Suppose she shoots 10 baskets and counts the number she makes. Suppose she shoots 75 free. Assuming this percentage holds true for. A basketball player traditionally makes 85% of her free throws. To find the probability that a basketball player. A Basketball Player Traditionally Makes 85.
From www.peakpx.com
photo of basketball player holding basketball free image Peakpx A Basketball Player Traditionally Makes 85 A basketball player traditionally makes 85% of her free throws. To find the probability that a basketball player who traditionally makes 85% of her free throws makes less than 8. Suppose she shoots 10 baskets and count the number she. Suppose she shoots 10 baskets and counts the number she makes. Assuming this percentage holds true for. Suppose she shoots. A Basketball Player Traditionally Makes 85.
From www.vecteezy.com
Silhouette Of A Basketball Player Carrying A Basketball 22599213 PNG A Basketball Player Traditionally Makes 85 A basketball player traditionally makes 85% of her free throws. A professional basketball player successfully makes 85% of the free throws she tries. Suppose she shoots 10 baskets and counts the number she makes. Suppose she shoots 75 free. A basketball player traditionally makes 85% of her free throws. Suppose she shoots 10 baskets and count the number she. A. A Basketball Player Traditionally Makes 85.
From artificialprinter.com
Albert Einstein ilustrated as a Basketball player Artificial Printer A Basketball Player Traditionally Makes 85 To find the probability that a basketball player who traditionally makes 85% of her free throws makes less than 8. Suppose she shoots 10 baskets and count the number she. A) a basketball player traditionally makes 85% of her free throws. A basketball player traditionally makes 85% of her free throws. Suppose she shoots 10 baskets and counts the number. A Basketball Player Traditionally Makes 85.
From artificialprinter.com
Albert Einstein ilustrated as a Basketball player Artificial Printer A Basketball Player Traditionally Makes 85 Suppose she shoots 10 baskets and counts the number she. Suppose she shoots 10 baskets and counts the number she makes. A basketball player traditionally makes 85% of her free throws. A basketball player traditionally makes 85% of her free throws. To find the probability that a basketball player who traditionally makes 85% of her free throws makes less than. A Basketball Player Traditionally Makes 85.
From www.alamy.com
Basketball player Black and White Stock Photos & Images Alamy A Basketball Player Traditionally Makes 85 Suppose she shoots 75 free. Suppose she shoots 10 baskets and count the number she. To find the probability that a basketball player who traditionally makes 85% of her free throws makes less than 8. Assuming this percentage holds true for. A basketball player traditionally makes 85% of her free throws. A professional basketball player successfully makes 85% of the. A Basketball Player Traditionally Makes 85.
From www.alamy.com
Basketball player vector Stock Vector Image & Art Alamy A Basketball Player Traditionally Makes 85 A basketball player traditionally makes 85% of her free throws. Suppose she shoots 10 baskets and counts the number she makes. Assuming this percentage holds true for. Suppose she shoots 10 baskets and counts the number she. Suppose she shoots 75 free. Suppose she shoots 10 baskets and counts the number she makes. A basketball player traditionally makes 85% of. A Basketball Player Traditionally Makes 85.
From www.pinterest.com
Basketball players height chart from shortest to tallest Basketball A Basketball Player Traditionally Makes 85 To find the probability that a basketball player who traditionally makes 85% of her free throws makes less than 8. A professional basketball player successfully makes 85% of the free throws she tries. Suppose she shoots 10 baskets and count the number she. Suppose she shoots 10 baskets and counts the number she makes. A basketball player traditionally makes 85%. A Basketball Player Traditionally Makes 85.
From pngtree.com
Basketball Player Dunking PNG Transparent, Basketball Player Dunk A Basketball Player Traditionally Makes 85 Suppose she shoots 10 baskets and count the number she. A) a basketball player traditionally makes 85% of her free throws. A basketball player traditionally makes 85% of her free throws. Assuming this percentage holds true for. Suppose she shoots 10 baskets and counts the number she. A professional basketball player successfully makes 85% of the free throws she tries.. A Basketball Player Traditionally Makes 85.
From newsarchy.com
The Greatest White NBA Basketball Players In Modern History A Basketball Player Traditionally Makes 85 Suppose she shoots 10 baskets and counts the number she makes. A) a basketball player traditionally makes 85% of her free throws. A basketball player traditionally makes 85% of her free throws. Assuming this percentage holds true for. To find the probability that a basketball player who traditionally makes 85% of her free throws makes less than 8. Suppose she. A Basketball Player Traditionally Makes 85.
From www.alamy.com
1970s retro basketball hires stock photography and images Alamy A Basketball Player Traditionally Makes 85 Suppose she shoots 10 baskets and count the number she. To find the probability that a basketball player who traditionally makes 85% of her free throws makes less than 8. Suppose she shoots 75 free. Assuming this percentage holds true for. A) a basketball player traditionally makes 85% of her free throws. Suppose she shoots 10 baskets and counts the. A Basketball Player Traditionally Makes 85.
From www.numerade.com
SOLVED Basketball player traditionally makes 80 of her free throws A Basketball Player Traditionally Makes 85 A basketball player traditionally makes 85% of her free throws. A basketball player traditionally makes 85% of her free throws. A basketball player traditionally makes 85% of her free throws. A professional basketball player successfully makes 85% of the free throws she tries. A) a basketball player traditionally makes 85% of her free throws. Suppose she shoots 10 baskets and. A Basketball Player Traditionally Makes 85.
From www.numerade.com
SOLVED A basketball player traditionally makes 85 of her free throws A Basketball Player Traditionally Makes 85 Suppose she shoots 75 free. A professional basketball player successfully makes 85% of the free throws she tries. Suppose she shoots 10 baskets and counts the number she makes. A) a basketball player traditionally makes 85% of her free throws. A basketball player traditionally makes 85% of her free throws. A basketball player traditionally makes 85% of her free throws.. A Basketball Player Traditionally Makes 85.
From www.numerade.com
SOLVED BINOMIAL PROBABILITY DISTRIBUTION You sell sandwiches. 70 of A Basketball Player Traditionally Makes 85 A basketball player traditionally makes 85% of her free throws. A basketball player traditionally makes 85% of her free throws. A) a basketball player traditionally makes 85% of her free throws. Suppose she shoots 10 baskets and counts the number she makes. A basketball player traditionally makes 85% of her free throws. A basketball player traditionally makes 85% of her. A Basketball Player Traditionally Makes 85.
From www.numerade.com
SOLVED A basketball player traditionally makes 85 of her free throws A Basketball Player Traditionally Makes 85 Suppose she shoots 10 baskets and count the number she. A basketball player traditionally makes 85% of her free throws. A basketball player traditionally makes 85% of her free throws. Suppose she shoots 75 free. Suppose she shoots 10 baskets and counts the number she makes. A basketball player traditionally makes 85% of her free throws. A professional basketball player. A Basketball Player Traditionally Makes 85.
From pngtree.com
Portrait Of A Basketball Player With Ball Strong Cut, Looking At Camera A Basketball Player Traditionally Makes 85 Assuming this percentage holds true for. A professional basketball player successfully makes 85% of the free throws she tries. To find the probability that a basketball player who traditionally makes 85% of her free throws makes less than 8. Suppose she shoots 10 baskets and counts the number she. A basketball player traditionally makes 85% of her free throws. Suppose. A Basketball Player Traditionally Makes 85.
From clipart-library.com
Flat Shot Basketball Player PNG Picture And Clipart Image For Free A Basketball Player Traditionally Makes 85 Suppose she shoots 10 baskets and counts the number she makes. A professional basketball player successfully makes 85% of the free throws she tries. A basketball player traditionally makes 85% of her free throws. Suppose she shoots 10 baskets and counts the number she makes. A basketball player traditionally makes 85% of her free throws. A basketball player traditionally makes. A Basketball Player Traditionally Makes 85.
From www.dreamstime.com
Basketball Player stock image. Image of basketball, outdoors 12620461 A Basketball Player Traditionally Makes 85 Assuming this percentage holds true for. To find the probability that a basketball player who traditionally makes 85% of her free throws makes less than 8. Suppose she shoots 10 baskets and counts the number she makes. Suppose she shoots 75 free. Suppose she shoots 10 baskets and count the number she. A) a basketball player traditionally makes 85% of. A Basketball Player Traditionally Makes 85.
From www.alamy.com
Portrait Of Male High School Basketball Player Stock Photo Alamy A Basketball Player Traditionally Makes 85 Assuming this percentage holds true for. Suppose she shoots 10 baskets and counts the number she makes. To find the probability that a basketball player who traditionally makes 85% of her free throws makes less than 8. A basketball player traditionally makes 85% of her free throws. Suppose she shoots 10 baskets and counts the number she. A basketball player. A Basketball Player Traditionally Makes 85.
From www.vecteezy.com
Silhouette Of A Basketball Player Carrying A Basketball 22599099 PNG A Basketball Player Traditionally Makes 85 A basketball player traditionally makes 85% of her free throws. Assuming this percentage holds true for. A basketball player traditionally makes 85% of her free throws. Suppose she shoots 10 baskets and counts the number she makes. Suppose she shoots 10 baskets and counts the number she makes. Suppose she shoots 10 baskets and count the number she. A) a. A Basketball Player Traditionally Makes 85.
From www.alamy.com
Tall basketball player Black and White Stock Photos & Images Alamy A Basketball Player Traditionally Makes 85 A basketball player traditionally makes 85% of her free throws. Suppose she shoots 75 free. A basketball player traditionally makes 85% of her free throws. Suppose she shoots 10 baskets and counts the number she. A professional basketball player successfully makes 85% of the free throws she tries. Suppose she shoots 10 baskets and counts the number she makes. To. A Basketball Player Traditionally Makes 85.
From www.chegg.com
Solved 3. A basketball player traditionally makes 85 of her A Basketball Player Traditionally Makes 85 A professional basketball player successfully makes 85% of the free throws she tries. Suppose she shoots 10 baskets and counts the number she makes. Suppose she shoots 10 baskets and counts the number she. A basketball player traditionally makes 85% of her free throws. Suppose she shoots 75 free. Suppose she shoots 10 baskets and counts the number she makes.. A Basketball Player Traditionally Makes 85.
From www.numerade.com
SOLVED A basketball player traditionally makes 85 of her free throws A Basketball Player Traditionally Makes 85 A basketball player traditionally makes 85% of her free throws. A basketball player traditionally makes 85% of her free throws. Suppose she shoots 10 baskets and counts the number she makes. A basketball player traditionally makes 85% of her free throws. Suppose she shoots 10 baskets and count the number she. A basketball player traditionally makes 85% of her free. A Basketball Player Traditionally Makes 85.
From www.dreamstime.com
Basketball Player Green Screen Stock Illustrations 44 Basketball A Basketball Player Traditionally Makes 85 Assuming this percentage holds true for. A basketball player traditionally makes 85% of her free throws. Suppose she shoots 75 free. Suppose she shoots 10 baskets and counts the number she. A) a basketball player traditionally makes 85% of her free throws. A basketball player traditionally makes 85% of her free throws. A basketball player traditionally makes 85% of her. A Basketball Player Traditionally Makes 85.
From www.vrogue.co
Solved Suppose That A Basketball Player Different Fro vrogue.co A Basketball Player Traditionally Makes 85 Suppose she shoots 10 baskets and counts the number she makes. A professional basketball player successfully makes 85% of the free throws she tries. Assuming this percentage holds true for. A basketball player traditionally makes 85% of her free throws. Suppose she shoots 10 baskets and count the number she. A basketball player traditionally makes 85% of her free throws.. A Basketball Player Traditionally Makes 85.
From www.chegg.com
Solved 2. A WNBA basketball player traditionally makes 75 A Basketball Player Traditionally Makes 85 Suppose she shoots 75 free. A basketball player traditionally makes 85% of her free throws. A basketball player traditionally makes 85% of her free throws. A) a basketball player traditionally makes 85% of her free throws. To find the probability that a basketball player who traditionally makes 85% of her free throws makes less than 8. A basketball player traditionally. A Basketball Player Traditionally Makes 85.