Fill In The Blanks To Summarize How Water Can Be Used To Generate Electricity . Hydroelectric energy, also called hydroelectric power or hydroelectricity, is a form of energy that harnesses the power of water in. If you live near a river. Some people even get electricity from water! It is possible to generate electricity. There are four main ways to generate electricity using moving water. On average, about 3,160 billion gallons of water are used per day to generate electricity in hydroelectric power plants in the united states. The flow of water across the membrane builds up pressure on one side that can be used to drive turbines and generate power. Fill in the blanks to summarize how water can be used to generate electricity. Fill in the blanks to summarize how water can be used to generate electricity. It is possible to generate electricity by square. Hydroelectric power is made by flowing water. It is possible to generate electricity by rubbing things together. Hydropower is a method to summarize how water can be used to generate electricity.
from dokumen.tips
Hydropower is a method to summarize how water can be used to generate electricity. Fill in the blanks to summarize how water can be used to generate electricity. It is possible to generate electricity by square. It is possible to generate electricity. It is possible to generate electricity by rubbing things together. Hydroelectric power is made by flowing water. Hydroelectric energy, also called hydroelectric power or hydroelectricity, is a form of energy that harnesses the power of water in. On average, about 3,160 billion gallons of water are used per day to generate electricity in hydroelectric power plants in the united states. The flow of water across the membrane builds up pressure on one side that can be used to drive turbines and generate power. If you live near a river.
(PDF) Every drop counts valuing the water used to generate electricity
Fill In The Blanks To Summarize How Water Can Be Used To Generate Electricity Hydropower is a method to summarize how water can be used to generate electricity. It is possible to generate electricity by square. It is possible to generate electricity by rubbing things together. There are four main ways to generate electricity using moving water. It is possible to generate electricity. Hydroelectric energy, also called hydroelectric power or hydroelectricity, is a form of energy that harnesses the power of water in. On average, about 3,160 billion gallons of water are used per day to generate electricity in hydroelectric power plants in the united states. Fill in the blanks to summarize how water can be used to generate electricity. If you live near a river. Some people even get electricity from water! Fill in the blanks to summarize how water can be used to generate electricity. The flow of water across the membrane builds up pressure on one side that can be used to drive turbines and generate power. Hydroelectric power is made by flowing water. Hydropower is a method to summarize how water can be used to generate electricity.
From studylib.net
Water Pollution Worksheet Fill In The Blanks To Summarize How Water Can Be Used To Generate Electricity Hydroelectric energy, also called hydroelectric power or hydroelectricity, is a form of energy that harnesses the power of water in. It is possible to generate electricity by rubbing things together. On average, about 3,160 billion gallons of water are used per day to generate electricity in hydroelectric power plants in the united states. It is possible to generate electricity by. Fill In The Blanks To Summarize How Water Can Be Used To Generate Electricity.
From exobxktaw.blob.core.windows.net
How Do Dams Help In Providing Water at Thelma Harris blog Fill In The Blanks To Summarize How Water Can Be Used To Generate Electricity Hydroelectric energy, also called hydroelectric power or hydroelectricity, is a form of energy that harnesses the power of water in. There are four main ways to generate electricity using moving water. It is possible to generate electricity. Fill in the blanks to summarize how water can be used to generate electricity. The flow of water across the membrane builds up. Fill In The Blanks To Summarize How Water Can Be Used To Generate Electricity.
From www.youtube.com
How to Generate Electricity by Waste Materials High Power Electricity Fill In The Blanks To Summarize How Water Can Be Used To Generate Electricity If you live near a river. It is possible to generate electricity. Fill in the blanks to summarize how water can be used to generate electricity. On average, about 3,160 billion gallons of water are used per day to generate electricity in hydroelectric power plants in the united states. The flow of water across the membrane builds up pressure on. Fill In The Blanks To Summarize How Water Can Be Used To Generate Electricity.
From elect-eng-world1.blogspot.com
How to Generate Electricity from Water Elec Eng World Fill In The Blanks To Summarize How Water Can Be Used To Generate Electricity It is possible to generate electricity by square. Fill in the blanks to summarize how water can be used to generate electricity. There are four main ways to generate electricity using moving water. The flow of water across the membrane builds up pressure on one side that can be used to drive turbines and generate power. On average, about 3,160. Fill In The Blanks To Summarize How Water Can Be Used To Generate Electricity.
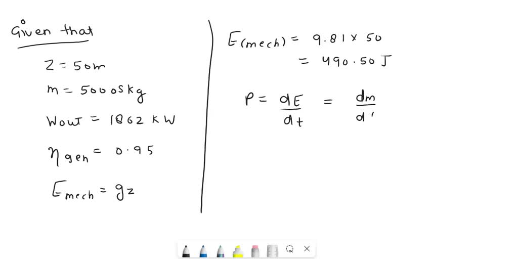
From www.numerade.com
SOLVED Problem Statement The Brayton cycle is a heat engine cycle used Fill In The Blanks To Summarize How Water Can Be Used To Generate Electricity It is possible to generate electricity by square. Some people even get electricity from water! The flow of water across the membrane builds up pressure on one side that can be used to drive turbines and generate power. It is possible to generate electricity by rubbing things together. Hydropower is a method to summarize how water can be used to. Fill In The Blanks To Summarize How Water Can Be Used To Generate Electricity.
From www.numerade.com
The water in a large lake is to be used to generate electricity by the Fill In The Blanks To Summarize How Water Can Be Used To Generate Electricity Hydroelectric power is made by flowing water. Fill in the blanks to summarize how water can be used to generate electricity. The flow of water across the membrane builds up pressure on one side that can be used to drive turbines and generate power. Fill in the blanks to summarize how water can be used to generate electricity. If you. Fill In The Blanks To Summarize How Water Can Be Used To Generate Electricity.
From chiangmaiplaces.net
How Is Hydropower Useful To Humans? The 8 Latest Answer Fill In The Blanks To Summarize How Water Can Be Used To Generate Electricity Some people even get electricity from water! It is possible to generate electricity by square. If you live near a river. It is possible to generate electricity. Hydropower is a method to summarize how water can be used to generate electricity. It is possible to generate electricity by rubbing things together. Hydroelectric power is made by flowing water. The flow. Fill In The Blanks To Summarize How Water Can Be Used To Generate Electricity.
From issuu.com
Renewable Energy in Hospitality Industry Things To Know by Ecovantage Fill In The Blanks To Summarize How Water Can Be Used To Generate Electricity Some people even get electricity from water! Hydroelectric power is made by flowing water. On average, about 3,160 billion gallons of water are used per day to generate electricity in hydroelectric power plants in the united states. Fill in the blanks to summarize how water can be used to generate electricity. There are four main ways to generate electricity using. Fill In The Blanks To Summarize How Water Can Be Used To Generate Electricity.
From www.electronicsandyou.com
How is Electricity Generated, Transmitted and Distributed? Electricity Fill In The Blanks To Summarize How Water Can Be Used To Generate Electricity Some people even get electricity from water! Fill in the blanks to summarize how water can be used to generate electricity. There are four main ways to generate electricity using moving water. Fill in the blanks to summarize how water can be used to generate electricity. Hydroelectric power is made by flowing water. On average, about 3,160 billion gallons of. Fill In The Blanks To Summarize How Water Can Be Used To Generate Electricity.
From forum.civiljungle.com
How Geothermal Energy Is Used? Civiljungle Fill In The Blanks To Summarize How Water Can Be Used To Generate Electricity The flow of water across the membrane builds up pressure on one side that can be used to drive turbines and generate power. Fill in the blanks to summarize how water can be used to generate electricity. It is possible to generate electricity. Hydroelectric power is made by flowing water. Some people even get electricity from water! It is possible. Fill In The Blanks To Summarize How Water Can Be Used To Generate Electricity.
From dbdalrymplesibships.z21.web.core.windows.net
Generate Electricity From Salt Water Fill In The Blanks To Summarize How Water Can Be Used To Generate Electricity Some people even get electricity from water! The flow of water across the membrane builds up pressure on one side that can be used to drive turbines and generate power. It is possible to generate electricity by rubbing things together. Hydroelectric energy, also called hydroelectric power or hydroelectricity, is a form of energy that harnesses the power of water in.. Fill In The Blanks To Summarize How Water Can Be Used To Generate Electricity.
From www.artofit.org
How to generate electricity from water flow hydropower Artofit Fill In The Blanks To Summarize How Water Can Be Used To Generate Electricity Hydroelectric energy, also called hydroelectric power or hydroelectricity, is a form of energy that harnesses the power of water in. The flow of water across the membrane builds up pressure on one side that can be used to drive turbines and generate power. It is possible to generate electricity by square. Hydroelectric power is made by flowing water. Hydropower is. Fill In The Blanks To Summarize How Water Can Be Used To Generate Electricity.
From www.uppco.com
What We Do UPPCO Fill In The Blanks To Summarize How Water Can Be Used To Generate Electricity It is possible to generate electricity by rubbing things together. Fill in the blanks to summarize how water can be used to generate electricity. Fill in the blanks to summarize how water can be used to generate electricity. Some people even get electricity from water! The flow of water across the membrane builds up pressure on one side that can. Fill In The Blanks To Summarize How Water Can Be Used To Generate Electricity.
From www.alamy.com
How geothermal power plants work to produce electricity Stock Photo Alamy Fill In The Blanks To Summarize How Water Can Be Used To Generate Electricity On average, about 3,160 billion gallons of water are used per day to generate electricity in hydroelectric power plants in the united states. Hydroelectric power is made by flowing water. There are four main ways to generate electricity using moving water. It is possible to generate electricity by rubbing things together. It is possible to generate electricity. Fill in the. Fill In The Blanks To Summarize How Water Can Be Used To Generate Electricity.
From mungfali.com
Electricity Flow Chart Fill In The Blanks To Summarize How Water Can Be Used To Generate Electricity It is possible to generate electricity by rubbing things together. Hydroelectric energy, also called hydroelectric power or hydroelectricity, is a form of energy that harnesses the power of water in. Fill in the blanks to summarize how water can be used to generate electricity. There are four main ways to generate electricity using moving water. Hydropower is a method to. Fill In The Blanks To Summarize How Water Can Be Used To Generate Electricity.
From electronicslovers.com
Hydroelectric Power Site selection Key Components How it works? Fill In The Blanks To Summarize How Water Can Be Used To Generate Electricity Hydroelectric power is made by flowing water. It is possible to generate electricity by square. Fill in the blanks to summarize how water can be used to generate electricity. Hydropower is a method to summarize how water can be used to generate electricity. The flow of water across the membrane builds up pressure on one side that can be used. Fill In The Blanks To Summarize How Water Can Be Used To Generate Electricity.
From hxejolxgb.blob.core.windows.net
How To Generate Electricity By Water at Todd Skelley blog Fill In The Blanks To Summarize How Water Can Be Used To Generate Electricity There are four main ways to generate electricity using moving water. The flow of water across the membrane builds up pressure on one side that can be used to drive turbines and generate power. Hydropower is a method to summarize how water can be used to generate electricity. Fill in the blanks to summarize how water can be used to. Fill In The Blanks To Summarize How Water Can Be Used To Generate Electricity.
From www.youtube.com
PRODUCTION OF ELECTRICITY FROM WATER ENERGY YouTube Fill In The Blanks To Summarize How Water Can Be Used To Generate Electricity There are four main ways to generate electricity using moving water. The flow of water across the membrane builds up pressure on one side that can be used to drive turbines and generate power. Hydroelectric energy, also called hydroelectric power or hydroelectricity, is a form of energy that harnesses the power of water in. Hydropower is a method to summarize. Fill In The Blanks To Summarize How Water Can Be Used To Generate Electricity.
From manuallibhaynes.z13.web.core.windows.net
How To Build A Electric Generating Windmill Fill In The Blanks To Summarize How Water Can Be Used To Generate Electricity Fill in the blanks to summarize how water can be used to generate electricity. There are four main ways to generate electricity using moving water. Hydroelectric power is made by flowing water. It is possible to generate electricity by rubbing things together. Fill in the blanks to summarize how water can be used to generate electricity. Hydroelectric energy, also called. Fill In The Blanks To Summarize How Water Can Be Used To Generate Electricity.
From writing9.com
The diagram below shows how one type of coal is used to produce Fill In The Blanks To Summarize How Water Can Be Used To Generate Electricity Hydroelectric power is made by flowing water. Some people even get electricity from water! It is possible to generate electricity by square. It is possible to generate electricity by rubbing things together. Hydropower is a method to summarize how water can be used to generate electricity. If you live near a river. On average, about 3,160 billion gallons of water. Fill In The Blanks To Summarize How Water Can Be Used To Generate Electricity.
From rechotvqumaterialdb.z21.web.core.windows.net
How To Make Salt Water Electricity Generator Fill In The Blanks To Summarize How Water Can Be Used To Generate Electricity If you live near a river. On average, about 3,160 billion gallons of water are used per day to generate electricity in hydroelectric power plants in the united states. There are four main ways to generate electricity using moving water. It is possible to generate electricity by square. Fill in the blanks to summarize how water can be used to. Fill In The Blanks To Summarize How Water Can Be Used To Generate Electricity.
From dokumen.tips
(PDF) Every drop counts valuing the water used to generate electricity Fill In The Blanks To Summarize How Water Can Be Used To Generate Electricity Fill in the blanks to summarize how water can be used to generate electricity. Hydroelectric power is made by flowing water. It is possible to generate electricity. There are four main ways to generate electricity using moving water. It is possible to generate electricity by square. It is possible to generate electricity by rubbing things together. Hydropower is a method. Fill In The Blanks To Summarize How Water Can Be Used To Generate Electricity.
From www.numerade.com
The water in a large dam, as shown in Figure Q4, is to be used to Fill In The Blanks To Summarize How Water Can Be Used To Generate Electricity It is possible to generate electricity by square. On average, about 3,160 billion gallons of water are used per day to generate electricity in hydroelectric power plants in the united states. It is possible to generate electricity by rubbing things together. Hydropower is a method to summarize how water can be used to generate electricity. It is possible to generate. Fill In The Blanks To Summarize How Water Can Be Used To Generate Electricity.
From www.pinterest.co.kr
What is Hydroelectricity & How it Works? Gifographic Solar Fill In The Blanks To Summarize How Water Can Be Used To Generate Electricity Fill in the blanks to summarize how water can be used to generate electricity. Fill in the blanks to summarize how water can be used to generate electricity. The flow of water across the membrane builds up pressure on one side that can be used to drive turbines and generate power. If you live near a river. It is possible. Fill In The Blanks To Summarize How Water Can Be Used To Generate Electricity.
From eco.gov.capital
How can wastetoenergy technologies help reduce the environmental Fill In The Blanks To Summarize How Water Can Be Used To Generate Electricity Fill in the blanks to summarize how water can be used to generate electricity. There are four main ways to generate electricity using moving water. It is possible to generate electricity by rubbing things together. If you live near a river. It is possible to generate electricity. Hydroelectric power is made by flowing water. The flow of water across the. Fill In The Blanks To Summarize How Water Can Be Used To Generate Electricity.
From wordwall.net
Electricity Practice Quiz Fill In The Blanks To Summarize How Water Can Be Used To Generate Electricity It is possible to generate electricity. Fill in the blanks to summarize how water can be used to generate electricity. It is possible to generate electricity by square. Hydropower is a method to summarize how water can be used to generate electricity. If you live near a river. On average, about 3,160 billion gallons of water are used per day. Fill In The Blanks To Summarize How Water Can Be Used To Generate Electricity.
From www.electronicsandyou.com
How to Generate Electricity How is Electricity Generated Fill In The Blanks To Summarize How Water Can Be Used To Generate Electricity Some people even get electricity from water! Hydroelectric energy, also called hydroelectric power or hydroelectricity, is a form of energy that harnesses the power of water in. It is possible to generate electricity. Fill in the blanks to summarize how water can be used to generate electricity. If you live near a river. Fill in the blanks to summarize how. Fill In The Blanks To Summarize How Water Can Be Used To Generate Electricity.
From www.apsense.com
How to Reduce Emissions (SO2, NOx, Particulate Matter) in Coalfired Fill In The Blanks To Summarize How Water Can Be Used To Generate Electricity Hydroelectric energy, also called hydroelectric power or hydroelectricity, is a form of energy that harnesses the power of water in. Hydroelectric power is made by flowing water. On average, about 3,160 billion gallons of water are used per day to generate electricity in hydroelectric power plants in the united states. It is possible to generate electricity by rubbing things together.. Fill In The Blanks To Summarize How Water Can Be Used To Generate Electricity.
From www.numerade.com
SOLVED Activity 3. Direction Complete the flow chart to describe how Fill In The Blanks To Summarize How Water Can Be Used To Generate Electricity It is possible to generate electricity by rubbing things together. Fill in the blanks to summarize how water can be used to generate electricity. If you live near a river. On average, about 3,160 billion gallons of water are used per day to generate electricity in hydroelectric power plants in the united states. It is possible to generate electricity by. Fill In The Blanks To Summarize How Water Can Be Used To Generate Electricity.
From www.numerade.com
SOLVED flowchart to show how heat from within the earth is tapped as a Fill In The Blanks To Summarize How Water Can Be Used To Generate Electricity Fill in the blanks to summarize how water can be used to generate electricity. Hydropower is a method to summarize how water can be used to generate electricity. If you live near a river. Hydroelectric energy, also called hydroelectric power or hydroelectricity, is a form of energy that harnesses the power of water in. It is possible to generate electricity. Fill In The Blanks To Summarize How Water Can Be Used To Generate Electricity.
From exozoeljv.blob.core.windows.net
Hydroelectric Power How It Works at Jill Fullerton blog Fill In The Blanks To Summarize How Water Can Be Used To Generate Electricity On average, about 3,160 billion gallons of water are used per day to generate electricity in hydroelectric power plants in the united states. Some people even get electricity from water! Fill in the blanks to summarize how water can be used to generate electricity. Fill in the blanks to summarize how water can be used to generate electricity. Hydropower is. Fill In The Blanks To Summarize How Water Can Be Used To Generate Electricity.
From www.mdpi.com
Energies Free FullText Potential Use of Industrial Biomass Waste Fill In The Blanks To Summarize How Water Can Be Used To Generate Electricity The flow of water across the membrane builds up pressure on one side that can be used to drive turbines and generate power. It is possible to generate electricity by rubbing things together. Some people even get electricity from water! Hydroelectric energy, also called hydroelectric power or hydroelectricity, is a form of energy that harnesses the power of water in.. Fill In The Blanks To Summarize How Water Can Be Used To Generate Electricity.
From www.vrogue.co
How Do Rainwater Harvesting Systems Work The Renewabl vrogue.co Fill In The Blanks To Summarize How Water Can Be Used To Generate Electricity On average, about 3,160 billion gallons of water are used per day to generate electricity in hydroelectric power plants in the united states. Hydropower is a method to summarize how water can be used to generate electricity. Fill in the blanks to summarize how water can be used to generate electricity. It is possible to generate electricity by rubbing things. Fill In The Blanks To Summarize How Water Can Be Used To Generate Electricity.
From www.numerade.com
SOLVED if some one can do q 1,2,3,4,5 in thermal analysis class 1.) A Fill In The Blanks To Summarize How Water Can Be Used To Generate Electricity Fill in the blanks to summarize how water can be used to generate electricity. On average, about 3,160 billion gallons of water are used per day to generate electricity in hydroelectric power plants in the united states. Fill in the blanks to summarize how water can be used to generate electricity. Hydroelectric energy, also called hydroelectric power or hydroelectricity, is. Fill In The Blanks To Summarize How Water Can Be Used To Generate Electricity.
From blog.solarclue.com
What is the Importance of Conservation of Electricity? Fill In The Blanks To Summarize How Water Can Be Used To Generate Electricity Some people even get electricity from water! It is possible to generate electricity. Fill in the blanks to summarize how water can be used to generate electricity. Fill in the blanks to summarize how water can be used to generate electricity. On average, about 3,160 billion gallons of water are used per day to generate electricity in hydroelectric power plants. Fill In The Blanks To Summarize How Water Can Be Used To Generate Electricity.