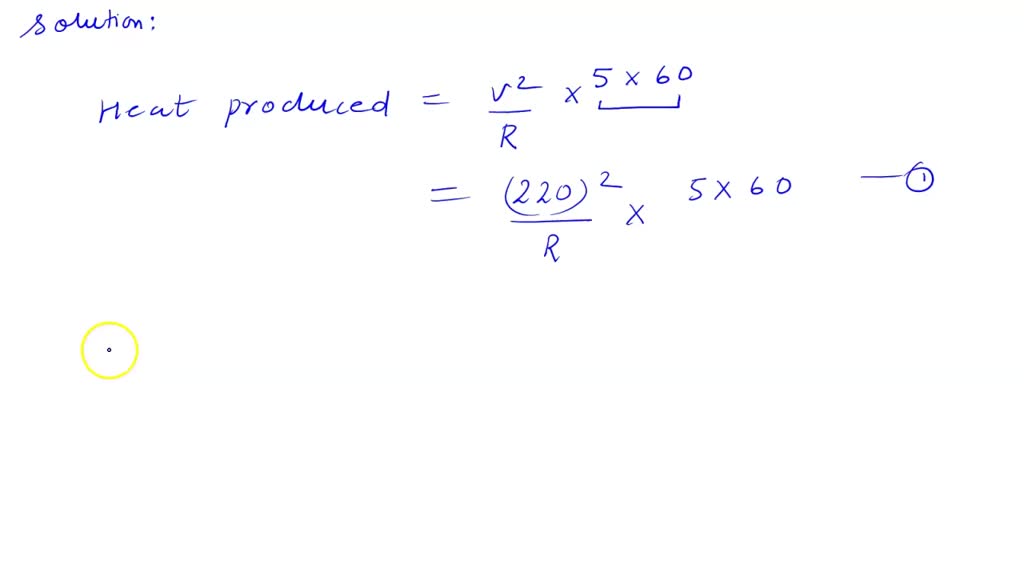
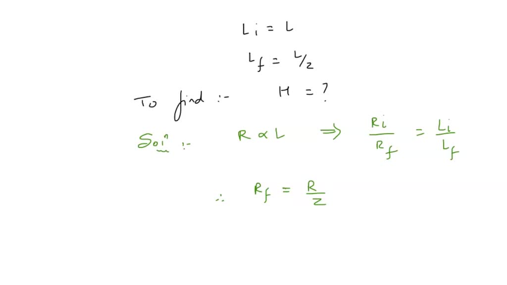
Heater Coil Is Cut Into Two Parts . It is cut into two identical parts. Express the resistance in terms of the length. The coil of a heater is cut into two equal halves and only one of them is used in the heater. ⇒ h ∝ i 2. H = v 2 r t = i 2 rt. The heat generated will now be: Find the dependency of heat generated on resistance of the heated coil. A heater coil is cut into two equal parts and only one part is now used in the heater. Both parts are connected together in parallel, to the same source of 200 v. (a) halved (b) four times (c) one. The coil of a heater is cut into two equal halves and only one of them is used in the heater. When the heater coil in the exercise is cut into two equal parts, the resistance is affected because the length \(l\) of the coil is halved. The energy liberated per second in the new. When the coil is cut into half, resistance is halved and heat produced is. The ratio of the heat produced by this half of the coil to that.
from www.toppr.com
When the heater coil in the exercise is cut into two equal parts, the resistance is affected because the length \(l\) of the coil is halved. H = v 2 r t = i 2 rt. A heater coil is cut into two equal parts and only one part is now used in the heater. ⇒ h ∝ i 2. The coil of a heater is cut into two equal halves and only one of them is used in the heater. The ratio of the heat produced by this half of the coil to that. It is cut into two identical parts. The heat generated will now be: The ratio of the heat produced by this half of the coil to that. Find the dependency of heat generated on resistance of the heated coil.
A heater coil is cut into two equal parts and only one part is now used in the heater. The heat
Heater Coil Is Cut Into Two Parts The coil of a heater is cut into two equal halves and only one of them is used in the heater. When the coil is cut into half, resistance is halved and heat produced is. The heat generated will now be: Find the dependency of heat generated on resistance of the heated coil. Express the resistance in terms of the length. The coil of a heater is cut into two equal halves and only one of them is used in the heater. (a) halved (b) four times (c) one. ⇒ h ∝ i 2. If a heater coil is cut into two equal parts and only one part is used in the heater, the heat generated will be: The coil of a heater is cut into two equal halves and only one of them is used in the heater. Both parts are connected together in parallel, to the same source of 200 v. When the heater coil in the exercise is cut into two equal parts, the resistance is affected because the length \(l\) of the coil is halved. The energy liberated per second in the new. The ratio of the heat produced by this half of the coil to that. It is cut into two identical parts. The ratio of the heat produced by this half of the coil to that.
From www.toppr.com
A heater coil is cut into two equal parts and only one part is used in the heater. The heat Heater Coil Is Cut Into Two Parts When the coil is cut into half, resistance is halved and heat produced is. The coil of a heater is cut into two equal halves and only one of them is used in the heater. When the heater coil in the exercise is cut into two equal parts, the resistance is affected because the length \(l\) of the coil is. Heater Coil Is Cut Into Two Parts.
From www.doubtnut.com
If a heater coil is cut into two equal parts and only one part is used Heater Coil Is Cut Into Two Parts H = v 2 r t = i 2 rt. The ratio of the heat produced by this half of the coil to that. The coil of a heater is cut into two equal halves and only one of them is used in the heater. When the coil is cut into half, resistance is halved and heat produced is. The. Heater Coil Is Cut Into Two Parts.
From www.toppr.com
A heater coil is cut into two equal parts and only one part is now used in the heater. The heat Heater Coil Is Cut Into Two Parts It is cut into two identical parts. The energy liberated per second in the new. When the coil is cut into half, resistance is halved and heat produced is. If a heater coil is cut into two equal parts and only one part is used in the heater, the heat generated will be: The ratio of the heat produced by. Heater Coil Is Cut Into Two Parts.
From www.gkseries.com
If a heater coil is cut into two equal parts and only one part is used in the heater, the heat Heater Coil Is Cut Into Two Parts The ratio of the heat produced by this half of the coil to that. When the heater coil in the exercise is cut into two equal parts, the resistance is affected because the length \(l\) of the coil is halved. H = v 2 r t = i 2 rt. It is cut into two identical parts. Both parts are. Heater Coil Is Cut Into Two Parts.
From www.toppr.com
A heater coil is cut into two equal parts and only one part is used in the heater. The heat Heater Coil Is Cut Into Two Parts H = v 2 r t = i 2 rt. If a heater coil is cut into two equal parts and only one part is used in the heater, the heat generated will be: The ratio of the heat produced by this half of the coil to that. (a) halved (b) four times (c) one. The ratio of the heat. Heater Coil Is Cut Into Two Parts.
From www.doubtnut.com
A heater coil is rated 100W,200V. It is cut into two identical parts. Heater Coil Is Cut Into Two Parts It is cut into two identical parts. The energy liberated per second in the new. The ratio of the heat produced by this half of the coil to that. The coil of a heater is cut into two equal halves and only one of them is used in the heater. The ratio of the heat produced by this half of. Heater Coil Is Cut Into Two Parts.
From www.numerade.com
SOLVED A heater coil is cut into two parts of equal length and one of them is used in the Heater Coil Is Cut Into Two Parts Express the resistance in terms of the length. When the coil is cut into half, resistance is halved and heat produced is. The ratio of the heat produced by this half of the coil to that. A heater coil is cut into two equal parts and only one part is now used in the heater. If a heater coil is. Heater Coil Is Cut Into Two Parts.
From www.learnpick.in
A heater coil connected to a supply of a 220 V is dissipating some power P\(_1\). The coil is Heater Coil Is Cut Into Two Parts When the heater coil in the exercise is cut into two equal parts, the resistance is affected because the length \(l\) of the coil is halved. If a heater coil is cut into two equal parts and only one part is used in the heater, the heat generated will be: The ratio of the heat produced by this half of. Heater Coil Is Cut Into Two Parts.
From www.toppr.com
A heater coil is cut into two equal parts and only one part is now used in the heater. The heat Heater Coil Is Cut Into Two Parts When the coil is cut into half, resistance is halved and heat produced is. (a) halved (b) four times (c) one. The energy liberated per second in the new. ⇒ h ∝ i 2. When the heater coil in the exercise is cut into two equal parts, the resistance is affected because the length \(l\) of the coil is halved.. Heater Coil Is Cut Into Two Parts.
From www.doubtnut.com
A heater coil is cut into two parts of equal length and one of them is Heater Coil Is Cut Into Two Parts It is cut into two identical parts. ⇒ h ∝ i 2. Both parts are connected together in parallel, to the same source of 200 v. The coil of a heater is cut into two equal halves and only one of them is used in the heater. A heater coil is cut into two equal parts and only one part. Heater Coil Is Cut Into Two Parts.
From www.numerade.com
SOLVED A heater coil is cut into two parts of equal length and one of them is used in the Heater Coil Is Cut Into Two Parts ⇒ h ∝ i 2. Express the resistance in terms of the length. When the heater coil in the exercise is cut into two equal parts, the resistance is affected because the length \(l\) of the coil is halved. The coil of a heater is cut into two equal halves and only one of them is used in the heater.. Heater Coil Is Cut Into Two Parts.
From askfilo.com
A heater coil cut into two equal parts and one part is connected with hea.. Heater Coil Is Cut Into Two Parts The coil of a heater is cut into two equal halves and only one of them is used in the heater. Express the resistance in terms of the length. The ratio of the heat produced by this half of the coil to that. Both parts are connected together in parallel, to the same source of 200 v. The coil of. Heater Coil Is Cut Into Two Parts.
From www.numerade.com
SOLVED A heater coil is cut into two equal parts and only one part is now used in the heater Heater Coil Is Cut Into Two Parts It is cut into two identical parts. Both parts are connected together in parallel, to the same source of 200 v. H = v 2 r t = i 2 rt. The energy liberated per second in the new. (a) halved (b) four times (c) one. ⇒ h ∝ i 2. The coil of a heater is cut into two. Heater Coil Is Cut Into Two Parts.
From www.toppr.com
A heater coil is cut into two equal parts and only one part is now used in the heater. The heat Heater Coil Is Cut Into Two Parts H = v 2 r t = i 2 rt. Express the resistance in terms of the length. The ratio of the heat produced by this half of the coil to that. Both parts are connected together in parallel, to the same source of 200 v. The heat generated will now be: Find the dependency of heat generated on resistance. Heater Coil Is Cut Into Two Parts.
From www.toppr.com
A heater coil is cut into two equal parts and only one part is now used in the heater. The heat Heater Coil Is Cut Into Two Parts When the heater coil in the exercise is cut into two equal parts, the resistance is affected because the length \(l\) of the coil is halved. The ratio of the heat produced by this half of the coil to that. If a heater coil is cut into two equal parts and only one part is used in the heater, the. Heater Coil Is Cut Into Two Parts.
From www.numerade.com
SOLVED A heating coil is labelled 100 W220 V. The coil is cut into two equal halves and the Heater Coil Is Cut Into Two Parts Express the resistance in terms of the length. If a heater coil is cut into two equal parts and only one part is used in the heater, the heat generated will be: The energy liberated per second in the new. ⇒ h ∝ i 2. The coil of a heater is cut into two equal halves and only one of. Heater Coil Is Cut Into Two Parts.
From www.numerade.com
SOLVED . A heater coil is rated 100 W, 200 V. It is cut into two identical parts. Both parts Heater Coil Is Cut Into Two Parts H = v 2 r t = i 2 rt. The coil of a heater is cut into two equal halves and only one of them is used in the heater. ⇒ h ∝ i 2. (a) halved (b) four times (c) one. A heater coil is cut into two equal parts and only one part is now used in. Heater Coil Is Cut Into Two Parts.
From byjus.com
A heater coil is cut in to two parts of equallength and only one of them is used in theheater Heater Coil Is Cut Into Two Parts The heat generated will now be: Express the resistance in terms of the length. A heater coil is cut into two equal parts and only one part is now used in the heater. Both parts are connected together in parallel, to the same source of 200 v. The ratio of the heat produced by this half of the coil to. Heater Coil Is Cut Into Two Parts.
From www.youtube.com
A heater coil is rated 100W,200V. It is cut into two identical parts. Both parts are connected Heater Coil Is Cut Into Two Parts H = v 2 r t = i 2 rt. The ratio of the heat produced by this half of the coil to that. Both parts are connected together in parallel, to the same source of 200 v. The heat generated will now be: A heater coil is cut into two equal parts and only one part is now used. Heater Coil Is Cut Into Two Parts.
From byjus.com
37.THE coil of a heater is cut into two equal halves and only one of them is used into heater Heater Coil Is Cut Into Two Parts The energy liberated per second in the new. Both parts are connected together in parallel, to the same source of 200 v. Express the resistance in terms of the length. (a) halved (b) four times (c) one. When the heater coil in the exercise is cut into two equal parts, the resistance is affected because the length \(l\) of the. Heater Coil Is Cut Into Two Parts.
From www.toppr.com
A heater coil is cut into two equal parts and only one part is now used in the heater. The heat Heater Coil Is Cut Into Two Parts The heat generated will now be: The ratio of the heat produced by this half of the coil to that. If a heater coil is cut into two equal parts and only one part is used in the heater, the heat generated will be: H = v 2 r t = i 2 rt. The coil of a heater is. Heater Coil Is Cut Into Two Parts.
From www.youtube.com
A heater coil is cut into two equal parts and only one part is now used in the heater. The heat Heater Coil Is Cut Into Two Parts The heat generated will now be: The coil of a heater is cut into two equal halves and only one of them is used in the heater. The ratio of the heat produced by this half of the coil to that. A heater coil is cut into two equal parts and only one part is now used in the heater.. Heater Coil Is Cut Into Two Parts.
From www.toppr.com
A heater coil is cut into two equal parts and only one part is now used in the heater. The heat Heater Coil Is Cut Into Two Parts The ratio of the heat produced by this half of the coil to that. The coil of a heater is cut into two equal halves and only one of them is used in the heater. The ratio of the heat produced by this half of the coil to that. The coil of a heater is cut into two equal halves. Heater Coil Is Cut Into Two Parts.
From askfilo.com
A heater coil is cut into two equal parts and only one part is now used i.. Heater Coil Is Cut Into Two Parts When the heater coil in the exercise is cut into two equal parts, the resistance is affected because the length \(l\) of the coil is halved. Both parts are connected together in parallel, to the same source of 200 v. Express the resistance in terms of the length. H = v 2 r t = i 2 rt. Find the. Heater Coil Is Cut Into Two Parts.
From www.doubtnut.com
[Gujrati] The coil of a 1000W electric heater is cut into two equal pa Heater Coil Is Cut Into Two Parts When the coil is cut into half, resistance is halved and heat produced is. If a heater coil is cut into two equal parts and only one part is used in the heater, the heat generated will be: Both parts are connected together in parallel, to the same source of 200 v. ⇒ h ∝ i 2. The ratio of. Heater Coil Is Cut Into Two Parts.
From www.doubtnut.com
A heater coil is cut into two equal parts and only one part is now use Heater Coil Is Cut Into Two Parts It is cut into two identical parts. Both parts are connected together in parallel, to the same source of 200 v. If a heater coil is cut into two equal parts and only one part is used in the heater, the heat generated will be: The energy liberated per second in the new. (a) halved (b) four times (c) one.. Heater Coil Is Cut Into Two Parts.
From askfilo.com
20. A heater coil is rated (50 W,100 V, If it is cut into two cqual parts.. Heater Coil Is Cut Into Two Parts The coil of a heater is cut into two equal halves and only one of them is used in the heater. Both parts are connected together in parallel, to the same source of 200 v. It is cut into two identical parts. If a heater coil is cut into two equal parts and only one part is used in the. Heater Coil Is Cut Into Two Parts.
From www.numerade.com
A heater coil is cut into two equal parts and only one part is now used in the heater. The heat Heater Coil Is Cut Into Two Parts Express the resistance in terms of the length. H = v 2 r t = i 2 rt. When the heater coil in the exercise is cut into two equal parts, the resistance is affected because the length \(l\) of the coil is halved. A heater coil is cut into two equal parts and only one part is now used. Heater Coil Is Cut Into Two Parts.
From byjus.com
a heater coil connected across a given potential difference has power P. now the coil is cut Heater Coil Is Cut Into Two Parts Express the resistance in terms of the length. H = v 2 r t = i 2 rt. ⇒ h ∝ i 2. The coil of a heater is cut into two equal halves and only one of them is used in the heater. Find the dependency of heat generated on resistance of the heated coil. A heater coil is. Heater Coil Is Cut Into Two Parts.
From www.toppr.com
A heater coil is cut into two equal parts and only one part is now used in the heater. The heat Heater Coil Is Cut Into Two Parts When the coil is cut into half, resistance is halved and heat produced is. Express the resistance in terms of the length. The heat generated will now be: The energy liberated per second in the new. When the heater coil in the exercise is cut into two equal parts, the resistance is affected because the length \(l\) of the coil. Heater Coil Is Cut Into Two Parts.
From www.numerade.com
SOLVED A heater coil is cut into two equal parts and only one part is now used in the heater Heater Coil Is Cut Into Two Parts The energy liberated per second in the new. (a) halved (b) four times (c) one. The ratio of the heat produced by this half of the coil to that. Both parts are connected together in parallel, to the same source of 200 v. When the coil is cut into half, resistance is halved and heat produced is. The coil of. Heater Coil Is Cut Into Two Parts.
From www.doubtnut.com
A heater coil is cut into two equal part is now used in the heater. Th Heater Coil Is Cut Into Two Parts The coil of a heater is cut into two equal halves and only one of them is used in the heater. Express the resistance in terms of the length. When the heater coil in the exercise is cut into two equal parts, the resistance is affected because the length \(l\) of the coil is halved. The coil of a heater. Heater Coil Is Cut Into Two Parts.
From askfilo.com
Microsoft Oracle Apple heater coil is cut into two equal parts only one p.. Heater Coil Is Cut Into Two Parts It is cut into two identical parts. (a) halved (b) four times (c) one. Find the dependency of heat generated on resistance of the heated coil. Express the resistance in terms of the length. The ratio of the heat produced by this half of the coil to that. When the coil is cut into half, resistance is halved and heat. Heater Coil Is Cut Into Two Parts.
From www.toppr.com
A heater coil is cut into two equal parts and only one part is used in the heater. Then the heat Heater Coil Is Cut Into Two Parts The ratio of the heat produced by this half of the coil to that. The coil of a heater is cut into two equal halves and only one of them is used in the heater. The ratio of the heat produced by this half of the coil to that. Find the dependency of heat generated on resistance of the heated. Heater Coil Is Cut Into Two Parts.
From www.toppr.com
A heater coil is cut into two equal parts and only one part is used in the heater. Then the heat Heater Coil Is Cut Into Two Parts H = v 2 r t = i 2 rt. A heater coil is cut into two equal parts and only one part is now used in the heater. The coil of a heater is cut into two equal halves and only one of them is used in the heater. Express the resistance in terms of the length. The energy. Heater Coil Is Cut Into Two Parts.